2025年静安玺樾官方网站-静安玺樾售楼处电话-静安玺樾•静安玺樾楼盘详情-交房时间-地址-最新房价户型图-小区环境-楼盘详情-交房时间-周边配套-售楼处电话

嘉峪关楼市发布

2025-09-04 14:20:52

购房群

买房如何避坑,加入购房群,看看他们怎么说

立即进群

在上海楼市中,买核心城市的核心地段,已经成为最基本的共识。内环内屡屡上演的豪宅“盛宴”,一次次走出了独立的火爆行情。

静安玺樾售楼处预约电话:400-8824-198

静安玺樾售楼处预约电话:400-8824-198但略显尴尬的是,去年起内环核心区域,大户型成为了最多的产品,总价门槛被抬升至2000万+。静安玺樾售楼处预约电话:400-8824-198

数据源自克而瑞,仅供参考

静安玺樾售楼处预约电话:400-8824-198所幸,「静安玺樾」的出现,给了今年上海也许唯一一次,千万级预算客户,上车静安内环的大好机会!静安玺樾售楼处预约电话:400-8824-198

静安玺樾售楼处预约电话:400-8824-198如今,项目三期现已取证,明日开启认购!预计加推房源包括2号楼的18单元和20单元、7号楼的2单元,主力户型包括建面约98-107㎡2-3房,3房总价预计千万级起!静安玺樾售楼处预约电话:400-8824-198

认购时间:2025年9月5日至9月9日;

认购地点:上海市静安区虬江路1355弄1号楼4楼;

认购金额:50万元整;

开盘时间:2025年9月17日;

静安玺樾售楼处预约电话:400-8824-198

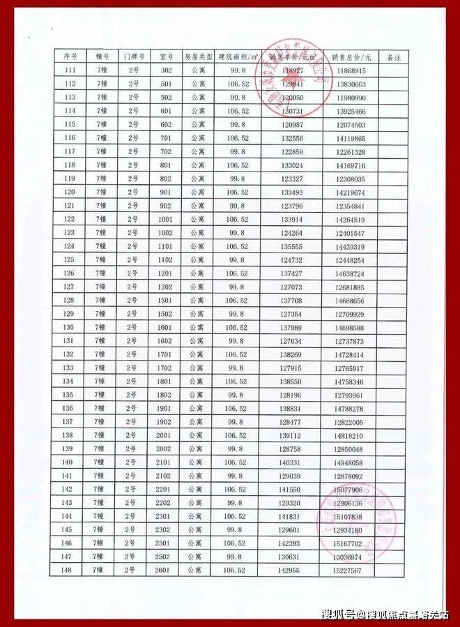
一房一价表如下:

静安玺樾售楼处预约电话:400-8824-198

静安玺樾售楼处预约电话:400-8824-198

静安玺樾售楼处预约电话:400-8824-198

静安玺樾售楼处预约电话:400-8824-198

静安玺樾售楼处预约电话:400-8824-198

「静安玺樾」三批次明日认购!

占位中兴路板块 1/3/4/8四轨交

建面约98-107m²2-3房

千万级预算买进静安内环的最后机会!

安玺樾售楼处预约电话:400-8824-198

01/

静安内环+CAZ+百万方城市更新,不可复制的顶流地段

占位静安内环,城市底蕴与资源汇聚的塔尖之地

静安玺樾售楼处预约电话:400-8824-198都知道上海买房看环线,而内环向来都是上海少数人才能置业的地位象征,这里仅占全市总面积的约1.8%,却集中了全市最优质的商业、办公、金融、教育、医疗等资源,拥有的城市资源约10倍于全市平均,是上海没有争议的“硬核区”!静安玺樾售楼处预约电话:400-8824-198

示意图,仅供参考

静安玺樾售楼处预约电话:400-8824-198而静安作为上海的传统中心区,更是汇聚了这座城市最为精华的资源,并承载着这座城市最为深厚和浓郁的文化底蕴,其环线内新房始终都是高净值人群的首选。静安玺樾售楼处预约电话:400-8824-198

一句“我的房子买在静安区内环”,本身就是人生成功的最大标签。

中央活动区CAZ规划内,上海真正的市中心

静安玺樾售楼处预约电话:400-8824-198如果说静安内环的价值来自是上海这座城市百年历史的沉淀,那上海未来的核心地段则写在了中央活动区(CAZ)的规划里。静安玺樾售楼处预约电话:400-8824-198

静安玺樾售楼处预约电话:400-8824-198上海CAZ以只占城市1.18%的面积,却贡献超25%GDP。未来,将进一步提升至45%。可以说,中央活动区(CAZ)就是上海真正的市中心。静安玺樾售楼处预约电话:400-8824-198

示意图,仅供参考

静安玺樾售楼处预约电话:400-8824-198在静安CAZ中央活动区“一轴三带”的战略规划中,「静安玺樾」正处在静安区发展主轴之上,对望北外滩与苏河湾全球卓越城市CAZ,远望卓越上海发展新序。静安玺樾售楼处预约电话:400-8824-198

示意图,仅供参考

自带中兴城百万方城市更新,未来可期

静安玺樾售楼处预约电话:400-8824-198除了自带静安内环+CAZ的天生贵气,「静安玺樾」所处的中兴城本身就是内环内鲜有的百万方级城市更新大城,整个板块正处于“新旧更替”的黄金发展期,城市界面改善很快。静安玺樾售楼处预约电话:400-8824-198

静安玺樾售楼处预约电话:400-8824-198整个板块在2035规划中,以28.3个新天地体量,约30万方(占地面积)绿地+约55万方(占地面积)商业+9处历史风貌街坊+27万方历史建筑为主,打造一个集公园绿地、高端商业、地标建筑、总部办公、历史建筑、品质住宅为一体的高品质街区。静安玺樾售楼处预约电话:400-8824-198

示意图,仅供参考

静安玺樾售楼处预约电话:400-8824-198同时,周边还有像华兴新城、安康苑、北站新城等多个城市更新项目正在建设中,在3-5年内,整个板块的形象会有很大的提升。静安玺樾售楼处预约电话:400-8824-198

航拍图,仅供参考

静安玺樾售楼处预约电话:400-8824-198地段价值对于住宅来说,有着不可替代的地位。「静安玺樾」所在的位置是真正意义的上海顶流地段所在,这也正是它的价值底盘。静安玺樾售楼处预约电话:400-8824-198

02/

本地国企出品,奢豪品质超一线产品力

静安玺樾售楼处预约电话:400-8824-198这几年,很多房企在资金承压的情况下,给项目降标导致交房质量太差引发的新闻屡屡发生,甚至在豪宅项目中也并不是个案。所以,买房,选择一个靠谱的开发商很重要。静安玺樾售楼处预约电话:400-8824-198

静安玺樾售楼处预约电话:400-8824-198作为在静安内环核心地带的项目,其背景非常强大。该项目由上海北方企业(集团)有限公司的全资子公司——上海静安城市更新投资发展有限公司负责开发与建设。静安玺樾售楼处预约电话:400-8824-198

静安玺樾售楼处预约电话:400-8824-198上海北方企业(集团)有限公司作为上海市静安区的区属国有企业,参与了静安区近90%的城市更新项目,其中包括苏河湾片区和中兴路片区的城市更新工作。有这样靠谱的背景背书,项目开发品质的保障还是让人相当放心的。静安玺樾售楼处预约电话:400-8824-198

美学示范区,非交付标准

静安玺樾售楼处预约电话:400-8824-198中兴城板块,近两年入市的项目不少,但或是袖珍地块,或是商住混合地块。「静安玺樾」这种住宅体量近10万方的住宅大盘很少见。作为本土国企,开发商强大的实力让「静安玺樾」从整体设计、到产品细节,都充分做出来超一线的质感。静安玺樾售楼处预约电话:400-8824-198

静安玺樾售楼处预约电话:400-8824-198在外立面上,采用了新海派风格,结合三段式经典格局(石材、真石漆、铝板),让整个建筑立面透出典雅精致的品质感。静安玺樾售楼处预约电话:400-8824-198

效果图,仅供参考

静安玺樾售楼处预约电话:400-8824-198在景观设计上,由业界知名的奥雅设计操刀,打造一个精致海派的花园空间,拥有“翡色五境”五大空间氛围:

静安玺樾售楼处预约电话:400-8824-198

翡廊境:尊享连廊的归家体验;

翡林境:绿荫包裹的林下漫步;

翡溪境:舒适惬意的绿意溪径;

翡湾境:放空归静的心灵港湾;

翡屿境:欢乐温馨的家庭氛围。

静安玺樾售楼处预约电话:400-8824-198

效果图,仅供参考

在功能性方面,打造有四大功能空间:

四大轴线:三个入口轴线和中心水轴;

三大花园空间:中心港湾花园、水溪花园,西入口归家花园;

静安玺樾售楼处预约电话:400-8824-198五大运动活力系统:热身区、定制主题儿童活动区、老年健身区、活力健身区和休憩缓冲区,并由约400M跑道串联;静安玺樾售楼处预约电话:400-8824-198

泛会所:位于5#架空层,给业主和孩子提供阅读空间和社交空间。

效果图,仅供参考

静安玺樾售楼处预约电话:400-8824-198从户型上看,能看到开发商对业主真实生活需求的深刻认知!静安玺樾售楼处预约电话:400-8824-198

建筑面积约98m2的2室2厅2卫

静安玺樾售楼处预约电话:400-8824-198目前市场上更多的是百平左右的小三房,这种小三房每个功能空间都是紧凑型的,实际居住的舒适感是要打折扣的。静安玺樾售楼处预约电话:400-8824-198

静安玺樾售楼处预约电话:400-8824-198三期推出的建面约98㎡的2房,充分考虑了空间的尺度与舒适性。客餐厨一体的通透设计,空间更大更宽广。两个卧室,主卧套房设计,带独立卫生间;次卧紧靠主卧。主卧含大飘窗,保证卧室内的采光和通风。大面积卧室的存在,保证了主人家起居生活的舒适性!这个户型,很好地满足了年轻夫妇或单身人士的高端改善需求。静安玺樾售楼处预约电话:400-8824-198

静安玺樾售楼处预约电话:400-8824-198尤其是,随着今年上海首轮土地拍卖中“7090”政策的废止,高层中小套型的标准已从100平方米放宽至120平方米。这类近百平的奢阔二房未来可能要绝版了,现在是卖一套少一套。静安玺樾售楼处预约电话:400-8824-198

建筑面积约103m2的2+1室2厅2卫

静安玺樾售楼处预约电话:400-8824-198这个建面约103㎡的2+1房仅有6号楼的西边套,注定是二期热销的珍稀户型。这个户型全明设计,南北通透,2.5开间朝南,且自带奢阔南向超大阳台。方正大气的大客厅既可以满足对于生活品质的追求,也可以灵活地隔出一个单独的功能房间,为生活延展出更多的可能。静安玺樾售楼处预约电话:400-8824-198

静安玺樾售楼处预约电话:400-8824-198从装标上看,「静安玺樾」在装修标准堪称豪华,中央空调、地暖、新风都是标配,厨卫电器、橱柜、水槽、龙头等均采用国际一线大牌,让居住变得更为舒适的同时给足业主体验感和尊崇感。静安玺樾售楼处预约电话:400-8824-198

静安玺樾售楼处预约电话:400-8824-198

示意图,仅供参考

静安玺樾售楼处预约电话:400-8824-198尤其让人惊艳的还有不惜工本为业主打造的五星级地库!静安玺樾售楼处预约电话:400-8824-198

静安玺樾售楼处预约电话:400-8824-198项目车库采用贯穿式鱼尾灯坡道和超耐磨地坪,过道全部是精装吊顶!地下管道和局部区域也贴心地进行了二次包裹。而地库中最亮眼的就是豪华车马厅,采用水磨石、水晶漆、铝饰面、大板砖、立柱石材包边,高级感满满!静安玺樾售楼处预约电话:400-8824-198

静安玺樾售楼处预约电话:400-8824-198

静安玺樾售楼处预约电话:400-8824-198

效果图,仅供参考

静安玺樾售楼处预约电话:400-8824-198物业方面,选择了行业龙头万科物业。万科物业进驻上海31年!多年口碑积攒下好评如潮,被业内誉为“最懂上海的物业”!静安玺樾售楼处预约电话:400-8824-198

静安玺樾售楼处预约电话:400-8824-198此次进驻「静安玺樾」,万科物业除了将为社区提供优质服务外,还额外提供增值服务,包括:12小时保洁、空调清洗、地暖保养和外墙清洗。此外,还有每年一次的外墙清洗。静安玺樾售楼处预约电话:400-8824-198

03/

四轨交环绕,一城繁华尽揽

静安玺樾售楼处预约电话:400-8824-198所在的静安内环内的中兴路板块,距离人民广场、南京路、新天地、陆家嘴这些耳熟能详的繁华地标,基本都在直线距离3公里内。这地理位置,简直就是含着金钥匙出生的“富二代”。静安玺樾售楼处预约电话:400-8824-198

静安玺樾售楼处预约电话:400-8824-198示意图,仅供参考

静安玺樾售楼处预约电话:400-8824-198在这种城芯地段,「静安玺樾」享有的自然是最顶级的配套,宜居属性拉满。静安玺樾售楼处预约电话:400-8824-198

静安玺樾售楼处预约电话:400-8824-198交通方面,项目被四条地铁线路环绕,距离8号线中兴路站直线距离仅约步行500米,而且在1公里的范围内,拥有1号线、3号线、4号线以及8号线四条地铁线路,2站直达人民广场,4站陆家嘴。静安玺樾售楼处预约电话:400-8824-198

示意图,仅供参考

静安玺樾售楼处预约电话:400-8824-198自驾也极为方便。项目周边有“双高架、四隧道”的立体式的交通网络,交通便利,通达全城。:南北高架、内环高架;以及延安东路隧道、新建路隧道、人民路隧道、大连路隧道,均可直达陆家嘴。静安玺樾售楼处预约电话:400-8824-198

示意图,仅供参考

静安玺樾售楼处预约电话:400-8824-198商业方面,2公里内拥有众多购物休闲场所,包括静安大悦城、苏河湾万象天地、虹口凯德龙之梦、以及大宁久光、大宁国际等多个地区商业中心。周边规划有百万中兴城商业和珠江安康苑的商业合生汇。商业的密度和能级之高,可见静安内环无可替代的魅力。静安玺樾售楼处预约电话:400-8824-198

图源网络,仅供参考

静安玺樾售楼处预约电话:400-8824-198生态资源方面,该项目东侧毗邻正在建设中的健身中心,配备齐全的各类运动场馆,是日常运动休闲的好去处。西侧则紧邻公共绿地及芷江绿地,周边环绕着约3.5万平方米的中兴公园、大宁灵石公园、闸北公园、鲁迅公园、爱思儿童公园等,近享城市绿意。静安玺樾售楼处预约电话:400-8824-198

图源网络,仅供参考

静安玺樾售楼处预约电话:400-8824-198教育方面,学府众多,汇聚了众多优质的教育资源。包括育婴堂幼儿园、金鹭幼儿园、静安区永兴路第二小学、中山北路小学、静安区闸北第三中心小学、市北初级中学(一梯队)、市北中学高中部(一梯队)、民办扬波中学、青云中学、静安区实验中学等等。周边1公里,全龄段教育体系覆盖。静安玺樾售楼处预约电话:400-8824-198

图源网络,仅供参考

静安玺樾售楼处预约电话:400-8824-198医疗方面,隔壁就是区中心医院,周边还有上海第十人民医院、上海第一人民医院、上海市中医医院等三甲医院环伺,为您和家人的健康保驾护航。静安玺樾售楼处预约电话:400-8824-198

图源网络,仅供参考

除了顶级地段和高奢产品力,「静安玺樾」也有明显的倒挂红利

静安玺樾售楼处预约电话:400-8824-198目前整个板块里,房龄较大的万科翡翠雅宾利二手挂牌均价约13.3万/㎡,中兴路一号二手挂牌价约14.4万/㎡;静安04-05、05-01北站新城地块的房地联动价已经达到了21万/㎡。静安玺樾售楼处预约电话:400-8824-198

静安玺樾售楼处预约电话:400-8824-198相比之下,多轨交环绕的高品质新房静安玺樾约12.4万/㎡的价格真是很香。这样一个人生进阶的大好机会就在眼前静安玺樾售楼处预约电话:400-8824-198

「静安玺樾」三批次明日认购!

占位中兴路板块 1/3/4/8四轨交

建面约98-107m²2-3房

千万级预算买进静安内环的最后机会!

安玺樾售楼处预约电话:400-8824-198

8月25日,上海市住房城乡建设管理委、市房屋管理局、市财政局、市税务局、人民银行上海市分行、市公积金管理中心等六部门联合印发《关于优化调整本市房地产政策措施的通知》(以下简称《通知》),包括调减住房限购、优化住房公积金、优化个人住房信贷以及完善个人住房房产税等政策。《通知》自2025年8月26日起施行。

一、调减住房限购政策

为更好满足居民改善性需求,促进宜居安居、职住平衡,《通知》明确进一步调减住房限购政策。一是符合条件居民家庭在外环外购房不限套数。对符合本市住房购买条件的居民家庭,包括本市户籍居民家庭、在本市连续缴纳社会保险或个人所得税满1年及以上的非本市户籍居民家庭,在外环外购买住房不限套数,包括新建商品住房和二手住房。二是成年单身人士按照居民家庭执行住房限购政策。

按照上述规定,沪籍居民家庭和沪籍成年单身人士,在外环外购买住房不限套数;在外环内限购2套住房。非沪籍居民家庭和非沪籍成年单身人士,自购房之日前在本市连续缴纳社会保险或个人所得税满1年及以上的,在外环外购买住房不限套数;自购房之日前在本市连续缴纳社会保险或个人所得税满3年及以上的,在外环内限购1套住房。

关于住房限购政策相关业务,可拨打房地产交易行业服务热线“962269”具体咨询。

二、优化住房公积金政策

为加大公积金支持住房消费力度,《通知》规定优化住房公积金政策。一是提高个人住房公积金贷款额度。对缴存人购买二星级及以上新建绿色建筑住房的,住房公积金(含补充公积金)最高贷款额度上浮15%。首套最高贷款额度从160万元提高至184万元,多子女家庭首套上浮比例可叠加计算,从192万元提高至216万元;二套最高贷款额度从130万元提高至149.5万元。二是支持提取住房公积金支付购房首付款。对缴存人购买我市新建预售商品住房的,可以按规定申请提取本人及配偶的住房公积金支付购房首付款。三是支持住房公积金“又提又贷”。对缴存人提取住房公积金支付购房首付款的,不影响其住房公积金贷款额度计算。

关于住房公积金贷款和提取业务的具体办理方式及材料,可查询上海住房公积金官网或拨打住房公积金热线“12329”具体咨询。

三、优化调整商业性个人住房贷款利率定价机制

为减轻居民购房利息负担,《通知》明确优化个人住房信贷政策。银行业金融机构根据上海市市场利率定价自律机制要求和本机构经营状况、客户风险状况等因素,在利率定价机制安排方面不再区分首套住房和二套住房,合理确定每笔商业性个人住房贷款的具体利率水平。

关于住房贷款相关业务,可向经办银行具体咨询。

四、完善个人住房房产税政策

为衔接优化住房限购政策,《通知》规定对符合条件的非本市户籍居民家庭购买的第一套住房暂免征收房产税;购买的第二套及以上住房在合并计算家庭全部住房面积后,给予人均60平方米的免税面积扣除。由于个人住房房产税按年征收,因此2025年1月1日起符合条件的购房者可享受本条政策。

全部

相关资讯

报名成功
稍后会有专业的置业顾问联系您
返回楼盘

频道导航

返回首页

看房小程序

APP下载

电话拨通后,请您手动拨打分机号

确定拨打电话

电话号码:

分机号:(可能需要拨分机号)