五个院子的别墅,持续销售中!500万级小别墅,仅87套0.41低容积率!
随着房地产行业逐渐 摆脱金融属性,
【五个院子的别墅售楼处热线:400-153-0352】
购房者对房地产市场的 关注点,
逐渐由升值回归居住本身。
有一套有天有地的别墅,远胜过手上一堆不适合居住的小房子。

(展示样板间实景图)
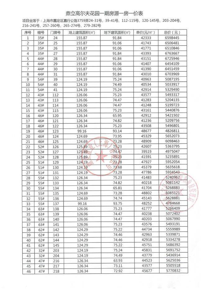
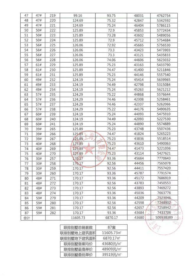
最新一房一价表:



谁会拔得头筹呢?
「五个院子的别墅」
完美地满足了大众对居住环境的渴求。
不仅提供了独栋别墅般的居住环境,而且价格亲民。
在竞争激烈的市场中迅速崭露头角,成为了令人瞩目的黑马。

(展示样板间实景图)
自认筹开启以来,销售中心人气爆棚,热度不减,一跃成为上海楼市的 红盘。
(活动现场实拍图)

五个院子的别墅销售中心,众多的买家蜂拥而至,现场人头攒动。
工作人员热情地为到访客户登记信息,细心地回答客户的每个问题,并引导客户填写认筹协议书。
(活动现场实拍图)

火爆的认筹现场,不仅仅代表着买家对五个院子的别墅的信心和肯定,更证明了人们 对于低总价合院别墅的需求。
本次认筹活动火爆场景背后,
是让人 对约500万就能拥有
一个有天有地有院子理想生活的期待。
毕竟人生不只有诗和远方,还有院里的花开花落。
(活动现场实拍图)

超大附赠空间
国企背书,产品有保障
五大院落生活
低总价购入纯合院别墅社区
「五个院子的别墅」
现在抢还来得急
「五个院子的别墅」
首推仅仅87套房源
主力户型为建面约126㎡合院产品
以及套数稀缺的98、155、172㎡合院
(展示样板间实景图)

01.
近乎一倍的附加空间
性价比超乎你的想象
正所谓“没有卖不出去的房子,只有卖不出去的价格”。
「五个院子的别墅」不仅价格优惠,更有高附加空间赠送。
以约 98㎡的户型为例, 额外增加了90多㎡,
让 小面积瞬间 变成了宽敞的 大空间。
(示意图)

除了本身建筑面积98㎡,
附加地下室、露台等这些空间统统都是您和家人的活动空间。
约500万可以买到的近乎建筑面积的两倍的使用空间。

(展示样板间实景图)
除了附加空间,每套房子都配套宅前院落,
4万出头的均价,你便能在上海拥有一套高附加空间的中式合院别墅。
一半建筑面积,一半附加面积,外加0.41的低容积率,这样的机会放眼全年,也只有十批次,实在是难得一见。
(项目总平+首开楼栋落位示意图)

在此附上本次首开的户型图, 都是有高附加空间的中式合院别墅:






02.
国企实力背书
产品力有保障
项目由拥有国企实力背书的 北控城发基金打造。
从整体规划到配套构建再到产品设计,处处都追求一个 “极致”。

(效果图)
项目把脉国人院落情结与当地传统文化相结合。
以街巷式组团设计,再现 “五街八巷九坊”古典院落风貌。

(效果图)
内承中国 历史名园营造法式,
与 海派艺术神韵,
精琢“两轴九园”雅韵园林。
主轴——玲珑园、真趣园、毓秀园
横轴——和煦园、涵碧园、集芳园、烟雨园、环秀园、远香园
每一处都独具个性,整体又如星辰贯连,婉转柔美与气势恢弘相映成趣。

(效果图)
在产品设计中,
注重细节和空间感的打造,
为你带来一种堪比独栋的居住体验。
从外部来看:
建筑造型 简洁明快,线条流畅。
新中式风格让人感受到中国传统文化的深厚底蕴,同时也展现了现代设计的时尚感和个性化。
大面积落地窗设计的运用,让每一个角落都充满阳光和活力,走进室内,你会被宽敞明亮的空间所吸引。
(展示样板间实景图)

从内部来看:
首层约3.6米的尊享层高,通过全方位的视野, 将别墅产品的独特气质展现得淋漓尽致。
每个角落都拥有绝美的风景,让人感受到无比的舒适与尊贵。

(展示样板间实景图)
二楼270°转角露台大面积赠送的使用空间,不仅拥有宽敞明亮的空间,还有特别舒适的环境。
可以用来练瑜伽、也可以在这里享用下午茶、 这里也是一个绝佳的观星场所,感受宇宙的神秘。

(展示样板间实景图)
地下空间设计巧妙一改地下室潮湿、阴暗的印象
不仅增加了房屋的实用性,还 让阳光通过天窗洒进来,让地下空间变得明亮通透。这个地下空间可以作为影音室或健身房,为主人提供舒适的娱乐和运动空间。

(展示样板间实景图)
更有 绿城物业职业化服务者维护,让生活不再是一地鸡毛
以优质的服务赢得了业界的一致好评, 连续13年荣获“中国百家最满意物业服务企业”的称号
从生活服务、咨询服务、社区服务三个层面,为业主带来精细、用心的品质生活体验!
(示意图)
03
五季漫游
闲适而精致的生活享受

(示意图)
「五个院子的别墅」位处嘉定北生态涵养区,扼守上海西北门户之地。
板块辐射长三角核心区域,是区域着力打造的生态品牌。

(示意图)
交通便利,四纵四横交通网络,规划双轨通达全城。
还 配备社区班车直达11号线嘉定北——嘉闵线。
全新升级内部配套:
对传统别墅的生活方式升级和改进,更是一种全新的探索和尝试。
这种生活方式强调 回归自然、回归本真。
让人们能够在喧嚣的城市生活中找到一片属于自己的宁静天地。
根据都市人群理想的居住环境痛点特别定制“耕·食·趣·养·学”五大主题院落生活配套:

(示意图)
耕| 植耕院——采摘种植园、家庭农场、鲜花园
食| 美食院——绿色美食汇、微醺酿酒厂、烘焙坊、花园咖啡屋
趣| 闲趣院——有机市集、烧烤坪、星空影院、亲子娱乐场
养| 颐养院——中医SPA馆、户外运动营、艺术馆、手工工艺坊
学| 研学院——社群爱好组织、全年活动、Party
每个院子都有其 独特的设计和功能,从户外娱乐到室内休息,从景观欣赏到文化体验。
每一个细节都充分考虑到人们的生活需求和精神追求。
同时与自然和谐共生,让人们能够真正感受到自然的美好和力量。

(效果图)
让人期待的是, 美食院即将开业。
特别邀请独立设计师打造的 花房餐厅与花房咖啡,不仅出品美味,更有绝佳的视觉享受。
搭配花香和清风,再洒上些许阳光,仿佛置身于一个美妙的世界中。现在,可以亲自享受这份特别的味蕴。

(效果图)
试想一下,不同于劳心劳力地长途跋涉,在这都市繁华的熙攘之中, 认养一亩属于自己的田园。可以和家人居住在一起,也可以和好友相约打一场高尔夫。
不用心烦工作,投身于大自然的怀抱,感受自然的力量。
清晨亲手采摘果实,品尝自然的美味,体验踏实的幸福。
在午后,我们将搭建帐篷,享受麦香、花香、咖啡香交织的悠然时光。
夜幕降临时,我们将在星光下与志同道合的朋友畅谈。
小朋友将参加"自然课",释放他们的奇思妙想,体验无限的野趣。
有儿女承欢膝下,有的亲友相伴身旁,放下身心,回归自然。
其实无论是哪种情况,快乐最重要。
选择这里, 放下内卷,享受一种更加轻松自在的生活方式。

(图源网络)
「五个院子的别墅」
首推仅仅87套房源
少量房源 直接认购!
主力户型为建面约126㎡合院产品
以及套数稀缺的98、155、172㎡合院
【上海嘉定五个院子的别墅营销中心:400-153-0352】