
高尚领域为长江实业集团有限公司开发超大型城市综合体项目,总建筑面积约117万㎡。项目处于内中环,对于刚改购房者还是不错的选择。
此次开出的项目二期为礼泉路南侧的四幢,约348套房源。其中两栋总高32层,户型为建面约82-100㎡2-3房,两梯四户,塔楼设计;另外两栋建面约165㎡4房,两梯两户。户型基本与排名前列批相同,上期户型图可供参考。



2019年5月中旬,高尚领域一期房源就备受购房者青睐,客户排队看房的场景还历历在目,排队近5个小时才能看到样板间,轰动整个上海楼市。



高尚领域所在的真如板块是继徐家汇、花木、五角场后上海第四个城市副中心,这不仅是上海西北地区的活动中心,还因上海西站与昆山、苏州、南京等,长三角发达城市紧密联系,是上海连通长三角其他区域的重要枢纽。

再加上正在修建14号线、15号线未来对于真如的辐射,未来将规划建设的轨道交通20号线对真如的利好,目前已经开通的有地铁11号线、7号线,5轨交汇板块的置业价值是十分优秀的。上海轨道交通14号线向北是真如城市副中心的核心区域,而向东则进入上海市中心区,板块的交通价值是十分具备优势的。
而高尚领域正是真正的地铁房,目前已经开通的地铁7号线(距项目约1.2公里)及11号线(距项目步行仅300米),在建中的14、15号线预计今年将开通,届时轨交11号线及轨交14号线将无缝连接,真正做到了地铁上盖。

在配套方面,区域内教育资源丰富,有真如文英中心小学、上师大附属学校(小学/初中),真如中学、曹杨第二中学、曹杨第九中学等多所优质学校。
周边综合商场有:家乐福、乐购、世纪联华、乐天玛特、麦德龙、迪卡侬运动超市、百安居、环球港等,完全满足日常生活和娱乐休闲所需。
周边医院:有普陀区中心医院、普陀中医/老年医院、上海宏康医院、普陀区中医院龙华医院门诊部等。
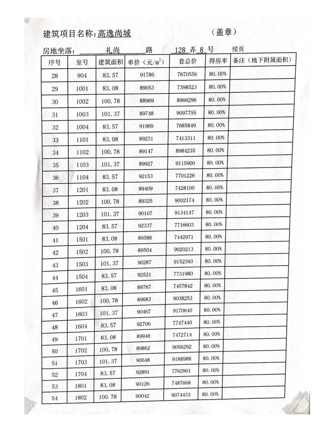
附一房一价表:













