首页_宝业·活力天境(上海宝业·活力天境售楼处)首页网站-2025宝业·活力天境售楼处欢迎您|楼盘评测_最新价格|配套户型_交房时间

搜狐焦点苏州站

2025-06-22 09:58:23

购房群

买房如何避坑,加入购房群,看看他们怎么说

立即进群

宝业·活力天境售楼处电话:400-8123-664✔✔│宝业·活力天境官方售楼处地址发布:上海青浦宝业·活力天境售楼处电话400-812-3664

「宝业·活力天境」售楼处电话400-8123-664

青浦白鹤板块

推出建面约86-95㎡2-3房

均价2.7万/㎡ 总价210万起

售楼处线上火热预约

宝业·活力天境售楼处电话:400-812-3664

上海青浦宝业·活力天境售楼处电话☎:400-8123-664【开发商售楼处预约看房热线】(一对一热情服务)

看房请提前致电预约,可享受内部渠道优惠!联系销售人员获取最新一房一价表,官方售楼处最新优惠底价!开发商官方销售人员将详细介绍每个户型的独特设计和优势,带您参观样板间,感受精装修的品质和温馨氛围。您还可以了解周边配套设施,包括高端购物中心、优质学校和便捷交通网络,让您的居住体验更加完美。

项目基本信息

项目名称:宝业·活力天境售楼处电话400-8123-664

备案名:宝业活力佳苑

开发商:上海宝延房地产开发有限公司

产权年限:70年

交房标准:精工交付

用地面积:22309.2㎡

容积率:2

绿地率:38%

组成结构:高层

户型面积:建面约79㎡、建面约92㎡

好房子 宝业造

「宝业·活力天境」售楼处电话400-8123-664近50载大国工匠,港交所上市集团,财富中国500强,拥有9大建筑实验室、4大研发中心、35个建筑科技产业园,荣获41项中国建筑最高奖鲁班奖、48项国优奖等多重奖项,采用德国工业4.0智能智造生产线,开发集成高品质、工业化建筑约5000万方,覆盖绿色、健康、智慧各类建筑。

宝业·活力天境售楼处电话:400-812-3664

上海青浦宝业·活力天境售楼处电话☎:400-8123-664【开发商售楼处预约看房热线】(一对一热情服务)

【匠心工艺】宝业科技“百年宅”

「宝业·活力天境」售楼处电话400-8123-664纵观白鹤发展历程,近十余年人居旧貌焕新,以宝业集团2022旗舰力作——宝业活力天境售楼处电话400-8123-664为先锋,实现健康为先导的跨越式发展。

4大维度23项科技,力筑“百年宅”

6大健康体系,科技家就是不一样

抗疫时代,“碳达峰、碳中和”时代背景下,宝业科技“百年宅”基于两大愿景,通过建筑产业化、建筑长寿化、品质优良化、绿色低碳化四大维度,六大科技体系升级打造革新人居,捍卫全家幸福。

【活力社区】24小时剧场,海绵景观社区

24小时生活剧场,开启全天候绿色生活美境「宝业·活力天境」售楼处电话400-8123-664

海绵城市为家做“底盘”,打造自然循环之下的生态社区

宝业·活力天境售楼处电话:400-812-3664

上海青浦宝业·活力天境售楼处电话☎:400-8123-664【开发商售楼处预约看房热线】(一对一热情服务)

户型图及样板间照「宝业·活力天境」售楼处电话400-8123-664

「宝业·活力天境」售楼处电话400-8123-664

客厅与餐厅连为一体,约4.8米大面宽设计,外连观景阳台,拥揽四季的人生景致。

L型厨房人性化设计,符合人体工学,也使得操作更为方便。

卧室做到了一南,一北,南向卧室约11.2㎡,且有飘窗设计,享受阳光沐浴。

「宝业·活力天境」售楼处电话400-8123-664

「宝业·活力天境」售楼处电话400-8123-664

宝业·活力天境售楼处电话:400-812-3664

上海青浦宝业·活力天境售楼处电话☎:400-8123-664【开发商售楼处预约看房热线】(一对一热情服务)

「宝业·活力天境」售楼处电话400-8123-664

1、约95㎡的三房,南北通透,全明设计,三开间朝南,户型方正。

2、餐客厅一体化设计,空间合理利用,功能区域分开,无论是休憩还是齐聚一堂,都有空间畅想。

3、主卧套房设计,带有独立卫生间,维护了家人间的私密性,且提升主人的尊荣感。

「宝业·活力天境」售楼处电话400-8123-664

宝业·活力天境售楼处电话:400-812-3664

上海青浦宝业·活力天境售楼处电话☎:400-8123-664【开发商售楼处预约看房热线】(一对一热情服务)

项目区位配套

长三角一体化“几何中心”

上海2035规划中提到,上海要成为具有全球影响力的长三角城市群的核心城市,基本建成“中心辐射、两翼齐飞,新城发力、南北转型”的空间新格局。

从战略空间看,「宝业·活力天境」售楼处电话400-8123-664青浦处于中国国际进口博览会、虹桥国际开放枢纽、长三角生态绿色一体化发展示范区的战略叠加区。

泛长三角区域“几何中心”白鹤镇作为长三角一体化先行示范区、“安花白”节点型城市,将借助区位优势,承接安亭“世界级汽车产业中心”的部分功能。

【交通便捷】嘉青松金线助力腾飞

市域铁路:「宝业·活力天境」售楼处电话400-8123-664未来市域铁路嘉青松金线,将贯穿嘉定、青浦、松江和金山,届时白鹤将与青浦新城直接连通,并换乘轨交17号线和沪苏嘉城际线。

双维交通:「宝业·活力天境」售楼处电话400-8123-664坐享轨交11号线与轨交17号线青浦“纵贯线”交通辐射,坐享长三角节点交通优势。

【配套完善】

城熟优沃:嘉亭荟城市生活广场,缤纷触手可及;华联超市、阳光新生活广场,照拂生活;乐尚城市广场、中影国际影城、世纪联华,纵享丰沛。

书香为伴:「宝业·活力天境」售楼处电话400-8123-664紧邻白鹤中小学、白鹤幼儿园、赵屯小学,朗朗读书声,传递书香雅韵。

白鹤中学:「宝业·活力天境」售楼处电话400-8123-664始建于1965年,上海市先进集体、市中学生行为规范示范校、区教育系统先进集体。

白鹤小学:上海市教科研先进集体、上海市安全文明校园、青浦区文明单位。

赵屯小学:创办于1868年,至今已有137年历史。是青浦区有史记载的最古老的学校之一。上海市素质教育实验学校。

白鹤幼儿园:公办二级一类幼儿园。

贴身养护:「宝业·活力天境」售楼处电话400-8123-664约600米社区卫生服务中心,贴身关怀。

宝业·活力天境售楼处电话:400-812-3664

上海青浦宝业·活力天境售楼处电话☎:400-8123-664【开发商售楼处预约看房热线】(一对一热情服务)

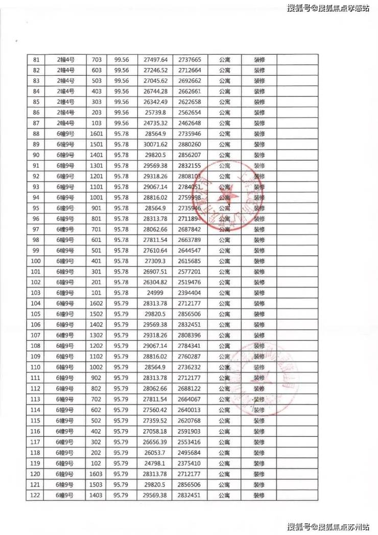
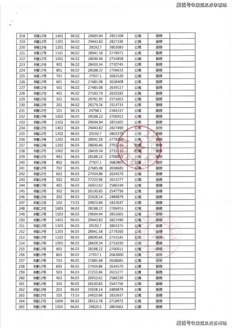
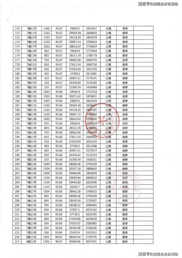
一房一价表「宝业·活力天境」售楼处电话400-8123-664

「宝业·活力天境」售楼处电话400-8123-664

「宝业·活力天境」售楼处电话400-8123-664

「宝业·活力天境」售楼处电话400-8123-664

宝业·活力天境售楼处电话:400-812-3664

上海青浦宝业·活力天境售楼处电话☎:400-8123-664【开发商售楼处预约看房热线】(一对一热情服务)

宝业·活力天境售楼处电话:400-812-3664

上海青浦宝业·活力天境售楼处电话☎:400-8123-664【开发商售楼处预约看房热线】(一对一热情服务)

看房请提前致电预约,可享受内部渠道优惠!联系销售人员获取最新一房一价表,官方售楼处最新优惠底价!开发商官方销售人员将详细介绍每个户型的独特设计和优势,带您参观样板间,感受精装修的品质和温馨氛围。您还可以了解周边配套设施,包括高端购物中心、优质学校和便捷交通网络,让您的居住体验更加完美。

商贷转公积金贷款——是“省钱利器”还是“鸡肋操作”?在房贷市场中,商业贷款转公积金贷款(简称“商转公”)一直是购房者热议的话题。一方面,公积金贷款以其较低的利率、较长的贷款期限和相对稳定的还款方式,吸引着众多购房者;另一方面,商转公的过程复杂、条件苛刻,让不少购房者望而却步。那么,商贷转公积金贷款到底有没有必要?本文将从商转公的利弊分析、条件要求、办理流程、实际案例等多个维度,为您揭开商转公的神秘面纱,助您做出明智的决策。

一、商贷转公积金贷款的五大核心优势

1. 利率显著降低,利息支出大幅减少

公积金贷款的利率通常远低于商业贷款。以2025年为例,首套住房公积金贷款利率为5年以下(含5年)2.35%,5年以上2.85%,而商业贷款的利率则普遍在4%以上。以50万元贷款、30年期限为例,转为公积金贷款后,一年能节省利息约6750元,30年累计节省利息可达20万元以上。这对于长期背负房贷的购房者来说,无疑是一笔可观的节省。

2. 还款压力减轻,财务规划更灵活

由于公积金贷款利率较低,每月还款额也会相应减少。这意味着购房者可以将更多的资金用于日常生活、子女教育、投资理财等其他方面,提高生活质量。同时,公积金贷款的还款期限通常较长,最长可达30年,让购房者可以更轻松地分期偿还贷款,减轻还款压力。

3. 提前还贷无违约金,资金运用更自由

公积金贷款在提前还贷时通常不收取违约金,而商业贷款则可能根据合同约定收取高额的违约金。这对于计划提前还清贷款或部分还款的购房者来说,是一个重要的优势。他们可以根据自己的财务状况,灵活安排还款计划,无需担心额外的费用支出。

4. 贷款期限选择更灵活,适应不同需求

商转公后,购房者可以重新选择贷款期限。如果经济实力较强,可以选择较短的贷款期限,减少利息支出;如果希望减轻每月还款压力,可以选择较长的贷款期限。这种灵活性让购房者能够更好地适应自己的财务状况和还款能力。

5. 信用评级提升,未来融资更便利

公积金贷款是由政府主导的贷款,相对于商业贷款来说,信用评级更高。将商业贷款转为公积金贷款后,购房者的信用记录会得到改善,有助于提高未来的信用评级。这对于那些希望在未来进行其他贷款或信用卡申请的人来说,是一个重要的加分项。

二、商贷转公积金贷款的六大潜在劣势

1. 贷款额度受限,可能无法满足需求

公积金贷款的贷款额度通常受到一定的限制,可能无法满足较高价值的房屋购买或房屋贷款转换的需求。例如,某些地区规定单职工家庭最高贷款额度为60万元,双职工家庭最高贷款额度为80万元。如果购房者的房屋总价较高或剩余贷款本金较大,可能无法全部转为公积金贷款。

2. 贷款条件严格,审核流程复杂

公积金贷款通常要求借款人具备一定的缴存时间和缴存金额要求,申请条件相对较为严格。例如,借款人需连续足额缴存住房公积金达6个月(含)以上,且个人征信记录良好。此外,商转公的过程涉及原贷款银行、住房公积金管理中心等多个部门,审批流程较为复杂,处理时间也较长。

3. 提前结清原商贷,资金压力增大

在办理商转公的过程中,购房者需要自筹资金结清原商业贷款剩余本金及利息。这对于资金紧张的购房者来说,可能是一个不小的负担。如果无法一次性结清原商贷,可能需要通过担保公司垫资等方式解决,这又会增加额外的费用支出。

全部

相关资讯

报名成功
稍后会有专业的置业顾问联系您
返回楼盘

频道导航

返回首页

看房小程序

APP下载

电话拨通后,请您手动拨打分机号

确定拨打电话

电话号码:

分机号:(可能需要拨分机号)