招商臻境户型与项目解析:神户型-上海招商臻境 楼盘呼吸深度分析!

搜狐焦点天门站

2025-06-27 18:12:00

购房群

买房如何避坑,加入购房群,看看他们怎么说

立即进群

招商臻境

售楼处电话:400-1787-138(已认证)

营销中心热线:400-1787-138(欢迎致电)

售楼处预约电话:400-1787-138☎☎☎如有问题可来电咨询,预约销售专员,一对一为您服务!

⛩项目名称:「招商臻境源上」

👑项目简介:浦东三林 品质住宅

🗣最新动态:正在认购中

📍区域板块:浦东三林

🏠产品介绍:95-152㎡高层&叠墅

🚇交通配套:11号线三林东站、项目三公里范围还有8号线以及在建的机场联络线

🛍️商业配套:新达汇、三林印象城、中房金谊广场等

🏫教育方面:上海市三林中学东校、上海市上南中学东校等(注:以上为周边现有教

育配套,最终对口以交付后划分为准)

🏥医疗方面:上海市东方医院南院等

⛲️公园:家门口拥揽约百万方绿地公园,前滩友城公园、体育公园等环伺

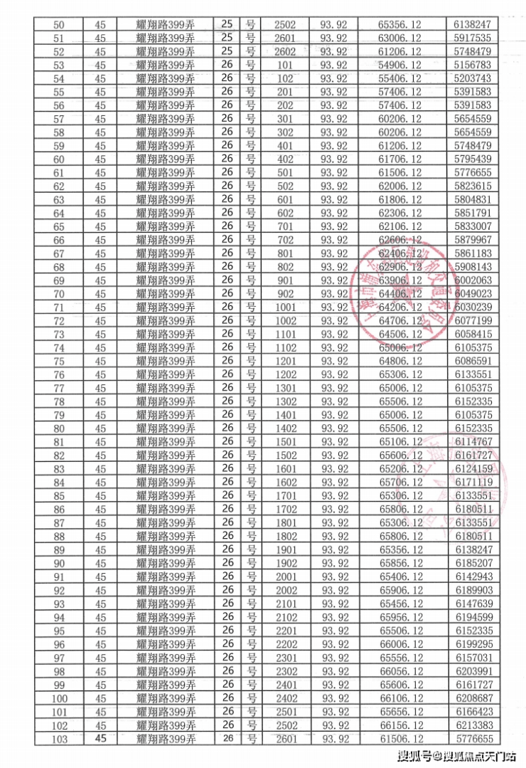
一房一价👇

«上下滑动查看»

编辑

点击输入图片描述(最多30字)

编辑

点击输入图片描述(最多30字)

样板间实拍

1地段

招商臻境|源上,占位前滩南黄金三角(前滩-新杨思-筠溪小镇),凝萃浦东金色中环发展带核心资源:

高效通达|外环/中环/南北高架三轴交汇,约15分钟瞬达前滩(约5KM)、约35分钟达徐家汇(约14KM)或陆家嘴(约15KM);

高阶繁华|摩登前滩(太古里、晶耀前滩等)、烟火三林(新达汇、中房金谊广场等)双圈交融;

公园谧境|家门口拥揽约百万方绿地公园,前滩友城公园、体育公园等环伺;

编辑

点击输入图片描述(最多30字)

编辑

点击输入图片描述(最多30字)

2产品

招商臻境,2024招商「臻」系首发之作,从“被精心设计过的都市新贵生活”lifeDeco生活主张出发,对上海骨子里的精致优雅,进行一次国际化的创新表达,满足都市新贵生活需求。

编辑

点击输入图片描述(最多30字)

编辑

点击输入图片描述(最多30字)

招商臻境立面通过曲线微弧、丰富层次以及高级的质感,交织融合彰显上海格调。

编辑

点击输入图片描述(最多30字)

招商臻境循迹上海洋楼花园的种植方式,借由现代艺术化的语境构筑园内空间,将海派人文与静奢式酒店日常融入社区景观,以“海派腔调,静奢生活”的设计理念,打造“七维、六巷”的景观分布形制,演绎静奢式园林生活方式。

编辑

点击输入图片描述(最多30字)

编辑

点击输入图片描述(最多30字)

约1500㎡life-Club泳池会所,将生活需求与度假融合,勾画酒店式泳池、健身天地、休闲休憩空间、私宴会客厅、下沉庭院等多元场景,演绎一幕幕高阶日常,为城市新贵精英带来最纯粹的生活体验。

酒店式泳池:四季阅享的畅游空间,享受深度的精神放松

悦动健身房:大落地窗环幕设计,生命在运动中绽放

层峰会客室:共享会客,配置水吧,家以外的第二客厅

四大主题架空层:多元业态,营造全龄化共享空间

编辑

点击输入图片描述(最多30字)

编辑

点击输入图片描述(最多30字)

本批次推出的45#、37#、38#,真的是无遮挡俯瞰百万方的城市公园(在建中),即使是低区也有极佳的采光和视野。

编辑

点击输入图片描述(最多30字)

全新户型图如下:

编辑

点击输入图片描述(最多30字)

编辑

点击输入图片描述(最多30字)

编辑

点击输入图片描述(最多30字)

编辑

点击输入图片描述(最多30字)

编辑

点击输入图片描述(最多30字)

叠墅样板间部分谍照曝光:

编辑

点击输入图片描述(最多30字)

编辑

点击输入图片描述(最多30字)

编辑

点击输入图片描述(最多30字)

编辑

点击输入图片描述(最多30字)

编辑

点击输入图片描述(最多30字)

编辑

点击输入图片描述(最多30字)

编辑

点击输入图片描述(最多30字)

编辑

点击输入图片描述(最多30字)

编辑

点击输入图片描述(最多30字)

编辑

点击输入图片描述(最多30字)

编辑

点击输入图片描述(最多30字)

招商臻境示范区

编辑

点击输入图片描述(最多30字)

编辑

点击输入图片描述(最多30字)

编辑

点击输入图片描述(最多30字)

编辑

点击输入图片描述(最多30字)

编辑

点击输入图片描述(最多30字)

招商臻境

售楼处电话:400-1787-138(已认证)

营销中心热线:400-1787-138(欢迎致电)

售楼处预约电话:400-1787-138☎☎☎如有问题可来电咨询,预约销售专员,一对一为您服务!

全部

相关资讯

报名成功
稍后会有专业的置业顾问联系您
返回楼盘

频道导航

返回首页

看房小程序

APP下载

电话拨通后,请您手动拨打分机号

确定拨打电话

电话号码:

分机号:(可能需要拨分机号)