海上清和玺售楼处电话: 400-8669-938(已认证)
海上清和玺 营销中心热线:400-8669-938(欢迎致电)
海上清和玺 售楼处预约电话:400-8669-938☎☎☎如有问题可来电咨询,预约销售专员,一对一为您服务!
编辑

徐汇约2000万以内的少有选择!
「海上·清和玺」
加推约111-141㎡3-4房过会
均价119182元/㎡!
总价仅约866万起步!
开启认购!
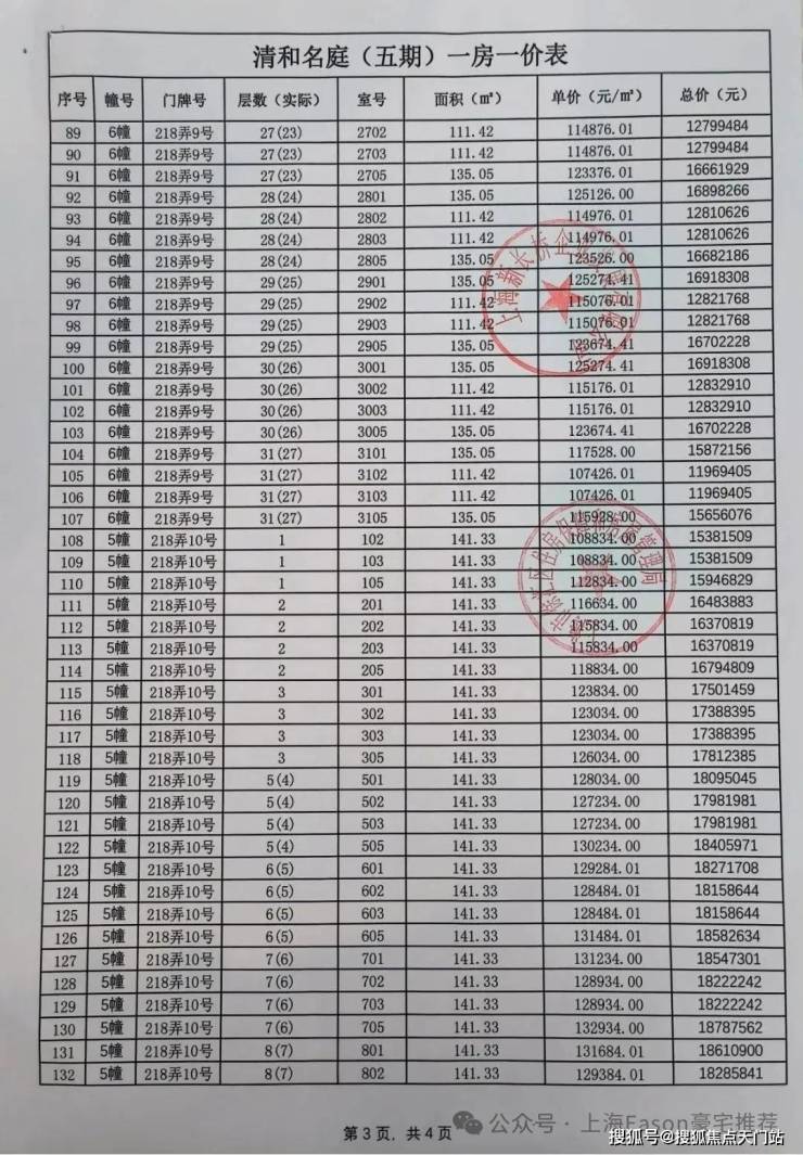
一房一价表发布:
编辑

编辑

编辑

编辑

编辑

编辑

约1万方全维实景即将首映
项目全精装修
标配泳池,带会所!
项目此次加推9、10#,主力户型为建面约112、134㎡3房以及143㎡4房。
户型图发布:
编辑

编辑

编辑

部分户型图和配比表如下:
(过程稿仅供参考,以开发商正式公示为准)
编辑

编辑

编辑

编辑

先来看下建面约112㎡创意展示空间:
入户这座铸铝门,质感厚重;通顶玄关柜,内置消毒精灵,奢石把手+奢石台面更显海派温润气质,玄关地面都铺上了海上·清和玺的logo拼花,小小玄关做到了既实用又美观。
进门可以看到经典的S墙设计,L型厨房操作台面,也是暗藏不少细节——玻璃移门采用完美系列夹丝玻璃+金属造型边框,顶部配置线性凉霸+LED嵌入式回形灯带+筒灯,灶台后侧采用大面积岩板铺设,方便清洁的同时显得厨房更加大气。
厨电配置了德国厨房顶奢品牌博世(或同等档次)四件套抽烟机+燃气灶+洗碗机,带末端净水器,弗兰卡(或同等档次)大单槽+可抽拉龙头,冰箱也是交付的!
柜门白色烤漆面板,抽屉分区也都是帮大家细致划分,如多功能调味拉篮+谷物抽+碗碟拉篮等。岛台上配置可升降插座,铝合金抽屉,石材背景板的金属开放格实用性很强。
电视背景墙采用卡慕白的石材+皮革造型,弧形吊顶,相当讲究,连空调出风口的形状都打造为海上·清和玺logo山茶花的形状~~三大件为大金(或同等档次)中央空调和地暖,新风系统为百朗(或同等档次),南向阔景阳台,采光视野一级棒!
主卧套房设计,皮革造型的床背景墙也是交付标准,台盆为唯宝(或同等档次)、龙头则为科勒(或同等档次)复古龙头,马桶为高仪智能马桶(或同等档次)。
奢石台面,皮革饰面柜抽屉,侧端设置金属收纳开放格;定制镜柜,中间的透光玉石直接提升了高级感,镜柜内部配备了美妆冰箱+美妆灯条+轨道收纳!
约134㎡样板间:
全屋动静分离设计,餐客一体化,预计客厅面宽超4.7米配以270度采光阳台,舒适度直接拉满;玄关设置S墙、厨房预留岛台位置,促使空间利用度更加合理;主卧面宽预计超3.6米,配以270度飘窗。
招商,一玺一定制。在上海文脉深远的徐汇,在豪宅标杆徐汇滨江的延伸居住带上,招商全新玺系产品,究竟定制了哪些惊喜?
编辑

社区总规模约17万㎡,共10栋多层及高层公寓。不管是外立面、景观设计还是物业服务,整个项目从内到外散发着贵雅、艺术气息。
海派与现代 立面碰撞出美的火花
海上·清和玺的外立面,第一眼即惊艳!其以现代美学融合海派文化,并融合了中西方的精髓,采用了大面积铝板,极致通透又温润雅致。
编辑

再仔细看细节,顶部香槟金色格栅塔冠以及壁柱采用香槟金和白色色调,将海派与现代之美生动演绎。
基座更是采用大面积石材搭配艺术玻璃及古铜色金属窗框,辅以奢石、艺术等点缀,打造极致归家体验。如此颇具辨识度的外立面,未来势必将刷新区域天际线,形成徐汇一道亮丽的风景。
度假式风雨连廊+主题架空层
海上·清和玺在社区景观的打造上也很用心,一条风雨连廊巧妙地将自然与建筑融合在一起。水景、绿篱、休憩平台......一步一景,堪比度假。下雨天,廊下倚栏听雨,急雨声如瀑布,密雨声比碎玉;艳阳天,穿廊而过,自有一片屋檐蔽日。
编辑

编辑

部分楼栋还为业主定制了七大主题架空层,商务办公、休闲品茗、健身、社交娱乐、亲子互动、儿童娱乐全覆盖。
编辑

一路定制的游园式归家动线,让业主目之所及均为风景;中央会客花园内,绿植四季皆景,中央庭院景观轴上,则布局双下沉式庭院增添社区精致错落的氛围,提升归家仪式感的同时,给予业主家的温馨。
编辑

编辑

海上·清和玺的车库绝对称得上的卷王天花板!不仅精装交付,还有独具匠心的中央车站,地上/地下双入户大堂,局部楼层还具备地下采光,不管步行还是车行回家,一路都是满满的尊贵仪式感。
对了,项目还贴心配置了专属洗车空间,让业主足不出小区就能随时清洗爱车,省心又便捷。
高定会所 承载精致生活
正所谓“无会所、不奢宅”,海上·清和玺的会所,无论是配置还是能级都堪称震撼,分分钟带给你多样高定生活之旅。
编辑

在 无界泳池享受无界生活,一抬头就是璀璨星空;在高端私宴厅宴人情往来、度过美好“食”光;
在室内顶级健身房畅享非凡运动体验;在室内高尔夫体验挥杆的快乐......这样的场景,想想就很期待。
编辑

海上·清和玺的细节打造,同样不遗余力。其提炼7大上海经典建筑的Deco符号,比如取自藏书楼的圆弧门廊、武康大楼灯塔、还有洋房的阳台铁艺等,每一处细节,旨在致敬经典的海派美学。
编辑

编辑

在海上·清和玺,从楼栋管家,到私密安保、社区大堂,再到圈层活动等都能享受塔尖般极致服务,不论是家电维修应急、宠物托管喂养、爱车清洗、地毯清洗,还是外卖、快递配送,儿童生日PARTY现场布置,都有专人定制,主打一个舒适、安心。
项目所处的长桥板块当前可售新房暂无,往南500米处的地产·尚海悦庭、汇成·南街里目前已经售罄。
周边的配套很接地气,生活比较方便。
周边有15/23号线双地铁配套,同时距离中环几乎0距离,去对岸前滩直达。
编辑

根据高德地图测绘,该地块步行至15号线罗秀路站约900米步行,地铁23号线出入口约1.5公里左右,实际小区出入口位置还以最终官方公告为准:
编辑

自驾方面,约800米即可上中环,距离龙吴路、上中路隧道、外环直线距离约1公里,距离虹梅南路、沪闵高架路也仅约2公里。
因此,不仅是浦西,去浦东也很方便。
商业方面,项目2公里内有凌云壹街坊、百安居、东阔生活广场、规划了北杨人工智能小镇。
如果要休闲,距离上海植物园直线距离约1.3公里。
另外,项目北面一街之隔就是徐汇四大名校之一民办逸夫小学,上海中学距离项目也仅几百米。
编辑

「海上·清和玺」
加推约111-141㎡3-4房
均价119182元/㎡!
总价仅约866万起步!
开启认购!
约1万方全维实景即将首映
项目全精装修
标配泳池,带会所!
海上清和玺 售楼处电话:400-8669-938(已认证)
海上清和玺 营销中心热线:400-8669-938(欢迎致电)
海上清和玺 售楼处预约电话:400-8669-938☎☎☎如有问题可来电咨询,预约销售专员,一对一为您服务!
编辑
