在刚刚过去的12月30日,上海八批次土拍中,金茂强势崛起,在宝山“连中三元”:
宝山淞南D1-04地块经过65轮竞价,由金茂&招商竞得,成交总价29.29亿,溢价率14.86%;
宝山淞南K1-11地块经过激烈竞争,最终由金茂&招商竞得,成交总价43.07亿,溢价率16.03%;
宝山杨行地块是商业+办公+住宅的综合地块,总建筑量高达34.4万㎡,其中商办+餐饮旅馆业体量高达22万㎡,起拍价约31.16亿,由金茂&宝冶以底价竞得;
双轨环绕的超级TOD复合体,你见过吗?过去的几年,TOD从早前的“地铁+住宅”,升级到“地铁+住宅+商业”。
而金茂精准卡位北部枢纽的发展节奏,带来一座超级TOD复合体,高铁+地铁站+城+产+商+居一体化,引领跨时代的居住方式变革!
4月18日,合生创展集团旗下高端商业品牌“合生汇”,正式签下高铁上海宝山站商业运营管理权,这是上海第三座、宝山第一座超级合生汇!
这一战略合作标志着北上海将崛起一座集交通枢纽、商业体验于一体的城市新地标,将为这座超级枢纽注入全新的商业活力。

金茂眼光独到落子大吴淞北部枢纽,带来上海第一座金茂“棠”系作品,将代表整个区域的人居水平,有着风向标式的意义!

金茂棠前围绕“TOD国际汇合住区”,构建起全维超配的居住体验。社区配置有约280米南北景观主轴+约220米东西副轴+下沉式会所+下沉庭院+部分楼栋首层架空+户型革新+科技系统,媲美千万级豪宅的公区和产品力!
小区总规划户数约1118户,容积率2.3。设计的住宅为16-17f小高层产品,其中部分楼栋设有架空层,其中6#9#12#将有可能为大户型,类一梯一户,其余为一梯两户设计,舒适度较高。
金茂棠前5月首开售罄 供不应求,仅约10天紧急加推新品;再次火爆出圈!二期新品| 售罄!三批次推新!
北上海TOD+合生汇+双轨环绕!
「金茂棠前」二开二罄!!
三批次加推约105-178㎡3-4房
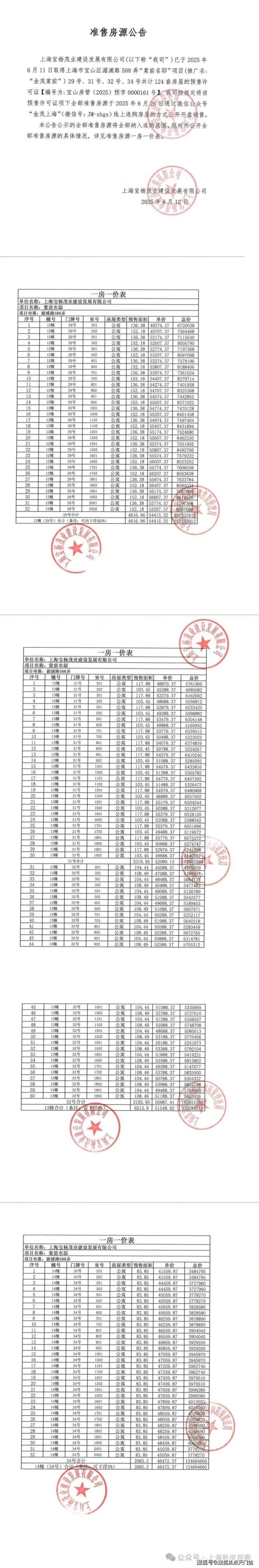
7月19日已过会均价53850元/㎡
效果图过程稿仅供参考:









大吴淞地区将打造上海下一个世界级滨水城区,总规划面积约110平方公里,其中,吴淞创新城、北部枢纽、吴淞口国际邮轮港是重中之重。
金茂棠前作为宝山站城融合TOD首发产品,未来将实现与高铁站的无缝衔接,承接北部枢纽一线辐射利好。
交通方面:除了19号线以外,地块距轨道交通3号线铁力路站1.1公里,周边有5条公交线路。快速路有逸上海绕城高速、同济高架路、川公路、铁力路、友谊路。
教育方面:项目周边有众多优质学校,西侧约600米就是上海大学附属宝山外国语学校,是九年一贯制学校;向西不远处更有宝山华曜实验学校,是民办“华二系”;上海师范大学附属宝山实验学校,是九年一贯制学校。向南约3公里左右还有华东师范大学第二附属中学(宝山校区)、华东师范大学附属宝山宝杨实验学校等。

大吴淞战略+宝山站开工+合生汇签约+19号线建设,让金茂棠前的配套潜力拉满,再加上金茂惊艳的产品力,在500万级新房赛道中堪称独角兽的存在!!