绿城春晓园-上海青浦(绿城春晓园)2024最新房价-小区环境-户型-停车位-得房率

搜狐焦点天门站

2025-06-24 10:08:47

购房群

买房如何避坑,加入购房群,看看他们怎么说

立即进群

徐泾「绿城·春晓园 」

售楼处电话:400-118-3159

案场预约制 看房需提前来电预约登记

温馨提示:点击上方号码可直接拨打电话

请务必致电与销售确认时间,仅预约客户可进入销售现场,感谢您的支持

绿城大虹桥首作

徐泾「绿城·春晓园 」

最新鸟瞰图

均价60910元/㎡

建面约100-150㎡3-4房

8月2日上海二批次土拍第二轮,绿城以总价285574万元竞得青浦区徐泾镇双联路北侧36-01地块,地块出让面积35225.20㎡,容积率2.2,溢价率10%,楼板价36850元/㎡,房地联动价62000元/㎡。徐泾「绿城·春晓园 」

售楼处电话:400-118-3159

地块详情:

地块名称:青浦区徐泾镇双联路北侧36-01地块

四至范围:东至官路浜、南至双联路、西至经五路、北至徐德路

土地属性:普通商品房徐泾「绿城·春晓园 」

售楼处电话:400-118-3159

出让面积:3.52公顷

容积率:2.2

建筑面积:77495.44㎡

住宅套数:685套

套均面积:约113㎡

项目对于内部公共空间的设计规划有着明确的要求,包括公共设施、环形跑道、架空层、连廊等,可以满足对高端改善需求的期待,联动价6.2万/㎡!徐泾「绿城·春晓园 」

售楼处电话:400-118-3159

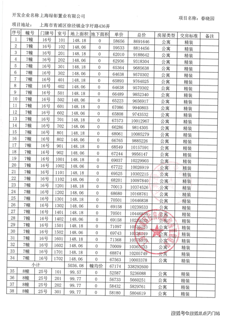
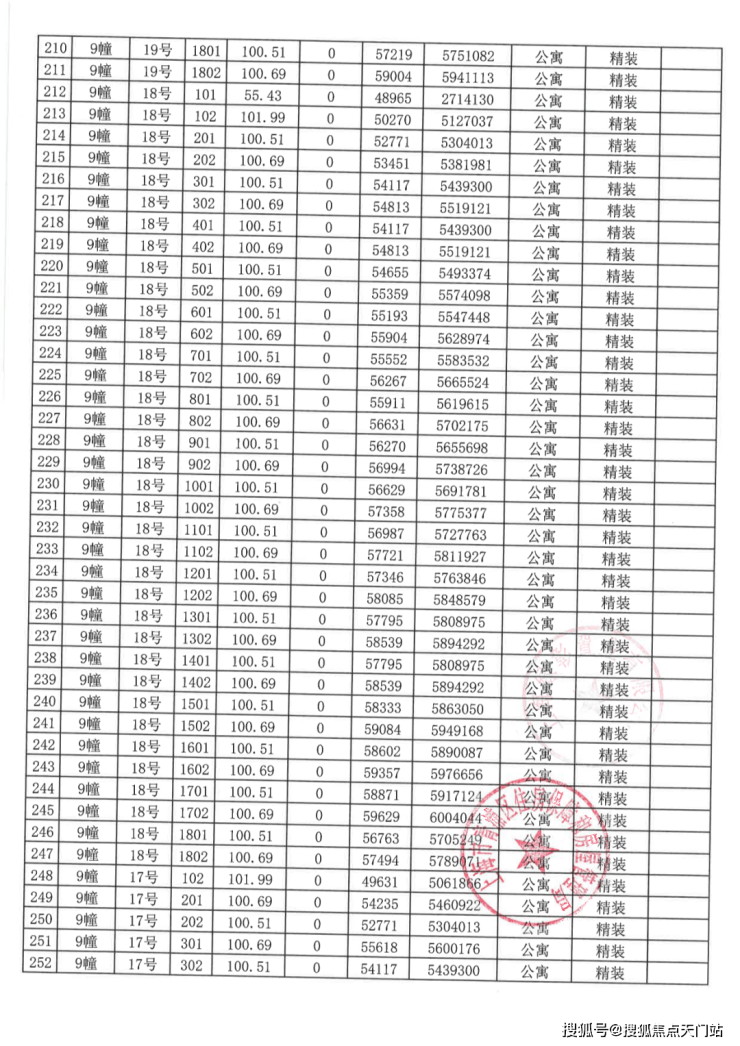
一房一价表:

交通方面:项目地块与17号线徐盈路站的步行距离仅约1公里。

徐泾「绿城·春晓园 」

售楼处电话:400-118-3159

商业方面:项目地处西虹桥15分钟生活圈城市样板区域,步行约1公里即可到达约10万方的西上海新晋网红商业中心——天空万科广场!

教育方面:徐盈国际住区足足规划了多宗教育用地,将成为整个大虹桥的教育高地。随着众多优质学校先后进驻徐泾,徐泾国际住区的教育资源也越来越强,从小学到高中全覆盖!

免责声明:对学校列举仅作描述使用,不代表或隐含开发商学区保证,具体请以政府规划为准

— 品鉴热线 —

徐泾「绿城·春晓园 」

售楼处电话:400-118-3159

案场预约制 看房需提前来电预约登记

温馨提示:点击上方号码可直接拨打电话

请务必致电与销售确认时间,仅预约客户可进入销售现场,感谢您的支持

参观鉴赏请提前2小时预约

全部

相关资讯

报名成功
稍后会有专业的置业顾问联系您
返回楼盘

频道导航

返回首页

看房小程序

APP下载

电话拨通后,请您手动拨打分机号

确定拨打电话

电话号码:

分机号:(可能需要拨分机号)