招商时代潮派2025首页网站|招商时代潮派售楼处电话|招商时代潮派在售户型|小区配套|最新价格|周边详情|容积率|楼盘详情

搜狐焦点天门站

2025-06-10 14:11:28

购房群

买房如何避坑,加入购房群,看看他们怎么说

立即进群

招商时代潮派

售楼处电话:400-1789-208(已认证)

招商时代潮派营销中心热线:400-1789-208(欢迎致电)

招商时代潮派售楼处预约电话:400-1789-208☎☎☎如有问题可来电咨询,预约销售专员,一对一为您服务!

6站漕河泾 9站徐家汇

9号线泗泾站新一代超级TOD自带商业,

总体量约18.5万方

纯商业达到了约12.5万方

与地铁商场仅约200米

超高配装标

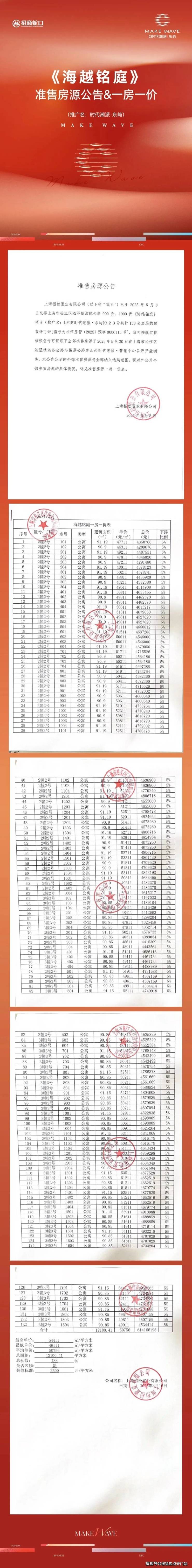
「招商时代潮派」九批次

房源已过会已取证

133套建面91㎡3房

编辑

每日沪房网签快报丨展开动画

项目推荐 · 理由

编辑

项目推荐理由丨展开动画

编辑

内容提要:

*01.基本信息

*02.推售信息

*03.周边配套

编辑

HU FANG

沪房新传播出品

编辑

2024年1月10日,经过56路竞价,最终招商以52.5亿摘下松江区泗泾镇SJS20005单元14-01、16-02、17-07号地块,地块位于9号线泗泾站北侧,出让面积129624.71㎡,房地联动价51100元/㎡。

编辑

招商泗泾项目由3幅子地块组成,根据土地转让合同要求显示,规划住宅套数下限1756套,装标2500元/m²(集采价)

14-01号地块东至横港公路,南至横港河,西至外婆泾路,北至恒泽路。

16-02号地块东至横港公路,南至泗陈公路,西至外婆泾路,北至泗安路(规划)。

17-07号地块东至洞泾港,南至泗陈公路,西至横港公路,北至横港河。

编辑

14-01子地块:三类住宅组团用地,住宅套数下限1229套;

16-02子地块:商业服务业用地84%、文化用地16%、公交场站用地;

17-07子地块:三类住宅组团用地76%、商业服务业用地24%,住宅套数下限527套。

编辑

地块全装修住宅建筑面积应占总住宅建筑面积的50%以上,中小套型住宅建筑面积不得低于该地块住宅总建筑面积的80%,

编辑

根据设计方案显示,14-01地块拟建12幢14F小高层,4幢17-18F高层,3幢5F多层,1幢层高18F的保障房。

编辑

17-07地块:占地面积约2.76万方,总建筑面积约10.96万方,容积率2.5,拟建6栋18F高层住宅、1栋18F保障房、1栋14F酒店、3栋2-3F商业以及若干配套用房!

编辑

编辑

16-02地块作为该项目的商业地块,将打造上海第五座“招商花园城”,致力于打造三年后的网红产品!

编辑

编辑

从立面中充沛着活力与质感的曲线美学,到石材、铝板的质感选材,招商·时代潮派用超高的立面颜值,诠释当代年轻人理想的lifestyle。

编辑

编辑

以简约的美学、丰盈生活的理想:建筑汲取极简主义精粹,以线条塑造建筑的轻盈感与未来感。

转角通过曲线、弧度来营造出流畅、柔和的外观,创造一种灵动的美学风格。

编辑

编辑

以酒店的礼序、营制归家的仪式:部分入口酒店式环岛落客区的设计,搭配水景营造,拉满归家的仪式感。

编辑

地上地下双入户大堂,地下车库电梯直达,尽享尊崇礼遇;一层高定入户门厅,弧形悬浮顶棚,时刻彰显优雅摩登。

编辑

以多元的场景、缔结社交的意趣:架空层里休闲会客、社交洽谈、儿童娱乐、书吧等多功能模块,打造全龄化社交空间,邻里间的温情与自然一同生长。

编辑

编辑

编辑

编辑

编辑

编辑

编辑

HU FANG

沪房新传播出品

编辑

招商时代潮派的落地,真的吸引了太多人的瞩目。

泗泾人民终于等来了心中的白月光、上海西南终于等来了足够能级和体量的商业中心、9号线又迎来了新的枢纽站点...

在这种时代背景下诞生的招商时代潮派,招商真的是倾尽全力。

首先,项目未来交付标准(装标内容仅供参考,最终以项目购房合同约定的交付标准为准):

三大件:松下或日立或东芝或三菱或同等档次品牌的空调地暖两联供,百朗或同等档次品牌新风;

卫生间:科勒或TOTO或同等档次品牌的台盆、台盆龙头,高仪或科勒或同等档次品牌主卫或单卫智能马桶、淋浴花洒,名族或同等档次品牌的风暖。

厨房:整个厨房不仅严选用国际品牌的装标,挥手即可控制的抽烟机、大面板且具备防干烧技术燃气灶、网红大单体黑石水槽、可抽拉水槽龙头...在细节上更是贴心呵护人居,大大提升居住体验!

例如铝框窄边三扇移门+完美系列上轨道设计+拉丝艺术玻璃,是身份的象征、也是业主格调的体现;厨房U型操作台面,并配备了洗碗机、末端净水,甚至凉霸,不仅能解放双手,还解决了炎炎夏日厨房做饭闷热的烦恼;还配备大量收纳系统,例如多功能拉篮、定制亚光翻边造型柜体等。

编辑

细节上面,还有入户玄关、电视背景墙、美妆冰箱(主卫)、墙布交付,精致花纹地面玄关入户,柜体别致造型、弧形美学吊顶,所有卧室人字拼地面等高级硬核细节配置均有。(以上装标内容仅供参考。最终以项目购房合同约定的交付标准为准)

附体验间实景:

编辑

说句实在话,这是在以500万级的价格、卖着千万级豪宅的装标。关于社区,有几点值得一提:

第一,项目将把社区的西大门打造成酒店式环岛落客式大门(车行+人行);

以同样的规格打造人行的东大门,大门两侧都选用奢石;

社区内还设计有归家大堂;这样的归家仪式感,在整个上海约500万级的新房中,十分少见。

编辑

编辑

编辑

第二,项目将配置架空层,为业主来更多的生活想象。

编辑

编辑

编辑

编辑

前期在售户型图如下:

建面89㎡3房户㎡3房户型图▼

编辑

编辑

建面约89㎡3房户型:东边套主卧配置约270°双向采光飘窗、S墙设计,主力总价仅约450万级,首付约90万起!

首先,S墙的设计使得冰箱得以不占用厨房空间,将更多面积留给更多的生活场景

编辑

创意展示间实景图仅供参考,不作为交付承诺

其次,主卧的约270°无柱转角超宽巨幕景观视野(仅东边套),着实令人震撼同价段更是无敌,是当下500w级必看必买的楼盘

编辑

创意展示间实景图仅供参考,不作为交付承诺

此外,还有全卧室带飘窗+卫生间干湿分离等等细节,让你尽可能把家中物件归拢,让屋里的每一个平方都能发挥在更实际的地方

样板间

编辑

编辑

编辑

编辑

编辑

建面约99㎡3房户型图▼

编辑

编辑

建面约99㎡三房:该户型是典型的飞机格局,很大程度上提高了使用率

无走道浪费+多飘窗设计,让视觉大大向外延伸,“小家也可以住得不小”

特别值得一提的是,建面约99㎡还做到了独立玄关+双卫配置,大大提升了业主的私密感

编辑

三开间朝南+全卧室带飘窗+客厅带宽面阳台,让阳光可以洒进室内的每一个角落,舒适度拉满

编辑

此外,入户玄关的设计既是家与外部的缓冲空间,也保证了主人的私密空间

编辑

建面约125㎡4房户型图▼

编辑

编辑

交通方面

作为9号线泗泾站新一代超级TOD,招商时代潮派与地铁商场直线仅约200米。

与项目同样价格的新房,目前距离轨交都有1-1.5km的距离。

不同的距离步行到地铁站的差距有多少呢?来看百度地图的测距:

编辑

数据来源百度地图,以实际为准

换句话说,如果如果您住在距离地铁站1km以外的小区,同时出门的情况下,您刚到地铁站,招商时代潮派的业主已经坐地铁抵达闵行七宝站。

尤其是在夏日、冬季或是大雨的天气下,这样快速接驳地铁站的优势,让无数打工人羡慕。

产业方面

9号线,上海东西走向的烫金大动脉,这条轨交的含金量在上海,可谓是数一数二。

首先,这条轨交汇聚了上海东西最重要的两大产业:漕河泾&金桥。沿线还有徐家汇、世纪大道等顶级CBD。

其次,这条轨交汇聚了上海众多顶级商业,包括七宝的万科广场、徐家汇的港汇恒隆、新天地的凯德晶萃广场以及世纪大道的陆家嘴中心和世纪汇广场。

编辑

数据来源百度地图,以实际为准

顶级产业+高端商圈,为整条9号线带去了非常出众的出行便捷度。

尤其对于招商时代潮派而言,3站七宝、6站漕河泾、9站徐家汇的便捷度,超过同级别太多。

编辑

数据来源百度地图,以实际为准

以徐家汇为中心,12-15站能够抵达的区域,一般都是约550-600万级的板块。

而对于招商时代潮派而言,9站即徐家汇,项目总价仅约500万起,这样的通勤效率和地段优势,高出同级别太多。

售楼处电话:400-1789-208(已认证)

招商时代潮派营销中心热线:400-1789-208(欢迎致电)

招商时代潮派售楼处预约电话:400-1789-208☎☎☎如有问题可来电咨询,预约销售专员,一对一为您服务!

全部

相关资讯

报名成功
稍后会有专业的置业顾问联系您
返回楼盘

频道导航

返回首页

看房小程序

APP下载

电话拨通后,请您手动拨打分机号

确定拨打电话

电话号码:

分机号:(可能需要拨分机号)