深嘉上府
售楼处电话:400-818-9938(已认证)
深嘉上府
营销中心热线:400-818-9938(欢迎致电)
售楼处预约电话:400-818-9938


2025/7/17
嘉定芯 同济旁
「深嘉上府」加推待认购
212套建面约68-99 ㎡1-9房
7月12日已过会均价35839元/㎡
售楼处线上火热预约中!

看土拍市场,今年3月初,嘉定新城F03A-4地块出让,经过49轮激烈竞拍,溢价率30%封顶成交, 楼面价高达31850元/㎡。而它旁边的地块楼面价才2.3万/㎡,这样的跳涨幅度无疑是惊人的。
此刻,于手握刚需预算的购房者而言:时机不等人!如果不想错过行情,未来多付上百万的真金白银,当下嘉定入市的新房必须强烈关注起来。
「深嘉上府」从价格上来看,是当下无可争议的性价比之选,只要300万起就能上车一套精装三房!要知道,往前两站的嘉定新城新房将要卖上6万+/㎡!

层层因素叠加,这才是刚需逆天改命的封神级性价比!
「深嘉上府」示范区&样板间已正式开放,实力雄厚的国企钜制,推出精装三房爆款小户型,年轻人在上海的第一套房子,不容错过!

嘉定芯 同济旁,片区内综合体项目「深嘉上府」正式开放示范区&样板间;国企钜制+全屋精装;加推212套建面约68-99 ㎡1-3房;总价约300万起!7月12日已过会均价35839元/㎡,售楼处线上火热预约中!
⬇️专业销售一对一咨询⬇️
耐心等待官方VIP客户经理回电

精装交付,中央空调、地暖、新风三大件一步到位,连洗碗机、凉霸也标配入户,首开优惠还有大惊喜!首开价格诚意满满,优惠价格直接就是备案价格的95折!
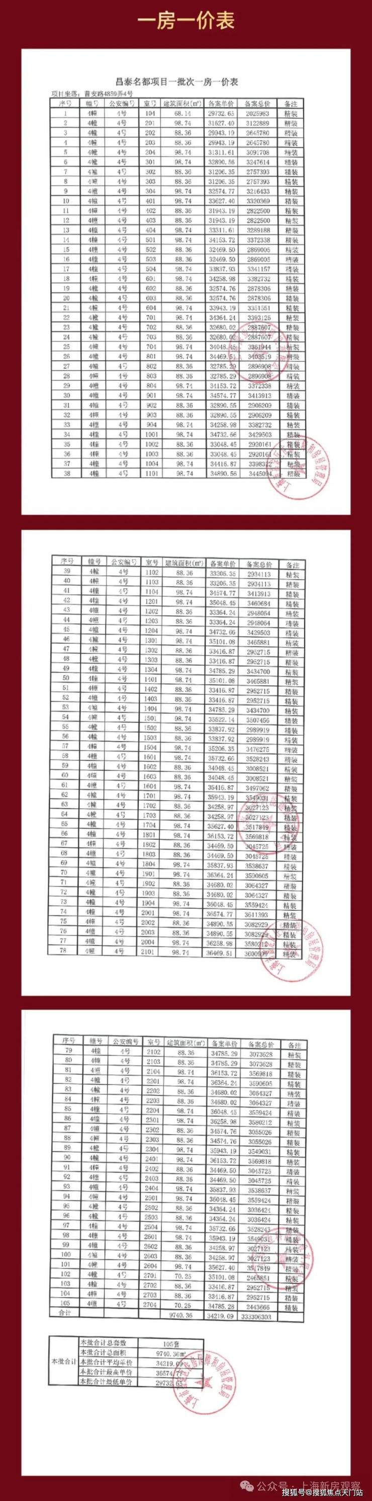
上期一房一价表如下:


⬇️专业销售一对一咨询⬇️
耐心等待官方VIP客户经理回电
仅有四栋住宅一字排开,享受开阔全景视野与充足采光。在样板房的设计上更以自然雅居理念的落地,选用的 艺术纹理瓷砖、实木多层地板、墙布、窗材及钢板等,不仅饱含艺术元素,同时也有很强的耐磨抗蚀特性,具备持久耐用性。

在精装硬件上,匠心臻选优质品牌和材质。配置日立中央空调、地暖、新风三大健康系统,打造舒适宜居的室内环境;全屋采用LED光源,搭配智能家居与智能门锁,提升生活的便捷与高效;厨房则配备油烟机、燃气灶、橱柜、洗碗机四件套,充分满足居家烹饪的品质需求。细节之处尽显匠心,只为呈现更高品质的理想生活。(仅供参考,具体以实际交付为准)

深嘉上府以88-99㎡的明星爆款小户型,圆年轻人的置业梦想。其中,88㎡户型以三房两厅一卫的格局,兼具功能性与尺度感。南向三开间,做到两间卧室朝南,这样的面宽,媲美市面上100㎡户型的新房尺度。u字形的厨房,动线合理。餐厅空间,能够从容摆放一张四人大餐桌。全屋飘窗设计,将赠送空间拉满。

U型厨房动线合理,洗菜、切菜、炒菜一气呵成,最惊喜的是全屋飘窗,附加值和功能性拉满!甚至浴室都附带飘窗,洗完澡坐在飘窗上敷个面膜,惬意满分!北房间可作书房或儿童房,兼具功能与成长性!


建面约99㎡的三房两厅两卫,很适合一家三口的上车作品。三开间朝南,南北通透,动静分区,户型方正。全屋飘窗,扩大实用面积,节省置业成本。主卧采用套房式设计,满足业主的私密性需求。户型内空间充分利用,整体尺度感超过同面积段的市面上产品。



在看不见的细节里,用尽所有认真。13大项97小项的精装考量,18项户内工艺、17项园林营造、6项外立面构造、7项公共区域细节,深业华东以全维体系雕刻每一寸空间,用看得见的品质,兑现看不见的用心。

深嘉上府,由深圳市人民政府全资拥有、深圳市国资委直管的大型综合性企业集团——深业集团开发打造,集团前身于1983 年在香港注册成立。
2021年12月和2022年6月,两次摘下上海嘉定地块深业深安上居、深嘉上府,双星耀嘉定开启在上海的战略布局。深安上居首开热销8成,二期去化表现同样优异,只剩少量房源。「深嘉上府」作为深业集团进入上海打造的首个“府系”综合体项目,升级之作,强势来袭!

作为整个嘉定独一份的 “全能型综合体选手”,深嘉上府不同于功能单一生活产业都需要仰仗区域规划的住宅社区,TA在一个项目体内实现了住宅、商业、办公的一站式整合!
项目整体宛如一个微缩城市,能够轻松构建 “24+1 时”生活圈,在家门口就能实现“24 小时不打烊”的快乐!

约1万㎡自持商业+5.1万㎡商办,下楼就是网红咖啡店、宝藏小馆、精品超市,遛个弯的功夫就能搞定早午晚餐和溜娃娱乐!早上被楼下飘来的咖啡香唤醒,下楼买杯生椰拿铁配可颂当早餐,地铁站就在家门口,不用着急赶,安心吃完再上班!
外立面上,采用玻璃幕墙+顶部金色格栅塔冠设计,四栋住宅一字排开,户户朝阳享受开阔视野与充足采光的居住体验。

丰富的洄游动线,项目拥有中央花园、为儿童量身定制活动区、全龄运动场、林间密径、架空层空间等,应有尽有。

首层与地下双重精装入户大堂,市区高端改善楼盘才有的配置,出入皆舒适从容,尽显归家礼序。

嘉定,作为五大新城中最为宜居的地方,在过去十年间,人口增速约24.68%,稳居全上海第一。它的成功,一是离市区比较近,另外一个就是产业发达。

安亭,作为中国汽车第一镇,是嘉定建设世界级汽车产业中心核心承载区、打造世界智能网联汽车创新高地的主战场,嘉定汽车“新四化”布局的重中之重。(信息来源上海市嘉定人民政府官网)
目前, 安亭汽车产值已超3000亿元, 占上海全市汽车总产值超1/3;汽车“新四化”相关 总产值达900亿元;聚集各领域汽车产业链 企业1240家;全镇共有汽车产业链从业人员 约6.8万人。(信息来源组织人事报官方公众号2024年6月发布)

在“大虹桥” 最新的规划草案中, 安亭正式被纳入大虹桥范畴!
而作为大虹桥版图中的房价洼地和对接长三角的关键节点,资源、人口的涌入,只是时间问题,安亭区域价值的腾飞可以预见,现在上车正当时!
随着区域规划的升级,安亭从交通到产业的硬件配套也正迎来全面蜕变!
就以地处安亭核心的深嘉上府为例,现有地铁11号线坐几站就能到嘉定新城,并直通上海市区!
而规划中的14号线西延伸线(预计2026年动工),更与项目直线仅约 300 米,通车后可高效对接大虹桥,且45分钟直达陆家嘴,实现新城置业中罕有的双轨高能配置!

同时,片区的交通也将迎来大跃升:以安亭北站、安亭西站为核心的安亭枢纽,是打通长三角一体化和虹桥国际开放枢纽的链接通道,在上海2035规划中,宝嘉线、嘉青松线即将启动,嘉安高速延展嘉定向东,与宝山互通。
轨交14号线西延伸(规划中),与轨交11号线合力形成大运量轨交服务扇面,构筑“上海市中心-嘉定-苏州”轨交一张网。
而项目与规划中的14号线,直线仅约300米!

项目东侧紧同济大学嘉定校区,在校师生规模超15000人。高教资源丰富,浓郁学府氛围,举步即享高校文体设施配套。周边有同济附属实验小学、中学,黄渡小学、中学,华东师范大学双语学校等全龄段教育资源,孩子可享受“家门口”的优质教育!(新房不承诺学区)
商业上,嘉亭荟城市生活广场、安亭财富广场、三德广场、中信泰富万达广场、嘉实生活广场汇聚,完全满足日常生活购物所需。

生态上,嘉北郊野公园、安亭汽车博览公园、远香湖公园、嘉定紫藤园,还有市民广场、保利大剧院、安亭老街、颖奕安亭高尔夫球场、州桥老街等丰富的文娱场所,陶冶精神,放松身心。

嘉定芯 同济旁「深嘉上府」加推建面约68-99 ㎡1-3房;均价35839元/㎡!
深嘉上府
售楼处电话:400-818-9938(已认证)
深嘉上府
营销中心热线:400-818-9938(欢迎致电)
售楼处预约电话:400-818-9938