建发联发青云上售楼处电话:400-936-9938(已认证)
最新消息,浦东曹路「建发联发青云上」正在热销中!推出建面约95/116㎡三房,总价约475-645万!
⛩项目名称:「建发联发青云上」
👑项目简介:浦东曹路 高品质住宅
🗣最新动态:正在热销中
📍区域板块:浦东曹路
🏠产品介绍:建面约95/116㎡三房,总价约475-645万
🛍️商业配套:中惠棠里、恒越荣欣广场
🚇交通配套:崇明线(在建中)
🏥医疗配套:曹路社区卫生服务中心、上海长征医院浦东分院(在建中)
1地段
曹路板块位于浦东新区的东部,与金桥、外高桥、唐镇相邻。这三个板块均是产业聚集区域,金桥开发区聚焦于三大产业——未来车、新通信、智能造,以浦东1/50的土地贡献了浦东1/4、上海1/15的工业经济规模;外高桥保税区是中国第一个保税区;唐镇北部为上海重点打造的金融信息服务产业基地。
从地块规划的信息来看,中小套户型的要求占比为60%;500万内的刚需小三房为主。
交通便利:地块距在建崇明线一期凌空北路站约1公里以内(步行约950米左右),待崇明线一期2026年开通后,通过换乘12号线可达杨浦、虹口、静安、黄浦、徐汇等核心区域,换乘9号线可直达陆家嘴,交通能级将大大提升;
此外,地块周边绕城高速、外环高速环绕,距离外环高速入口直线距离约3.2公里,驾车约15分钟。

示意图
周边配套:
地块3公里范围内各类配套齐全,生活便利,商业配套有中惠棠里、恒越荣欣广场等;

实景图
医疗配套有曹路社区卫生服务中心等;未来,还将新增一座三甲医院——上海长征医院浦东分院,预计将于2024年建成,届时医疗能级也将大幅提升。
效果图
教育方面12-01地块东侧在建幼儿园,预计2023年7月份竣工,15-01地块南侧在建初中和小学,预计2024年6月份竣工备案完成移交教育局开办,预计招生时间2024年9月(具体以教育局为准);
板块市场:
板块内目前无在售项目,板块内近年来唯一出让的普通涉宅地是距离地块3.4公里的招商璀璨城市,房地联动价45000元/㎡。该宗地块为商住用地,住宅面积5.1万方,占比30.9%;商业面积11.3万方,占比69.1%。
项目于去年7月首开,房价达到54000元/㎡,首开认购率178%,入围分67.59,2个月后加推,开盘认购率154%,入围分62.76,两次均开盘即售罄,热度极高。
2产品
地块名称:浦东新区曹路基地15-01地块四至范围:东至金拓路,南至15-02地块,西至金开南路,北至民秋路建设用地面积:23556㎡(35.33亩)规划建筑面积:47112㎡用地性质:住宅用地起始价:12.15亿元成交价:13.365亿元成交楼面价:28369元/㎡溢价率:10%竞得人:建发&联发房地联动价:51500元/㎡
根据出让合同显示,项目需配建5%以上的保障性住房,全装修比例50%,要求中小套户型不得低于住宅总建筑面积的60%,容积率2.0,限高50米,住宅套数下限496套,套均面积约95㎡!
据浦东新区官网显示,上海第二轮土拍上半场中,建发+联发拿下的15-01地块;
主卧套房
独立卫浴,尊崇惬意起居生活
三开间朝南
让阳光与清风 交织心灵的温暖
餐客厅一体化
扩容活动空间,延伸家居享受
样板间实拍图





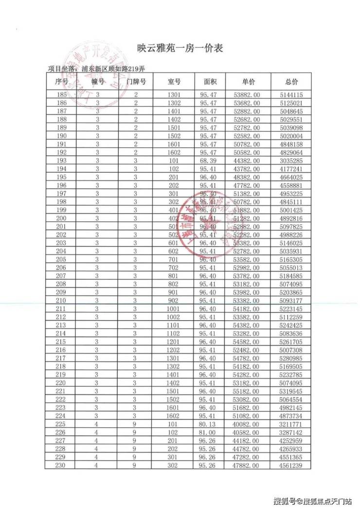
一房一价表


建发联发青云上售楼处电话:400-936-9938(已认证)