中国铁建·西派云间售楼预约电话400-118-3159
松江新城·滨水·学府旁
推出建面约125㎡-188㎡小高层
及建面约153㎡-158㎡4层叠墅
均价54026元/㎡ 总价约620万起
水幕瀑布+2000㎡会所+多阳台的标杆
售楼处线上火热预约

点击输入图片描述(最多30字)
样板房开放中
项目线上预约看房
售楼处电话400-118-
进入“中国铁建·西派云间”官方预约通道
案场销售会第一时间与您联系

点击输入图片描述(最多30字)
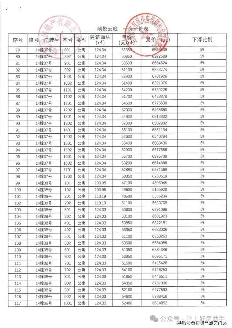
中国铁建·西派云间一房一价表:

点击输入图片描述(最多30字)

点击输入图片描述(最多30字)

点击输入图片描述(最多30字)

点击输入图片描述(最多30字)

点击输入图片描述(最多30字)

点击输入图片描述(最多30字)
项目基本信息
TOP西派4.0登场松江改善从此再晋级
西派系,中国铁建地产TOP级产品系,连续6年稳居“中国房地产产品品牌价值TOP10”,全国40余座标杆作品,从不是“复制粘贴”,而是“城市地标”的代名词。
2025年,西派系全面进阶——西派4.0,立派松江下一代里程碑作品。

点击输入图片描述(最多30字)
西派云间,不仅是西派系在上海首次呈现立体奢宅形态,更是西派墅首度落子上海。它萃集西派系精华,在松江新城核中核地段,打造双水岸生活流域,重新书写“自然与繁华无界共生”的人居脚本。
这不是买房,是占位松江未来十年的价值灯塔。
鼎新产品 三大颠覆力重构奢宅想象力
产品力即话语权,西派云间用三个“前所未见”,彻底击穿松江改善天花板。
首座双桥归家系统,从马路到秘境,随心切换
上海罕见“跨桥归家”,人车分流不止于功能,更是一场心境仪式。凌云桥与浮溪桥串联起“尘世—静谧”的过渡,桥下流水映天光,门前舟影纳福意。这不是回家,是每一次归心之旅的沉浸式开场。
首创中央车站式服务,车不动,人从容
项目颠覆了传统地库的冰冷印象,打造酒店式中央车站。以「中央车站」概念打造枢纽式空间,连通会所与庭院,实现高效通行与私密守护的平衡。让地下空间也成为「可社交的星级场所」,让归家,成为一场被精心编排的生活仪式。

点击输入图片描述(最多30字)
首个立体叠瀑系统,把自然叠进社区
约10米高差打造“折叠景观”,约1600㎡下沉水院中嵌入约1200㎡超大水面与三座瀑布系统。蓝水晶岩板铺底,跳泉灵动,亲水卡座环抱,搭配游艇级软包材质——这不是社区,是藏在城市里的“云间秘境”。

点击输入图片描述(最多30字)
双会所+全维场景圈层生活不再设限
真正的奢宅,不在于面积,而在于生活场景的厚度。西派云间以“双会所体系”为内核,打造外环罕见的全维高定生活场。
在这里,约2000㎡下沉式会所与约1000㎡泛会所共同构建一个闭环社交生态。你可以步入中西双厨私宴厅,在海派艺术氛围中举办一场私密宴请,中厨与西厨双区配置、环绕式生态造景与人造天光共同营造出都市隐逸绿洲。

点击输入图片描述(最多30字)
也可以在国际大牌健身主场中直面无界泳池,边运动边赏景,水吧区随时补给,打造层峰专属的运动社交场;更可以在双层挑空云间书吧中,整墙木质书架贯通上下,艺术吊灯点缀其间,幕墙引光入室,阅读不再是独处,而是与灵感对话的无界空间。
而无界泳池更是视觉焦点,西派专属艺术马赛克拼贴出松江文脉与国际审美,背景墙一抹“醉染枫林”红石,以石材的温润质感点亮整个水境氛围,让每一次畅游都成为身心沉浸的仪式。

点击输入图片描述(最多30字)
项目的西侧与南侧双面临河,拥有约400米滨河带。
一方面,这样的占位让这个社区拥有出众的水系景观。
另外一方面,由于这样独特的天赋。当市场仍在追求入户大堂的奢华,西派云间已构建“城市—河流—社区” 的三阶归家礼序。
独创的双桥跨水入户系统,凌驾于碧波之上,行人踏桥而过时,城市喧嚣被流水隔绝,归家的静谧与尊崇感油然而生。

点击输入图片描述(最多30字)
全奢尺四开间×纯改善四房 两大神户型首发
西派云间首发献市两大主力户型:建面约148㎡与建面约125㎡,以精准空间设计,将舒适与尊崇融入日常,为不同家庭提供适配的居住方案。

点击输入图片描述(最多30字)
作为改善旗舰户型,建面约148㎡以四房两厅两卫格局,实现四开间朝南极致采光。一梯一户配置打造私享阳光梯厅,兼具收纳与私密。餐客采用 LDKB一体化设计,作为“好房子”新规后首发户型,拥有约3.05米层高更显开阔。主卧配备270°环景飘窗(仅5#、10#楼边套),无敌视野,晨起赏朝阳、夜晚观繁星;独立衣帽间与全明双台盆主卫,尽显品质格调。

点击输入图片描述(最多30字)
中国铁建·西派云间建面约148㎡4房样板间实拍视频:
,时长02:11

点击输入图片描述(最多30字)

点击输入图片描述(最多30字)

点击输入图片描述(最多30字)

点击输入图片描述(最多30字)

点击输入图片描述(最多30字)

点击输入图片描述(最多30字)

点击输入图片描述(最多30字)

点击输入图片描述(最多30字)

点击输入图片描述(最多30字)

点击输入图片描述(最多30字)

点击输入图片描述(最多30字)

点击输入图片描述(最多30字)
建面约125㎡为松江板块罕见的四开间朝南三阳台户型,三开间卧室朝南,搭配多阳台与飘窗,采光通透。一梯一户同样赋予独享梯厅的尊崇体验。空间上,约3米层高营造大平层气场。横厅连接近10㎡朝南阳台,兼顾生活与观景;北向约3.85米面宽餐厅与厨房等宽,备餐时可与家人互动。主卧南向超大景观飘窗搭配全明主卫,北次卧约9㎡可灵活改造,满足多元需求。

点击输入图片描述(最多30字)
从产品力到生活场,从自然无界到圈层有境,西派云间不是在造房子,而是在立标准。它用实力宣告:外环之外,亦有奢宅鼎流;松江之芯,终有封面作答。
中国铁建·西派云间建面约148㎡4房样板间实拍视频:
,时长01:39

点击输入图片描述(最多30字)

点击输入图片描述(最多30字)

点击输入图片描述(最多30字)

点击输入图片描述(最多30字)

点击输入图片描述(最多30字)

点击输入图片描述(最多30字)

点击输入图片描述(最多30字)

点击输入图片描述(最多30字)

点击输入图片描述(最多30字)

点击输入图片描述(最多30字)

点击输入图片描述(最多30字)
项目区位配套
西派云间所在的位置,正是松江新城规划中真正意义上的 “核中核”——中山生态商务区。
这并非一个简单的区位名称,而是整个新城能级的集中体现:
定位上:这片区域被上海市政府 赋予了松江新城的三大示范样板区之一。
这本身就意味着它在市级层面被视为松江新城未来发展的 核心驱动力和形象展示窗口。
开发模式上:这里是上海首个明确提出并大规模建设的“生态商务区”,规划了约172万方的商业商办总量。
这个体量堪比前滩。

点击输入图片描述(最多30字)
旨在打造一个 高端产业集聚、生态环境优美、低碳智慧宜居的未来城市样板。

点击输入图片描述(最多30字)
落地速度和配套能级上:从五龙湖、万达、五龙商业广场到一梯队上外云间学校,中山生态商务区内的配套永远是整个松江最高规格的。
中国铁建·西派云间距离松江万达仅约850米,旁边还有五龙商业广场、三迪曼哈顿、富悦财富中心、凯悦酒店、中展马利来等众多商业资源。
目前已有的商业规模就已达约60万方,亲子、购物、聚餐、看电影...日常需求统统能在步行范围内得到满足,这个成熟度真的堪比市区。

点击输入图片描述(最多30字)

点击输入图片描述(最多30字)

点击输入图片描述(最多30字)
松江万达广场实景实拍
教育资源方面:项目约100米外一路之隔就是12年一贯制的上外云间学校。
软实力上,这所学校当初的建设总投资约8亿元,是松江迄今为止投资总量更大、设计标准更高、设施配套更全的学校。

点击输入图片描述(最多30字)
上外云间学校实景实拍
硬实力上,上外系的学校在松江几乎都是梯队内的标杆学校,实力之强有目共睹。

点击输入图片描述(最多30字)
除此之外,南侧不远处还有赫贤双语学校(原赫德双语学校),补充了国际教育需求。
(预售房屋不划分学区,项目周边学校等教育资源的介绍仅为提供相关信息参考,开发商不对项目交房后所属学区、学校做任何承诺,教育资源分配或学校/学区划分以及学校的具体招生规则等请以政府相关主管部门、教育机构公开的最新信息为准。)
生态资源方面:项目步行范围内就有一座五龙湖公园,约16公顷的广阔面积,与约5.9公里的绿道长度相得益彰。
湖畔风光旖旎,很适合早上晨练,晚饭后散步,居住环境优美。

点击输入图片描述(最多30字)

点击输入图片描述(最多30字)
五龙湖实景实拍
轨道交通方面:从项目出发,经T2电车直达9号线松江大学城站。上车后,业主6站七宝、9站漕河泾,并且能轻松畅达徐家汇、打浦桥等浦西区域。

点击输入图片描述(最多30字)
除此之外,1站就能换乘即将通车的12号线西延伸段,即可畅达莘庄、徐汇滨江、南京西路。

点击输入图片描述(最多30字)
自驾方面:距离项目直线约900米的沪松快速路,预计2028年通车。

点击输入图片描述(最多30字)
这条快速路链接着通往市区的外环、中环以及漕宝路快速路;通往虹桥以及闵行南部的嘉闵高架;还有直插浦西腹地的烫金大动脉延安高架。
未来,沪松快速路+漕宝路快速路+中环/外环去往前滩、世博;
沪松快速路+外环+延安高架去静安寺、南京西路等浦西核心;
沪松快速路+嘉闵高架直通虹桥机场。

点击输入图片描述(最多30字)
样板房开放中
项目线上预约看房
售楼处电话400-118-3159
进入“中国铁建·西派云间”官方预约通道
案场销售会第一时间与您联系