(陆家嘴锦绣澜湾官方售楼处) 电话 - 陆家嘴锦绣澜湾售中心 - 户型 - 价格 - 地址 - 楼盘详情 - 配套 - 电话 - 售楼处位置 - 配套 - 电话 - 交房时间

搜狐焦点天门站

2026-03-12 17:20:00

购房群

买房如何避坑,加入购房群,看看他们怎么说

立即进群

陆家嘴锦绣澜湾售楼处电话☎:400-866-9938【预约☎】

最新消息,18号线旁低密墅区滨水住宅!「陆家嘴锦绣澜湾」正在热销中!在售建面约89-127㎡三房!

⛩项目名称:「陆家嘴锦绣澜湾」

👑项目简介:浦东航头品质住宅

🗣最新动态: 正在热销中

🏠产品介绍: 在售建面约89-127㎡三房

🛍️商业配套:苏航生活广场、咸塘小镇商业步行街

🚇交通方面:18号线航头站

🏫周边学校:尚德实验学校(航头分校)、航头学校、下沙学校

1地段

交通方面,陆家嘴锦绣澜湾距离18号线航头站约1.6km,周边步行可达的范围内,商业步行街、生鲜超市、卖场、公园等配套完善。

教育方面,周边有尚德实验学校(航头分校)、航头学校、下沙学校等,学习氛围浓厚。

商业方面,项目周边有苏航生活广场、咸塘小镇商业步行街,往南600米为航头镇文化中心和人口文化风情园。

2产品

项目基本信息:

2022年7月25日,二批次土拍,上海祝湛建设发展有限公司(陆家嘴)以底价316580万元竞得浦东新区航头镇商贸中心单元(PDS1-0203)A2A-06、A2B-04地块,房地联动价4.83万/㎡!

项目总投资约50亿元,将为航头镇提供约1300套高品质商品住宅,计划于2025年10月竣工交付。

「陆家嘴·锦绣澜湾」位于浦东新区航头镇航头商贸中心单元A2A-06、A2B-04地块,东至A2B-03地块,南至航潭路,西至A2A-05地块,北至A2A-05、A2B-03地块。

项目占地面积约6.9万平方米,总建筑面积20.5万平方米,其中地上建筑面积13.9万平方米,地下建筑面积为6.6万平方米。

项目效果图

样板间实拍图

项目户型图如下:

项目最新实景图如下:

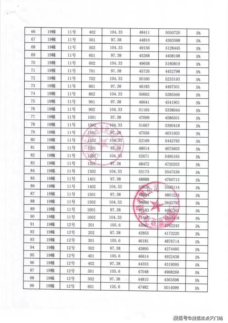
一房一价表:

陆家嘴锦绣澜湾售楼处电话☎:400-866-9938【预约☎】

全部

相关资讯

报名成功
稍后会有专业的置业顾问联系您
返回楼盘

频道导航

返回首页

看房小程序

APP下载

电话拨通后,请您手动拨打分机号

确定拨打电话

电话号码:

分机号:(可能需要拨分机号)