招商臻境
售楼处电话:400-818-9938(已认证)
招商臻境
营销中心热线:400-818-9938(欢迎致电)
售楼处预约电话:400-818-9938


浦东三林板块 改善TOP选择
距前滩直线约5km+泳池+会所
「招商臻境」加推待认购!
96套建面约84-148㎡高层&叠加
豪华泳池会所 追光式奢石地库
7月12日已过会均价68668元/㎡
售楼处线上火热预约中!

2023年10月11日,上海第三轮土拍首日中,招商以总价738626万元成交该项目地块。三林环外地块紧邻浦东三林软件园和中国电信园区,西面浦锦、东面康桥,南面周浦, 联动价7万/㎡,高于周边的康桥新房海上溪云的6.6万/㎡。

这个区域断供很久了,需求一直得不到释放,预计会是个热盘。择址黄金中环前滩南三林板块、距离前滩直线仅约5KM,招商蛇口上海首座臻系作品【招商臻境】展厅已开放!

二期楼栋示意图


浦东三林板块 改善TOP选择【招商臻境】前期数套建面约145m²上叠,总价1080万起;135户型售罄,103户型只有17楼及以上房源,总价670万起!「招商臻境源上」二批次推出建面约84-148㎡高层&叠墅;7月12日已过会均价68668元/㎡!售楼处线上火热预约中!
⬇️专业销售一对一咨询⬇️
耐心等待官方VIP客户经理回电
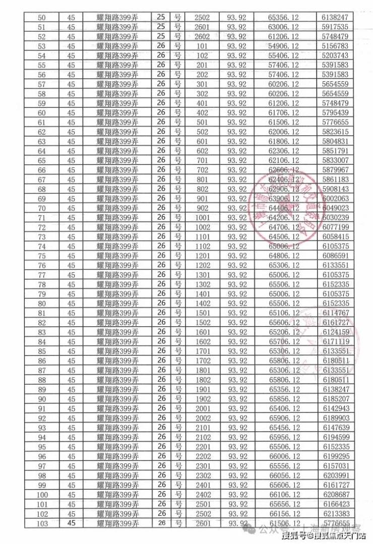
上期一房一价表如下:






⬇️专业销售一对一咨询⬇️
耐心等待官方VIP客户经理回电
高层户型图:



⬇️专业销售一对一咨询⬇️
耐心等待官方VIP客户经理回电
叠拼户型图:




⬇️专业销售一对一咨询⬇️
耐心等待官方VIP客户经理回电
叠墅样板间部分谍照曝光:









招商臻境的面世,将为购房者带来真正的五星级酒店式入住体验,三林板块的城市界面,就此重塑。招商臻境,为业主打造了五进式归家礼序,七维六巷景观分布其中,开启静奢园林生活方式。

社区理应是维系人与人之间情感的纽带。而在招商臻境的产品打磨上,社区就充分担当了这样的角色。社区配置上,项 目为业主打造了一所约1500㎡的高端会所,搭载约500㎡泳池区域,从地下就可以直接进入,vip式的礼宾台,尽显高端:

高端会所,将为业主提供丰富活动场景:
1.约500㎡酒店式泳池区域,在忙碌的工作之余,回家来一次无拘无束的自由泳,饱览这一方泳池之外的满园春色,无需远行,随时畅享休闲度假模式



项目会所实拍图
事实上,在豪宅圈一直有一句话,“无会所,不豪宅”,会所是豪宅的标配,而泳池更是会所的标配。在外环,配置泳池会所的商品房项目,屈指可数,上海星河湾、颛桥紫薇花园……虽然在外环,但这些配备了泳池会所的楼盘,都是一线豪宅标准。招商臻境这样的泳池会所配置,妥妥的豪宅标准!
2.搭载大落地窗环模设计的健身房,在欣赏窗外景色的同时,高端的健身器材,丰富的健身配套,都可以满足业主日常的健康所需;
3.下沉式庭院,通过乌桕树、溪流构建一处安静的栖息之境,业主可在这里尽情放空。

项目景观示意图,仅供参考
除此之外,住宅楼宇下设置了主题架空层,设置丰富业态。业主可以相聚在这里品茗交流,弈棋打牌、栽花抚琴,丰富业主生活;

项目架空层示意图,仅供参考
也可以在这里喝杯咖啡,商务会谈,或读一本好书,放松心灵;

项目架空层示意图,仅供参考
孩子们更可以在这里找到自己童年的玩伴,明亮的主题色,给予孩童趣味玩乐的成长空间,更配置了家长看护区,让孩子安全放心成长;

项目架空层示意图,仅供参考
而终于来到我们的单元楼之后,地上与地下双层入户大堂,再次体现尊贵。驾车进入“追光”坡道,香槟金色吊顶,加上穹顶闪耀,进入精装大堂,绚丽的氛围感和高级感直接拉满!




项目地下车库效果示意图,仅供参考
精装地下大堂,开阔挑高设计,配置自然采光井,设置专属等候区,如同酒店式的首层大堂,极尽礼宾仪式。

项目地下大堂过程图,仅供参考
精装地上大堂,地面的石材拼花造型,墙面的石材背景,将静奢海派的艺术展现的淋漓尽致。

项目地上大堂过程图,仅供参考
为了丰富业主们的日常生活体验, 招商臻境打造了7大生活场景,可供全龄业主休憩与活动。街角花园,用丛生的乌桕、冬青等,构筑社区外的口袋花园,消弭了社区与外部的边界感,哪怕是在小区之外,也有绿地丛生,饭后绕着小区散步,闻着桂花浓香,加上悠悠的迷迭香,心神愉悦。

即便不是小区的业主,也会对招商臻境,心存向往。 摩登水院,华灯映入水池,映出池底黑金沙的金光色,雍容华贵。


项目效果示意图,仅供参考
下沉花园,打造约8.5m宽观景亭,亭外是苍苍乌桕,秋后丹红一片,业主们可在这里聊天赏景,喝茶小聚。国际象棋雕塑打造的棋牌休闲花园,搭配紫薇、香橼、朴树等高大的灌木,营造一处林下的闲适空间。
炎炎夏日,树影婆娑之下,自有一丝清凉,在这里弈棋、打牌,再适合不过。

项目景观示意图,仅供参考
由香樟、迷迭香、夜来香等构筑的芳草花厅,缤纷色彩与清新芬芳相结合,为业主提供野餐、放风筝等场景活动;

项目景观示意图,仅供参考
唱片花园为业主营造出了独属于老上海的浪漫,古典唱片机辅以银杏、香橼构筑的花境空间,是捧一本书阅读的好去处;
行星花园则是优秀的亲子空间,植物自习室、星球探险树屋、自由拓展乐园……家长带着小朋友认识植物、观察虫鸟,在自然中建立良好的亲子互动氛围。

整个小区大量栽种花卉,如紫薇、丹枫、乌桕、香樟、樱花、桂花等,移步异景,四时风光,园内尽享。一个集休闲、娱乐、商务、社交、艺术人文等功能于一体的社区,才能真正构建和谐邻里关系,打造高端生活圈层。

作为百年招商上海首发臻系进阶作品,这一次招商集21载深耕上海的开发阅历,从精研人居需求,以“静奢lifeDeco”为规划语境,重塑顶层生活逻辑,将对城市生活的思考全然凝练于此。多元化产品及生活范式,为三林臻启都市新生活。

项目西侧即为规划楔形绿地,未来出门就能享受绿地公园。招商臻境凭借独特的地理位置,集合世界的潮流、高阶的烟火气,在这里毫不违和地交织更迭,绘就都市中的极致繁华,也为时代主角成就了一片难得的矜贵生活圈。


「臻」系力作落子“前滩南、三林心”,可以说是上海城市发展的脉动之地,距离前滩直线仅约5KM,倚靠“金色中环发展带”,连着张江,牵着陆家嘴,自身拥有成片开发的雄厚资本。
从招商臻境出发仅需15-30分钟左右车程,就能轻松抵达前滩CAZ、小陆家嘴地区、张江高科技园,是当之无愧的高含金量宜居“后花园”。

上海买房一直有“东富西贵”之说,“富裕”的发展轨迹,先是一路向东,然后沿着陆家嘴-前滩奔腾而南。随着前滩CAZ的开发已近尾声,滨江核心段价值链需要一个新的承接区域, 这个区域沿着三林前滩向南延伸,“金色中环”两侧3-4公里的腹地就此成为前滩外溢的重要承载区。

根据项目建设需求:地块规划住宅下限1565套,地块要求一半全装修,中小户型比例为60%以上,装修集采标准为2500元/平。


根据项目规划设计方案,拟建11幢26层高层住宅、1幢25层高层住宅、2幢23层高层住宅、11幢6层多层住宅、5幢5层多层住宅,以及配套公建用房:12幢1层开关站、3幢垃圾房、4幢1层配套用房、2幢2层配套用房。

其中,07-04地块:拟建1栋26F保障房、3栋23-26F高层住宅、5栋5-6F多层住宅以及若干社区配套用房;
09-02地块:拟建1栋26F保障房、6栋26F高层住宅、7栋6F多层住宅以及若干社区配套用房;
08-03地块:拟建3栋23-26F高层住宅、4栋5F多层住宅以及若干社区配套用房;
三个地块均没有地上车位,全人车分流,社区内部规划有室外健身点、儿童游戏场以及部分架空层,09-02地块社区内部规划多了景观庭院、下沉庭院等类目。
项目位于浦东三林板块,属于环外区域,靠近康桥板块。北侧就是三林知名度比较高的三个项目:中海御景熙岸、绿地·香颂、保利·林语熙。林海公路东侧,是去年入市的华发仁恒海上溪云项目。

交通配套:地块位于距离外环线直线距离约1.3公里,距离林海公路直线约1公里。直线3公里范围内有轨交8/11号线。
商业方面:新达汇三林印象城、中房金谊广场等。
教育配套:上海市三林中学东校、上海市上南中学东校等(注:以上为周边现有教育配套,最终对口以交付后划分为准)。
医疗配套:上海市东方医院南院等;
浦东三林板块「招商臻境」加推建面约84-148㎡高层&叠墅 ,均价6.86万/㎡!
招商臻境
售楼处电话:400-818-9938(已认证)
招商臻境
营销中心热线:400-818-9938(欢迎致电)
售楼处预约电话:400-818-9938