中环桃源里 售楼处电话:400-8669-938(已认证)
中环桃源里 营销中心热线:400-8669-938(欢迎致电)
中环桃源里 售楼处预约电话:400-8669-938☎☎☎如有问题可来电咨询,预约销售专员,一对一为您服务!
编辑

「中环·桃源里」
将推建面约83-179㎡2-4房房源
限时活动买房送产权车位
实景示范区/商业样板段焕新开放恭迎莅临
兴趣伙伴可扫码预约登记参观
具体认购信息如下:
● 认购时间:2025年4月11日-2025年4月15日
● 认购金:50万元
● 开盘时间:4月22日
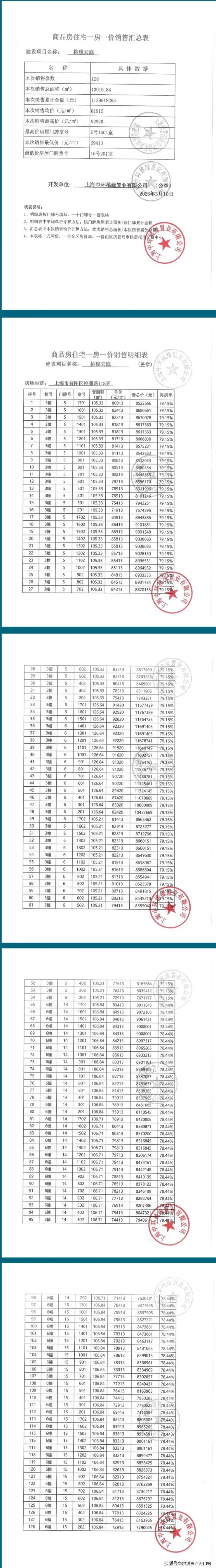
一房一价👇
«上下滑动查看»
编辑

项目信息
记忆点十足+细节满满 为改善群体量身打造的高定社区
如今市场上的改善项目,很多已经呈现明显的同质化特征:差不多的立面、差不多的园林、差不多的公共空间……
而中环桃源里却在方方面面记忆点十足,充分满足改善群体对于居住体验的高要求
记忆点1:更显年轻、时尚的极窄边框立面
编辑

一般改善项目,愿意用上铝板+玻璃组合,颜值就已属上乘, 而中环桃源里采用大面积玻璃+铝板,勾勒出极窄边框视觉效果,相比之下更加轻盈、时尚,更符合现代人审美。
编辑

记忆点2:“武装到牙齿”的精致细节
桃源里不仅远眺颜值出众,每一处细节都体现了精致感与仪式感,一个800w级的新盘,竟然还为入户单元设计了 昭示性景墙+专属入户铺装,而不是简单地把楼栋号安装在门洞之上
这样的配置,同样是很多市中心豪宅项目也不曾有的。
编辑

记忆点3:延伸至社区外的新桃源会客厅
绝大多数项目对于社区的理解,仅限于围墙以内,而中环桃源里,则将社区生活延伸到了围墙以外,项目在南北地块之间打造了 新桃源会客厅,既是社区与城市的缓冲带,也是业主们的 “第二客厅”,同时,也让这里成为了一片好逛的繁华街区,更具烟火气。
编辑

社区北地块还全冠移植一颗约 360年树龄的罗汉松,这样的大手笔,很多豪宅项目也不曾有,更令人印象深刻。
编辑

记忆点4:强调参与性,真正能玩的社区景观
不得不说,中环桃源里一直在挑战高难度,很多项目的社区景观,仅仅停留在好看;但中环桃源里在好看之上,还强调了可参与, 这其实非常考验项目后续养护和服务的能力,项目在地块中央位置打造了 “森林聚场”中央阳光草坪+会客廊架,让业主能在各景观节点驻足欣赏、社交,而且在中环桃源里,是欢迎业主们在草坪上放飞自我的,这里的草坪不再是一处简单的装饰,而是真正成为了“家”的延展,一处可活动的空间。
编辑

编辑

此外,整个社区还为不同年龄的业主“量身定制”了 全龄化活动空间,比如 “熊熊乐园”儿童主题活动区,就可以成为孩子们成长过程中美好的回忆,又比如通过架空层,实现长辈们的各类活动空间,值得一提的是,为了让大家无后顾之忧的享受园林,桃源里还细致到配备了 除尘雾森系统、驱蚊箱、宠物粪便收集箱、户外洗手池……
编辑

超配级品质+奢适空间上海中环改善头等舱
近年来参观过不少改善项目的样板房,中环桃源里无疑是其中更令我印象深刻的一个
上一个给到我类似深刻印象的,还是前滩如今20W+的三湘印象
两者不光是外在的质感,还是内部居住体验都很神似
编辑

为什么8W+的住宅,能给我20W+级的感受?
我认为很重要一点在于做产品的思路
很多项目对于做好产品的理解,是碎片化的:先找一个对标项目,然后在这里品牌用得好一点,在哪里把产品改进一点点,不仅对于居住体验的提升很有限,而且还容易顾此失彼,而中环桃源里却采用了一种系统化的方式——挑战更高的建筑标准。
中环桃源里采用了更为领先的建筑标准,是融近零能耗标准(10栋住宅)、智能建造(1栋住宅)、光储直柔(1栋商业)为一体的示范低碳项目
因而在选材和工艺上,有着明显的优势
比如在为了更好的视野与采光,中环桃源里做到了超大窗墙比,并且尽可能采用更大的整块玻璃,别处罕见的270°转角落地窗,在中环桃源里只是常规操作。哪怕是小户型的小房间,也有着足够大的窗户,带来更加通透、舒适的居住体验甚至连卫生间的窗,也是 “顶天立地”的设计,就是比其它项目更加明亮。
编辑

编辑

编辑

一般来说,更大窗墙比带来更多阳光的同时,却会导致气密和保温性能的下降
在更高的建筑标准要求下,桃源里不计成本采用了宽 约12CM的三玻两腔双LOW-E系统外窗,而且还是德国诺托品牌,气密性最高达到8级,全方位隔音降噪,保温性能极佳,关上窗简直有种住进“宇航舱”的体验。
编辑

提升一项居住体验的同时,又不会丢了另一项,这就是中环桃源里系统化打造高品质的巨大优势, 而这些其实还只是项目出众品质的冰山一角,项目的装标随便一项都是国际大牌,而且还是高端型号。
比如厨房,简直就是国际大牌的集中展示区, 铂浪高一体大单槽和抽拉式龙头;博世的灶具、吸油烟机、洗碗机,其中洗碗机容量比市面同级产品都要大;拥有直饮纯水功能的3M的末端反渗透纯水机,连很多项目根本不会配置的冰箱,也选用了利勃海尔,并且做了嵌入式处理,整体性更强,更加美观。
编辑

卫生间的配置也毫不逊色,甚至有过之而无不及, 马桶台盆甚至选用了奢侈品级的唯宝,其中主卫用的还是唯宝壁挂式智能马桶,龙头花洒都是科鲁迪的。
编辑

家中各种功能的操控集成在了霍尼韦尔智能面板上,让业主便捷掌控家中一切;
建面约166m²大户型客厅背景墙岩板和厨房的蒸烤一体机也都是交付标准。
编辑

桃源里不仅仅是将大牌们简单堆在一起,对于细节的严苛也是同价段少有的,光是一扇入户门就体现出了远超同价段的讲究,不仅气密性比一般项目更好,而且宽度达约1米,比常规项目要宽约10-20公分,仪式感更强,也更方便搬送大件家具,而门背后的收纳柜,还科学安排了收纳功能:无论是女主人的包包、首饰,还是各种鞋类,乃至扫地机器人等等都合理安排的位置。
编辑

甚至,中环桃源里还有很多你连看,都完全看不到的工艺,虽然会花费更高的成本,但为了居住更舒适,开发商却一样也没落下,比如 组合式外墙保温、空气源热泵系统、霍尼韦尔全热回收新风系统、天氟地水多联式中央空调+地暖两联供系统……
本次更有小户型和终极改善户型入市,本批户型图如下: 随着中小套型的调整,未来上海楼市70/90户型会越来越少,以后更多的可能是110㎡+户型。
编辑

那项目建面约83㎡就格外臻稀,是市场难得的“入门级豪宅”,放眼整个中环区域,总价非常温和。
且放眼上海市场中的小面积户型,项目是少有的装修高达4000元/㎡的项目。
从格局上看,客餐厅一体化,动线流畅, 两卧也均带飘窗。
建面约106㎡,得房率高达约78%,做到了真正的正三房空间, 客厅面宽达到 约3.45米, 开放式可视厨房设计,搭配南向大面积阳台,打造开阔的一体化家庭公共活动空间,整体居住体验明亮开阔。建面约166㎡的宽奢四房设计 ,南向4.5开间设计 ,在大横厅设计的同时做到了餐客厅空间独立,将每一寸空间妥帖利用。
编辑

编辑

编辑

编辑

编辑

编辑

编辑

编辑

编辑

编辑

板块信息
中环·桃源里 位于桃浦智创城国际化生态示范区。
编辑

国际创新之城 引流普陀升级
桃浦智创城,普陀十四五“一带一心一 城”规划重点区域,依托上海中环线,定位打造上海西北中心城区具有引领性的现代化城区,建设成为:“上海市转型发展的示范区、西北中心城区的新地标、产城融合发展的新亮点、上海科技创新中心的重要承载区”。
磅礴开发势能 超越前滩徐家汇
编辑

桃浦智创城整体规划面积约 7.9 平方公里,规划约117 万方高端住宅,约 207 万方商务办公、 约 76 万方科研用地,约 100 万方中央绿地,城市发展势能,磅礴可见。
百万方中央绿地 都会生态封面
约100万方规模中央绿地,作为智创城区域转型升级的重要载体,参阅纽约中央公园为规划蓝本,由享誉国际的设计事务所 美国JCFO操刀规划。一期约50万方已建成开放,都会绿芯式鲜氧生活此刻即享。 国际教育资源 赋能文脉升级
编辑

上海安生学校、上海儿童基金会幼儿园、上海外国语大学附属普陀学校等高品质教育资源环伺,项目配建幼儿园近在咫尺。 一环两轨交通 速达市区中心
编辑

板块交汇 11 号线、15 号线、近邻中环,车行与公共轨道交通皆可快速抵达人民广场徐家汇等板块,与上海中心区域无界共融。潮流购物主场 都会时尚领地
编辑

桃浦湾(TOP智创 A地块核心商业 -TOP ONE )、桃浦星品荟、白丽生活广场等品质商业在旁,另有大宁、真如、长风商圈环伺,多维购物体验一站式满足。
编辑

多维医疗配套 守护家人安康
德济医院、天佑医院、上海西部区域医疗中心(规划)、国华人寿上海普陀康养中心(约7亿投资在建)在旁,高品质医疗体系,守护安康。 国金体育中心 全维悦动身心
编辑

桃浦智创城冰上运动中心(国金体育中心),总面积约2920㎡, 拥有真冰滑冰场、游泳馆等数十大专业运动场地,全新运动潮流打卡地于此新生。
编辑

2月19日上午,普陀区2025年重点项目开工仪式在桃浦举行。
上外附属桃李未来实验学校(暂定名)学校地处桃浦智创城核心区内,规划建设用地面积约34219平方米,总建筑面积约66475平方米,由普陀区人民政府与上海外国语大学合作办学, 计划建设一所具有实验性、探索性、示范性的九年一贯制学校,进一步推动普陀基础教育提质扩优,优化重点地区教育资源配置。上海外国语大学是中华人民共和国成立后兴办的第一所高等外语学府,为教育部直属重点大学,主管部门为中华人民共和国教育部。
编辑

上海外国语大学旗下附属学校,每一校皆名校。例如:上海外国语大学附属外国语学校,是周恩来总理亲自批示成立的七所外国语学校之一,直属教育部,被誉为“培养外语外交人才的摇篮”:上海外国语大学附属大境中学,是首批命名的上海市实验性示范性高中、上海市二期课改实验基地学校,并且是上海外国语大学优秀生源基地。
援引普陀区政府官方资料, 上外附属桃李未来实验学校定位国家级义务教育教学改革实验学校”与国家级教学成果推广学校”;
援引桃浦智创城官方微信,为进一步推动上外附属桃李未来实验学校落地发展,学校将由 国家教育系统先进工作者、上海市教育功臣、上海市特级校长,享受国务院特殊津贴的朱乃楣担任校长。
中环桃源里 售楼处电话:400-8669-938(已认证)
中环桃源里 营销中心热线:400-8669-938(欢迎致电)
中环桃源里 售楼处预约电话:400-8669-938☎☎☎如有问题可来电咨询,预约销售专员,一对一为您服务!
编辑
