海上·清和玺
售楼处电话:400-1789-208(已认证)
海上·清和玺营销中心热线:400-1789-208(欢迎致电)
海上·清和玺售楼处预约电话:400-1789-208☎☎☎如有问题可来电咨询,预约销售专员,一对一为您服务!
每一次土拍,大多地块都在溢价成交,尤其是内中环成交楼板价最高涨幅高达48%。
其中,静安一幅地块楼价就高达16.2万/m²
不只是从业者,包括购房者普遍都感受到了房价(新建商品房)上涨的信号。
最引人猜想的,莫过于内中环,徐汇滨江未来售价或站上20万/㎡,新杨思未来售价或站上12万+/㎡…
绿城新房前两天有放风价出来,预计均价接近约20万/㎡。
东安新村地块协议出让,可售商品住宅楼板价约13.3万/㎡,预计售价约20万/㎡+。
云锦东方的24套别墅产品,预估售价甚至远超约20万+。
2025年新房价格压不住了,真的压不住!
上海不缺房子,缺的是好房子。
究竟什么样的房子,才是真正值得购买的“好房子”?
答案或许因人而异,但核心要素始终离不开2大关键点: 品质与地段。
编辑

地段毋庸多言,绝大多数人心中,买进上海市中心就是人生的终极目标。
但随着新房豪宅化,置业门槛不断增高,如今预算千万级基本上买不到什么好地段的豪宅产品。
好在当下,以千万级预算撬动更好地段、更高产品力的机会,来了!
作为目前徐汇在售的新盘,【海上-清和玺】,三期火热认购中!
编辑

2024年12月29日,海上·清和玺二批次再次热销全城!
短短1个月时间,从首开日光到此次圆满二开,累计热销48亿,再一次以卓越产品力领衔徐汇。
海上·清和玺此次开盘, 177m²户型单价超13万房源全部售罄,其中最贵的一套认购金额超过2300万(单价约13.41万/㎡)在开盘1分钟内被选,可见十年新玺的品质实力!
实力的背后,源于持续对徐汇产品力的引领与思考。
自项目实景展示区“清和贵雅会馆”开放,前所未有的经典产品设计迅速在全网实现高热度的关注,各界关注人士莅临品鉴,形成了独有的“清上·清和玺热度”。
能在如此短暂的时间内,实现热销的达成,更是源于十年新玺品质的认可和青睐。
编辑

编辑

编辑

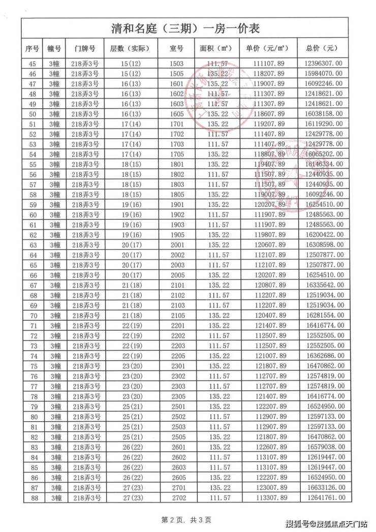
项目三期4月27日开盘,当日去化80套+,去化率约80%!
推售建面约112-120-135㎡3房
过会均价112800元/㎡,总价1016万起
编辑

不管是多功能会所的规划效果、还是创意展示空间的实景呈现,都带给人很强的视觉冲击力!
项目会所效果图,仅供参考
编辑

编辑

编辑

编辑

编辑

编辑

编辑

编辑

户型图赏鉴
编辑

编辑

编辑

编辑

编辑

编辑

招商在以往的成功经验基础上,调研了大量客户需求,为户型设计带来重磅升级:
项目舍弃了传统逼仄的百平三房,将最小面积提升到了建面约112㎡,而这12个平方的提升,让整体户型的空间尺度感达到了新的高度。
在户型细节方面, 全系高层户型,配置S墙。把传统直墙做成弯的,为相邻两户创造出了额外的凹槽空间,扩展了收纳。
这是一个非常巧妙的设计,比如将冰箱塞入这个凹槽,从而释放厨房的冰箱空间,延伸灶台的面积,或者可以做岛台...
而在 建面约134㎡ 3房,配置了主卧套房,更是配置了270°环幕级景观飘窗,正如同全面屏一样,带来IMAX级的宽幕视野!
在细节装标方面,我们来看创意展示间(仅供参考,最终交标以买卖合同以及实际交付为准):
通室整体选择了全新升级的奢石、奢板、奢皮、奢镜混合搭配,将静奢海派的艺术感展现的淋漓尽致。
入户空间, 配置精装铸铝门,定制5合1门锁,点缀以奢石把手。
玄关位置地面 采用石材,个性化的logo拼花,尊崇感十足,配合定制玄关柜,柜内交付有除臭精灵,功能性与颜值,双双拉满。
编辑

创意展示间实拍,非交付标准
厨房方面, 水波纹玻璃+金属造型玻璃移门,隐形上轨,厨房交付 线性凉霸、末端饮水、博世或AEG(或同等品牌) 烟灶、洗碗机三件套。
编辑

创意展示间实拍,非交付标准
划重点,项目同样交付 AEG或博世(或同等品牌) 内嵌冰箱,厨房配置一应俱全。
编辑

创意展示间实拍,非交付标准
客餐厅方面, 电视背景墙采用卡慕白石材+皮革,均为交付标准;地面采用简一(或同等品牌)的 900*1800仿石砖,密拼施工,几乎看不到有任何缝隙——相信有装修经验的小伙伴一定知道,这种大砖的价格和这样的密缝工艺成本有多高!
编辑

编辑

创意展示间实拍,非交付标准
主卧大套房设计,拼花实木复合地板,更显海派风味。
编辑

创意展示间实拍,非交付标准
卫浴方面,地面及淋浴区,全部选用石材,墙面的 公主白玉岩板,温润暖色调,质感非凡。
唯宝(或同等品牌)台盆、主卫 科勒(或同等品牌)复古龙头、 高仪(或同等品牌)智能马桶、奢石台面、镜柜美妆冰箱、线性风暖……每一个细节,招商都为业主考虑到了。
编辑

创意展示间实拍,非交付标准
新玺系的品质,仅在室内这一项,就已经体现得淋漓极致,而视野转到室外,更是从不让人失望。
项目信息
海上清和玺由两幅地块组成,(徐汇长桥xh315-10地块、xh313-16地块),项目四至范围:东至龙川路,南至罗香路,,西至长桥路,北至地块边界,临近中环高架!
编辑

其中xh315-10地块为三类住宅组团用地(90%)、社区级公共服务设,施用地(10%), 总用地面积约36686.38平方米,容积率3.12,限高100米,总建筑面积约172234.10平方米,地上计容面积约114461.51平方米, 其中商品房面积约101062.94平方米,规划住宅套数835套。
xh313-16地块为三类住宅组团用地(57%)、四类住宅组团用地(16%)、社区级公共服务设施用地(27%), 总用地面积约3000.12平方米,容积率3.17,限高60米,总建筑面积约12282.28平方米,地上计容面积约9510.38平方米, 规划住宅套数91套。该住宅应该是作为保障房使用。
编辑

根据设计方案显示,项目拟建 7栋25至33层的高层住宅、4栋6至14层的洋房和1栋19层的保障房,可售住宅835套。
编辑

01、曲面流体建筑,定制徐汇的新美学标杆
正所谓颜值即正义,在这个看脸的时代,外立面很重要。
而海上·清和玺的外立面,给人的第一感觉就是:不愧是豪宅,外立面的审美表达也太高级了。
项目建筑效果图,仅供参考
编辑

项目提取徐汇滨江 流动线条,打造新城市曲面流体建筑 ,圆弧式转角背后即是对于艺术滨江的美学致敬。
香槟金色格栅塔冠与壁柱形成的形制立面,完美演绎“玺”系基因的精髓,尽显低调奢华的气质。
项目建筑效果图,仅供参考
编辑

阳台、飘窗、北立面连廊外侧极致 大面积玻璃搭配精致的层间 金属飘板,公建化立面既视感强烈,通透而雅致。
基座更是采用 大面积石材搭配 艺术玻璃及 古铜色金属窗框,辅以奢石、艺术等点缀,从上到下,处处皆是奢华质感。
不止是建筑设计,项目对于公区景观、会所的审美表达与细节呈现都十分高级。
02、新海派景观礼序,定制独特的艺术生命力
社区景观规划同样匠心满满,其以 “新海派丁香花园”为总规划理念,源自19世纪丁香花园的中西结合建筑风格,将海派风格再度创新表达。
项目景观效果图,仅供参考
编辑

双下沉式庭院、中央会客花园、儿童活动乐园以及带有 休闲舒适卡座、定制mini空间的谧静宅间花园等设计,错落有致,赏心悦目。
无论是日常会客,还是孩子玩乐,都能从容有度,自得其乐。
项目景观效果图,仅供参考
编辑

不止是空间的营造,项目在花木选材上也极其考究用心,选择如 红果冬青、羽毛枫、丛生朴树、丛生香柚等高观赏性的树种,只为给业主带来步移景异、四时不同的景观体验。
项目景观效果图,仅供参考
编辑

03、约2000平高定会所,定制尊崇的日常生活
更惊喜的是项目的高定会所,不仅体量大,在功能上也做到了创新升级,以超乎寻常的产品力,来匹配高净值人群的生活格调。
一起来感受一下有多惊艳
编辑

无边泳池,海派法式设计定制,璀璨星空顶搭配通透全景视野,宛如一件熠熠生辉的艺术藏品。
项目会所效果图,仅供参考
编辑

活力健身区,同样是法式定制,选择 沃特罗伦品牌健身器械(或同等档次品牌),不管器械健身、有氧训练,日常健身需求即可满足。
项目会所效果图,仅供参考
编辑

还有常规项目没有的 3D室内高尔夫,不仅是结合现代AI科技智能打造,且选择了 高尔夫尊(或同等档次品牌),为业主专属定制尊崇的休闲体验。
项目会所效果图,仅供参考
编辑

除此之外,还包括 私宴厅、瑜伽室、阅读角等多重功能,可满足业主多元化的休闲与社交需求,尽情享受身心的放松与愉悦。
编辑

项目会所效果图,仅供参考
编辑

在这之外,在海上·清和玺你还能看到更多充满高级感的审美表达、更多人性化的细节设计:
如为了保持地块的纯粹性,项目在社区规划上,将北侧界限相对用地红线整体退让,把 小区部分配电房规划到了围墙之外;
再如为了进一步提升业主的生活舒适度,项目特别配置了 无风雨归家连廊,巧妙地将室外空间与室内环境无缝衔接;
无论是晴天还是雨天,业主都能享受到一份从容与便捷,无需担心天气变化对归家之路的影响。
项目公区效果图,仅供参考
编辑

更贴心的是,项目的地库不仅配置了 地上/地下双入户大堂,而且地库还特别打造司机休息室;
同时还预留洗车房空间,配合项目高标准的管家式服务,如洗车(收费)、管家垃圾、快递、外卖上门收取等,全方位提升业主的生活品质。(仅供参考,最终物业服务内容以物业服务合同约定为准)
编辑

项目公区效果图,仅供参考
编辑

生活配套
交通方面:地块周边最近的地铁站是15号线罗秀路站,直线距离约650米,未来还有23号线龙瑞路站(在建中),直线距离约1.1km。
编辑

商业方面:地块周边有凌云天地、徐汇梅陇商业中心等;另外,距离南方商城和徐家汇商圈等大型商业中心约有4-6公里。
编辑

教育方面:地块周边教育资源非常丰富,包括被誉为“华育中学亲儿子”的上海四大名校之一逸夫小学、上海中学、华东理工大学附中、上海小学、徐汇实验小学、长桥中学等。
编辑

生态方面:地块周边有上海植物园、前滩体育公园、前滩休闲公园、徐汇区西岸艺术公园等。
编辑

售楼处电话:400-1789-208(已认证)
海上·清和玺营销中心热线:400-1789-208(欢迎致电)
海上·清和玺售楼处预约电话:400-1789-208☎☎☎如有问题可来电咨询,预约销售专员,一对一为您服务!