售楼部官方联系电话:400-890-9938

杨浦滨江东外滩
12号线爱国路地铁站仅200米
「中建壹品·外滩源著」
还有少量房源
建面约139-145㎡低密住宅
总价约1480-1670万
可直接下定
目前“样板间”已开放
最新消息:东外滩【 中建壹品·外滩源著】二批次还有少量房源,建面约139-145㎡精装住宅,总价约1480-1670万。
145平的四房只有一套三楼,总价1524万。
139的三房高低楼层还可以选,大横厅,270°转角飘窗,总价约1480~1670左右,具体一房一价;
编辑
编辑

户型图如下:
编辑
编辑

编辑
编辑

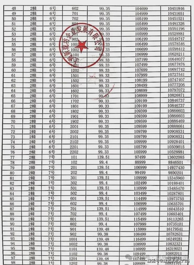
一房一价表:
编辑
编辑

编辑
编辑

编辑
编辑

中建壹品·外滩源著主力总价千万级,机遇难得:
一方面, 上海土拍取消地价上限之后,核心地段的珍藏地块接连亮相,新地块普遍高溢价成交,楼面价屡创新高。
续徐汇滨江、徐汇龙华等之后,北区也迎来单价地王,虹口临平路新地块楼板价高达约11.48万/㎡,未来预计售价或将在16万+。
不难发现,浦西市区的上车门槛已经拔高到一个惊人的程度。
这意味着, 未来总价千万级买入浦西市区的入场券将日益臻稀,当下仅剩不多的上车机会一定要把握住!
编辑
编辑

编辑
编辑

明星户型+奢配装标+奢享空间,
建面约99-143㎡高端住宅,产品力爆表!
项目主推建面约99-139㎡高端住宅,主力总价千万级。
相比市面上同级别豪宅,项目户型布局更加方正大气,且各个户型都有闪光点,为不同需求业主高定个性化生活!
①直面风貌别墅区,享奢华视野!
项目只有一排高层建筑,此次加推2号楼。
前排是一整片的风貌别墅区,高层几乎无任何遮挡,即使是低区的采光也非常好。
编辑
编辑

过程稿效果图,非最终成果,仅供参考
②高定奢标,精致感和奢华感拉满!
项目高定装标严选全球高端旗舰品牌,交付标准包括 美诺、霍尼韦尔、大金、威能、德国当代、唯宝、瑞仕恩仕等国内外一线品牌。
项目厨房使用 美诺的抽油烟机、灶具和洗碗机三件套交付, 博洛尼橱柜、达克密瓷岩板等,台面是全进口的 西班牙DEKTON品牌。
这都是市面上16万/㎡+的顶豪用的。
编辑
编辑

双开门冰箱也是交付标准,小户型为 博世品牌,大户型为 利勃海尔品牌。
编辑
编辑

卫生间甄选 唯宝、当代等知名品牌,生活质感肉眼可见。
收纳空间全部都是来自 博洛尼专属定制(或同等品牌),省去后期定制比价的烦恼。
编辑
编辑

③精湛工法极为考究!
项目以精湛的工艺,八种不同材质的奢石运用,将奢材独特的纹理、光泽、触感完美呈现。
收纳空间几乎都是 皮质缝线包裹,甚至柜门内外都是皮革包裹,质感进一步提升。
编辑
编辑

卫生间大量采用 奢石和石材,比如主卫柜体墙面就是香格里拉翡翠拼花,龙头是冷热分离式,成本更高。
次卫墙面统一采用米洞岩板、地面为深咖色瓷砖,下柜同样是皮革包裹交付。
编辑
编辑

主卧地板升级为 柳叶拼接,工艺更加繁琐,无形中增加了开发商的成本,但大大降低了业主未来的维修成本。
编辑
编辑

当然,这仅是交付标准中的冰山一角,更多交付标准和细节,欢迎前往样板间参观!
④多维收纳空间,生活无忧!
该户型在收纳部分精益求精做了大量微迭代,让业主未来的生活更加从容。
全屋多维收纳空间,在分户墙处增设“凹型空间",玄关/烟道处/卧室/卫生间定制收纳空间扩容,把更多隐藏空间打造成超级收纳功能。
室内 玄关柜、餐边柜、S墙、岛台、橱柜、单开门吊柜、烟机柜、燃气表柜、热水器柜、抽屉地柜、水槽地柜、卫浴吊柜、卧室衣柜等全部交付。
编辑
编辑

值得一提的是,入户玄关设置 一整面的玄关柜空间, 左侧分户墙处增设“凹型空间",预留内嵌双开门冰箱空间。
厨房外的 半开放式餐边柜同样也作为交付标准,柜体额外提供接近1立方面积的收纳空间。
编辑
编辑

⑤更多改善户型,适配不同家庭结构需求!
编辑
编辑

编辑
编辑

项目建面约139㎡3房2厅2卫、建面约145㎡4房2厅2卫户型,都是 三开间朝南+宽景阳台+主卧套房设计,空间尺度更加奢阔,居住舒适度更高,适配更高层次的居住需求。
其中,建面约139㎡边套户型,主卧做了270°转角飘窗,衔接部分使用弧形玻璃,成本更高!
编辑
编辑

建面约139㎡户型样板间实拍
编辑
编辑

顶豪品质+超高颜值+高阶下沉式会所,
千万级豪宅中难得一见,逼格拉满!
中建壹品·外滩源著是中建壹品在杨浦滨江的第二子,承袭中建壹品豪宅血统,且在人居体验方面又有了新的思考,剑指杨浦东外滩人居品质新标杆!
项目是由高层+风貌别墅组成的低密墅区, 石材&大面积玻璃立面+下沉庭院+奢配装标+高层几乎无任何遮挡,品质感断层领先!
编辑
编辑

过程稿效果图,非最终成果,仅供参考
项目容积率仅约2.0,是杨浦滨江难得的低密风貌墅境,价值再难复制!
高层立面建筑的色彩以浅色做为主基调,采用石材与局部的涂料工艺,大量的落地玻璃之间,镶嵌了古铜色的金属板材,与风貌建筑的色彩形成呼应。
高颜值立面、高窗墙比、高拓展性,为业主带来更多采光的同时也带来更开阔的视野!
编辑
编辑

过程稿效果图,非最终成果,仅供参考
项目打造 “三轴两门三院三花园”的景观布局。
主入口礼序归家轴上,以 海上东方+星池雅宴+鎏金茗院三重空间,重现海派隐奢归家之路,步步尊崇。
编辑
编辑

过程稿效果图,非最终成果,仅供参考
主出入口整体长约30米,进深约23.5米,将 顶部廊架扩展到到中岛以外,彰显大气的特色。
挑高金属雨棚采用极细边,中间凿壁采用透光奢石,搭配极具现代主义的雕塑彰显小区档次,背景墙面采用维多利亚黑大理石,奢华且低调。
编辑
编辑

过程稿效果图,非最终成果,仅供参考
社区内设有 上海风情的“三院”、海派精奢的三花园,让优雅的生活氛围随之铺展开来。
下沉庭院整体长约18米,进深约9.5米,庭院的上下景观通过水帘相连通,中间结合有着层层叠水的水景,搭配水晶砖的景墙,将品质感拉满。
编辑
编辑

过程稿效果图,非最终成果,仅供参考
项目配置 建面约1200㎡下沉式高阶会所,逼格媲美顶豪产品!
项目利用 下沉式景观庭院,结合艺术花园、摩登水景等,打造了一座高端的下沉式会所,规划设有 泳池、健身房、行政酒廊等场景。
编辑
编辑

过程稿效果图,非最终成果,仅供参考
业主下楼即可会客、运动健身,宛如身处一座奢华酒店。
这不仅能给业主带来丰富的精神生活享受,更是业主身份的象征。
编辑
编辑

过程稿效果图,非最终成果,仅供参考
另外,下沉庭院东侧是 织梦奇园,兼具趣味感和互动感的儿童乐园。
海派生活轴的端点是邻里交互的 艺术花园,是业主茶余饭后散步的好去处。
编辑
编辑

编辑
编辑

编辑
编辑

过程稿效果图,非最终成果,仅供参考
毫不夸张的说, 在总价千万级赛道中,杨浦滨江的中建壹品·外滩源著的产品力堪称降维打击!
编辑
编辑

杨浦滨江质价比更高的高端住宅,
享澎湃产业势能+潮流生活方式!
杨浦滨江厚积薄发, 土拍预期拉满、高新产业快速兑现,优质房企扎堆、潮流生活方式、城市界面焕新……
当下,杨浦滨江正处于价值爆发的前夕,入住正当时!
编辑
编辑

区位示意图,仅供参考
①黄浦江沿岸+杨浦滨江规划,势能澎湃!
2024年《黄浦江沿岸专项规划》中:长约5.5公里的杨浦滨江南段,全域划分进了核心段内,一跃成为上海滨江核心带4大世界级文化产业集聚区之一。
杨浦滨江定位是世界级的科创中心,也是CAZ唯一的科创中心,沿江“一带两区”规划总建筑面积约796万方,规模2.6倍于前滩,5倍于陆家嘴!
这一定位, 让杨浦滨江与黄浦滨江、徐汇滨江、前滩站到了同一高度!
编辑
编辑

②更高能级的产业,发展潜力惊人!
杨浦滨江将提供约364万方商办建筑规模,约3倍于徐汇滨江西岸金融城。预计产业规模达3000亿,导入至少20万人口。
目前,杨浦滨江是上海最重要的互联网产业聚集区,滨江的互联网产业更是纳入到上海市经信委的产业地图中,可以说是具有十足的影响力。
这里吸引了美团、哔哩哔哩、字节跳动等多家互联网巨头抢滩,能导入那么多头部互联网企业的,整个滨江仅此一家。*信息来源上海人民政府新闻办公室
编辑
编辑

区位示意图,仅供参考
③杨浦滨江建设速度奇快,规模显现!
2017-2025年,前滩的建成用了8年;
2010年至今,徐汇滨江的建设已用了15年;
而在去年首届杨浦滨江世界未来水岸峰会中提到:未来2-3年之内,杨浦滨江将全面建成!
④文艺范十足,文化地标一路连缀!
近些年,杨浦滨江的气质也在直线上升,高端秀场、艺术时尚展览、毛麻仓库、滨江栈桥、绿之丘等吸引着市民游客前来“打卡”。
未来将有 40幢,总建筑面积约 16万㎡的历史保护建筑陆续更新为城市文化艺术空间,将成为各类博物馆或奢侈品牌艺术大秀的举办地!
编辑
编辑

区位示意图,仅供参考
项目 与黄浦江直线距离约1.1公里,项目与国际时尚中心直线距离不到1公里,与超极合生汇(在建)直线距离约1.2公里,可谓是近水楼台。
这个距离恰到好处,茶余饭后即可散步到滨江观光带,享受杨浦滨江一路连缀的高质量休闲设施。
⑤杨浦滨江仅有的千万级地铁盘!
另外, 项目距离12号线爱国路站直线约400米,步行可达,这在杨浦东外滩一众不靠轨交的项目中是非常难得的。
自驾道路桥隧纵横,项目能便捷驶 北横通道、中环、内环等,周边的杨浦滨江核心区、北外滩、陆家嘴、世纪公园、南京西路、外滩等都是业主未来的生活圈。
对于浦东客户来说,项目有 军工路隧道、隆昌路隧道(在建)、杨浦大桥、江浦路隧道等一桥五隧直达浦东的金桥、陆家嘴、张江、碧云联洋等城市CBD。
编辑
编辑

区位示意图,仅供参考
总的来说, 中建壹品·外滩源著主力总价千万级入住杨浦滨江,更有着顶豪的产品力、品质感,为今年上海高端改善带来更优的答案!
感兴趣的朋友
点击进入下方通道
直接电话连线项目销售询问
编辑
编辑
