深嘉上府-售楼处首页网站-深嘉上府-售楼处电话-开盘时间-深嘉上府房价-户型-楼盘详情-周边环境-户型-价格-地址-楼盘详情-售楼处电话-交房时间

搜狐焦点天门站

2025-11-07 09:40:52

购房群

买房如何避坑,加入购房群,看看他们怎么说

立即进群

「深嘉上府」售楼处官方预约热线:400-1189-515(欢迎致电)

2025年,是上海楼市新房价格跳涨的一年。

当所有人将目光投向那些单价10万+,总价千万级别的红盘时,却忽略了上海还有一类庞大的购买力群体——刚需购房者。

不少粉丝在后台问,预算有限,还能在上海买到满意的新房吗?

我的回答是:如果你住在嘉定,那么「深嘉上府」这个盘,绝对值得一看。

很简单的几个原因:嘉定芯首个综合体项目+千亿级别产业高度+高度成熟的生活氛围,刚需楼盘必备的因素,这些它都有。

首先,「深嘉上府」不同于普通的住宅项目,而是难得一见的综合体项目,上海首个“府”系升级之作,涵盖住宅、商业、写字办公楼于一体,虹吸周边高精尖高薪人才,未来引领区域内次新房的价值高度,成为新的城市封面。

其次,这里藏着千亿汽车产业集群的造富密码。项目位于汽车产业承载核心区的安亭核芯,旁边就是同济大学(嘉定校区),圈层高端且配套成熟。

对于刚需通勤客户来说,拥有一条能级高的、能直通市区的地铁,至关重要。未来地铁14号线西延伸线开通后,直线距离同济大学站约300多米!直达大虹桥腹地、串联起长三角,是房价保值增值的重要底盘。

最后,上海7090政策逐渐放开,未来楼市推出的新房面积更大,朝着120㎡去了,门槛也更高。项目一期推出的88-99㎡三房小户型,既满足功能性与居住属性,又做到总价可控,这样的紧俏货,买一套少一套!二期加推建面约68-98㎡一房到三房,均价35839元/㎡!

层层因素叠加,这才是刚需逆天改命的封神级性价比!「深嘉上府」示范区&样板间已开放,实力雄厚的国企钜制,推出精装三房爆款小户型,年轻人在上海的第一套房子,不容错过!

嘉定芯 同济旁

片区内综合体项目「深嘉上府」二期

国企钜制+全屋精装

首开建面约68-99㎡一房到三房

已过会 7月17号认购

1嘉定超级核芯+综合体项目

史诗级利好,只此一座!

2025年,上海楼市小阳春走出了全国独立行情。

据网签数据显示,2025年3月合计成交纯住宅26312套(数据来源网上房地产2025.3.1-2025.3.31),创近45个月新高,市场向上,势不可挡!

「深嘉上府」售楼处官方预约热线:400-1189-515(欢迎致电)

再来看土拍市场,今年3月初,嘉定新城F03A-4地块出让,经过49轮激烈竞拍,溢价率30%封顶成交,楼面价高达31850元/㎡。而它旁边的地块楼面价才2.3万/㎡,这样的跳涨幅度无疑是惊人的。

此刻,于手握刚需预算的购房者而言: 时机不等人!

如果不想错过行情,未来多付上百万的真金白银,当下嘉定入市的新房必须强烈关注起来。

「深嘉上府」从价格上来看,是当下无可争议的性价比之选,只要300万起就能上车一套精装三房!要知道,往前两站的嘉定新城新房将要卖上6万+/㎡!

同时,「深嘉上府」是片区内唯一在售的综合体项目,融合住宅、商业办公于一身,在此基础上提出"24+1时区"生活哲学。它宛如一个微缩城市,日常多维交通高效率通勤,脚下就是商业中心和高能级办公,下楼就有网红咖啡店、各色精致餐饮等等,形成一个生活闭环。

效果图,仅供参考

缤纷引力商业和首层活力街区,能吸引大量人流与消费力,推动片区商业的繁荣与发展。以未来城市客厅的姿态,打造都会开源生活体,构建一个“永不落幕的生活T台”。

效果图,仅供参考

写字楼办公方面,商办外立面大面积采用玻璃幕墙,后期以氢能源相关企业入驻为主,预计可以容纳约 4500人办公;采用砖红色学院派风格的办公园区,预计可以容纳约2500人办公,吸引了众多企业入驻。

项目的营销中心是两幢办公楼其中的B塔1层,今年刚刚荣获了2025年美国MUSE设计铂金奖。美国 MUSE 设计奖(MUSE Design Awards)被誉为全球优秀设计奖项之一,其中的铂金奖,常被业界称为"设计界的奥斯卡"。

示范区实景图

进入营销中心,更能体会空间美学:挑高8米的大堂搭配银色水波纹天花,宛如时间的涟漪,与绿植相互映衬,为空间增添了灵动感和节奏感,营造出充满未来感的艺术氛围。

示范区实景图

特别打造的"时空图书馆"通过智慧阶梯与多功能复合空间,重新定义了知识交互场景。从理念到落地的精细化协同、从概念萌芽到实景呈现,始终以“自然载体”为核心理念,全程深度参与设计施工品质管控。

示范区实景图

除了实体示范展示区外,样板房在自然雅居理念的实践上,树立了行业标杆——从主卧手作角到儿童探索空间,从通透的公共区域到融入自然肌理的装饰体系,全方位构建起"都市桃源"般的生活方式闭环。

与普通住宅小区相比,综合体项目的价格往往能比同板块次新房溢价约20-30%!「深嘉上府」未来在二手市场有多吃香,足以可见!

「深嘉上府」售楼处官方预约热线:400-1189-515(欢迎致电)

价格信息来自链家网

2国企钜制+双精装大堂

高颜值、高质感,价值难以复制!

1、深圳国企钜制,首个“府系”综合体项目

深嘉上府,由深圳市人民政府全资拥有、深圳市国资委直管的大型综合性企业集团——深业集团开发打造,集团前身于1983 年在香港注册成立。

深业集团,聚焦地产、园区、运营、幸福、资本和数字化六大核心业务,实现城市综合开发运营的一站式服务!其开发的前海深业云海湾销售额达到100.37亿,登顶深圳销冠,深业集团也位列深圳房企第四,实力雄厚,品牌更有保障。

2021年12月和2022年6月,两次摘下上海嘉定地块深业深安上居、深嘉上府,双星耀嘉定开启在上海的战略布局。深安上居首开热销8成,二期去化表现同样优异,只剩少量房源。「深嘉上府」作为深业集团进入上海打造的首个“府系”综合体项目,升级之作,强势来袭!

2、精致的公区与社区景观,还有双精装大堂

外立面上,采用 玻璃幕墙+顶部金色格栅塔冠设计,四栋住宅一字排开,户户朝阳享受开阔视野与充足采光的居住体验。

效果图,仅供参考

丰富的洄游动线,项目拥有中央花园、为儿童量身定制活动区、全龄运动场、林间密径、架空层空间等,应有尽有。

效果图,仅供参考

首层与地下双重精装入户大堂,市区高端改善楼盘才有的配置,出入皆舒适从容,尽显归家礼序。

效果图,仅供参考

3、88-99㎡明星爆款小户型,圆年轻人的置业梦想

示意图,仅供参考

一期户型图如下:

这一次,建面约88㎡的小户型,户户皆爆款!

户型图,仅供参考

三房两厅一卫的格局,兼具功能性与尺度感。南向三开间,做到两间卧室朝南,这样的面宽,可以直接媲美市面上100平米的新房尺度!

「深嘉上府」售楼处官方预约热线:400-1189-515(欢迎致电)

样板间实景图

u字形的厨房,动线合理。餐厅空间,能够从容摆放一张四人大餐桌。

全屋飘窗的设计,连浴室也带有飘窗,将赠送空间拉满!北房间是灵动空间,无论是书房还是卧室,尺度感都恰到好处!

建面约99㎡的三房两厅两卫,很适合一家三口的上车的作品。三开间朝南,南北通透,动静分区,户型非常方正!

户型图,仅供参考

样板间实景图

全屋飘窗,包括卧室、厨房、淋浴间都赠送飘窗,无形之中多出约4个平方的面积,扩大实用面积,节省下很多置业成本。

主卧也是采用套房式设计,带有独立的卫浴空间,满足业主对“私密、尊崇”的居住需求。房间内几乎每一平米都得到了更大化利用,整体尺度感远超同面积段其他产品!

样板间实景图

4、一线装修品牌,定制奢雅舒居

装修品牌上,项目采用日立中央空调+地暖+新风系统三大健康系统,智能门锁高效出入;

「深嘉上府」售楼处官方预约热线:400-1189-515(欢迎致电)

厨房油烟机、燃气灶、橱柜、洗碗机四件套,以及抽拉式水龙头都贴心配齐;包括卫生间精挑细选优质材质及品牌;部分定制墙布、多层实木复合地板、系统灯光设计等,演绎高品质的生活。

最后物业上,选用的是开发商自己的物业,安心靠谱的 深业物业。截至2024年12月31日,上市平台2家,总资产达2076亿,土地储备超1000万㎡!开发项目面积约4600万㎡,运营项目面积超1亿㎡,城市管家服务面积超4500㎡,近五年累计利润总额达262亿!更为细致、更加贴心地照顾业主!

3 世界级汽车产业中心核心承载区

圈层成熟、生活氛围高端

嘉定,作为五大新城中最为宜居的地方,在过去十年间,人口增速约24.68%,稳居全上海第一。它的成功,一是离市区比较近,另外一个就是产业发达。

图源网络

安亭,作为中国汽车第一镇,是嘉定建设世界级汽车产业中心核心承载区、打造世界智能网联汽车创新高地的主战场,嘉定汽车“新四化”布局的重中之重。(信息来源上海市嘉定人民政府官网)

目前,安亭汽车产值已超3000亿元,占上海全市汽车总产值超1/3;汽车“新四化”相关总产值达900亿元;聚集各领域汽车产业链企业1240家;全镇共有汽车产业链从业人员约6.8万人。(信息来源组织人事报官方公众号2024年6月发布)

「深嘉上府」,位于嘉定的核芯区位,此刻正站在时代发展的风口之上。它不是普通的住宅项目,而是融合住宅、商业办公于一身的综合体项目,钜制城市新地标。

示意图,仅供参考

同时,片区的交通也将迎来大跃升:以安亭北站、安亭西站为核心的安亭枢纽,是打通长三角一体化和虹桥国际开放枢纽的链接通道,在上海2035规划中,宝嘉线、嘉青松线即将启动,嘉安高速延展嘉定向东,与宝山互通。

「深嘉上府」售楼处官方预约热线:400-1189-515(欢迎致电)

轨交14号线西延伸(规划中),与轨交11号线合力形成大运量轨交服务扇面,构筑“上海市中心-嘉定-苏州”轨交一张网。

而项目与规划中的14号线,直线仅约300米!

项目东侧紧同济大学嘉定校区,在校师生规模超15000人。高教资源丰富,浓郁学府氛围,举步即享高校文体设施配套。周边有同济附属实验小学、中学,黄渡小学、中学,华东师范大学双语学校等全龄段教育资源,孩子可享受“家门口”的优质教育!(新房不承诺学区)

商业上,嘉亭荟城市生活广场、安亭财富广场、三德广场、中信泰富万达广场、嘉实生活广场汇聚,完全满足日常生活购物所需。

生态上,嘉北郊野公园、安亭汽车博览公园、远香湖公园、嘉定紫藤园,还有市民广场、保利大剧院、安亭老街、颖奕安亭高尔夫球场、州桥老街等丰富的文娱场所,陶冶精神,放松身心。

总结一下:随着市场高溢价土地的出让,整个新房市场越来越贵。在这样的背景下,「深嘉上府」这个嘉定更核芯、高知圈层和产业更集聚、生活配套更成熟、交通层次更丰富的新房,这个质价比可想而知。

「深嘉上府」售楼处官方预约热线:400-1189-515(欢迎致电)

这已经预定了2025年上海刚需的爆款项目了,抓紧机会!

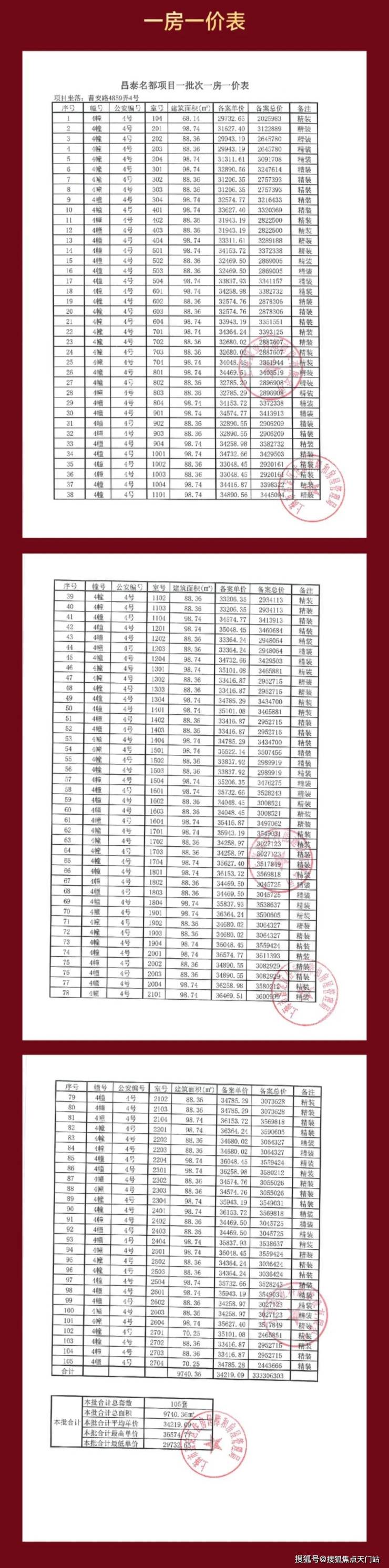
上期一房一价如下:

「深嘉上府」售楼处官方预约热线:400-1189-515(欢迎致电)

全部

相关资讯

报名成功
稍后会有专业的置业顾问联系您
返回楼盘

频道导航

返回首页

看房小程序

APP下载

电话拨通后,请您手动拨打分机号

确定拨打电话

电话号码:

分机号:(可能需要拨分机号)