


PART . 01
解码徐汇销冠红盘的价值三重奏!
一、徐汇滨江第七组团,滨江价值爆发点
徐汇滨江北段已发展饱和,下一步发展着力点就是海上·清和玺所在的中央公园组团,将是徐汇滨江下一个发展极。
海上·清和玺项目直线距离上海植物园仅约500米,坐拥徐汇滨江中央公园生活区,被列为徐汇滨江第七个百万方的中央公园规划。
独有的土地规划和上海植物园的自然公园优势,,未来将以滨江及公园的宜居姿态,衔接滨江中部和南部,打造独属于徐汇集高端医疗、名校、公园、产业、生活于一体的公园城市示范区!

示意图
二、约1200万级置业徐汇滨江的唯一机会
当徐汇滨江新房门槛突破20万/㎡,当核心地段宅地进入断供倒计时,海上·清和玺以整盘约11.5万/㎡房地联动价,成为当前及未来总价约1200万起入主徐汇滨江的唯一窗口。

示意图
三、教育天团护城河,2公里10所名校
海上·清和玺周边2公里,云集了上海小学、上海中学、徐教院附中、徐教院附中南校、上海小学(龙川校区)及逸夫小学等10所名校。
作为上海教育的头部板块,徐汇优质教育本就出名,而清和玺周边更以清一色徐汇名校形成独特的教育磁场,放眼全市难寻其二。
(新房不承诺学区,具体以教育部门公示为准)

示意图
PART . 02
徐汇销冠的“实景硬实力”碾压式出圈!
当多数项目仍在依赖图纸画饼或概念营销时,海上·清和玺用“五开五捷+徐汇销冠”的市场表现,印证了一个行业真理:真正的热销,从来不是偶然的流量爆发,而是“产品力+质价比”硬实力构建的必然结果。
海上·清和玺通过“实景展示区的匠心兑现+超配公区的细节突破”双重展示的产品力护城河,在同质化严重的上海楼市中,树立起难以复制、难以拒绝的竞争壁垒。
实景图
双倍实景:刷新豪宅标准的实景示范区
约10000㎡全维立体殿堂实景,规模相当于普通豪宅示范区(约3000-5000㎡)的2-3倍。
不计成本打造大量定制化米黄色石材饰面、奢玉、奢石搭配海派金属的装饰,细节与调性堪称板块标杆!

实景图
显赫门庭:超50米面宽的艺术地标,归家即穿越百年贵雅
超50米面宽的归家门庭,如一幅展开的海派卷轴,以精工定制弧形米黄色大理石为主调,镶嵌典藏级老虎玉大理石,点缀古铜色现代海派艺术感灯器,整体呈现一种流转于百年海派的贵雅气质,庄重大气的归家仪式感油然而生~
实景图
门庭外,两侧辅以具有仪式感的跳泉水景,将建筑的圆弧美感与自然水景相合,共同构成海上·清和玺“贵雅清和”的城市界面。
实景图
酒店式归家环岛的中心,「海上·清和玺」原创设计了艺术装置:海派漩心。
首创海派建筑中经典山茶花图腾设计,通过现代的手法将其以立体的方式重塑在环岛落客空间,昭示性极强。
实景图
风雨连廊:约500米时光长廊,四季皆是诗画归家路
全住宅楼栋风雨连廊总长约500米风雨连廊如缎带缠绕社区,打造无风雨归家系统。实现诗人笔下的“户外风雨连绵,廊下月华如水”的生活情景体验。
实景图
会所殿堂:9米挑高+美琪穹顶,把艺术博物馆搬进社区
穿过风雨连廊,抵达项目会所一楼预接待厅,挑高约9米的殿堂级质感相当真震撼!
据了解,地面瓷砖采用威尼斯白与爵士白石材拼花设计,纯人工铺装保证花纹的奢华质感,体现极强的秩序感!

实景图
中庭设计的美琪穹顶亦是结合了美琪大戏院与和平饭店海派经典做法,用了近979块玻璃设计,将对品质的苛求运用在建筑的细节中,甚至二楼装饰的水晶灯,都选用高规格的E9级进口水晶制作,足以看出其匠心。

实景图
地下归家:从星空隧道到中央车站,车行亦享头等舱礼遇
经过殿堂级地下车库坡道,抵达此次海上·清和玺引用招商蛇口原创设计空间——“中央车站”,连通项目会所、地下庭院,高效抵达的同时,保证了业主的私密性,营造独一份的尊崇体验。
实景图
实景图
2000㎡下沉式会所:把游泳馆、米其林、美术馆、高尔夫球场搬进社区
约2000㎡下沉式会所全实景呈现,围绕整个东湖光厅,分布了各个功能空间:星空顶恒温泳池 、私宴厅、3D室内高尔夫球室、WaterRower品牌健身房 、瑜伽室等等,每一处都是对生活美学的极致诠释:
实景图
星空顶恒温泳池:
泳池采用637259块纯手工铺贴的独一无二专属定制ARTDECO美学拼花马赛克+纯天然优质石材打磨的罗马柱定制的星空顶无界恒温泳池,实现足不出户尽享法式惬意优雅。
实景图
家族式私宴厅:
8-12人定制私宴空间,考究法式艺术与当代经典的融合,配置专业厨房,细节考量已经超越部分三千万级豪宅。
实景图
3D室内高尔夫球室:
甄选天然石材和定制拼花地板,未来业主在家楼下即可便捷享受高尔夫运动带来的乐趣和成就感,相当人性化。
实景图
WaterRower轻法定制健身房:
美剧《纸牌屋》总统御用品牌器材,全部采用珍贵的全木质健身器材,触感温润细腻,每一台器械都如同艺术品般精致,带来超越想象的奢侈质感。
实景图
静心瑜伽室:
轻法式风格高定瑜伽室,镜面雕刻暗藏巧思,以现代化手法演绎ARTDECO图形元素,延续健身空间美学。
实景图
约1000㎡主题架空层:
海上·清和玺部分楼栋还为业主定制了七大主题共约1000㎡架空层!
其中包含艺术品鉴、社交娱乐、品茗阅读、亲子互动、儿童娱乐等全覆盖。其中阅读主题“龙门书院”、儿童娱乐架空层已部分实景呈现。
实景图
PART . 03
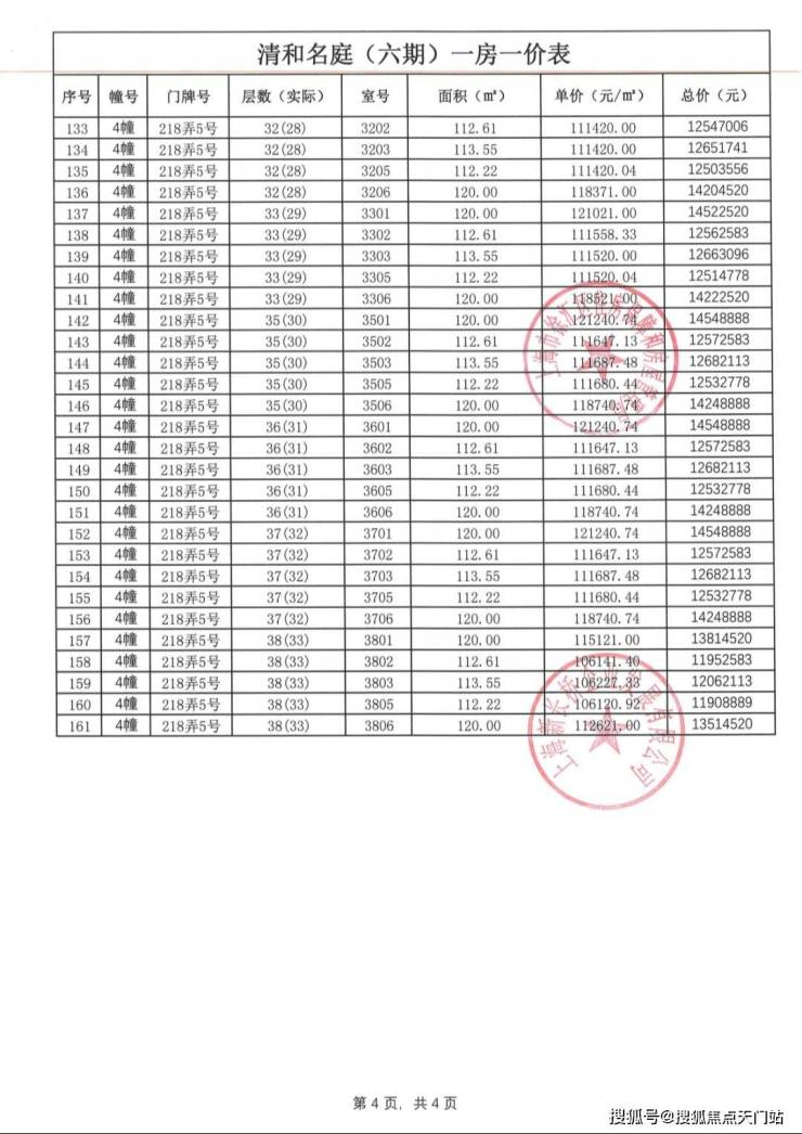
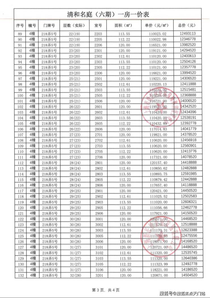
红盘五开五捷,收官六期加推在即!
六期即将加推建面约112-120㎡3房改善户型,北向放眼过去就是上海植物园,高区东边套可以直面徐汇滨江核心江景,堪称楼王级别的景观视野,相当优越!

示意图
值得一提的是,目前项目当前还有少量建面约112-143㎡3-4房在售。
建面约112㎡3房2厅2卫户型
玄关处设有储物柜收纳,方便业主收纳日常用品。
通过S墙的设计,既优化了餐厨动线,同时也增大了厨房的作业面,让整体空间得到进一步合理利用。
三开间双卧朝南设计,采光视野更好。
主卧套房设计,既保证了舒适性,又增加了私密性。
建面约120㎡3房2厅2卫户型
玄关处设有储物柜收纳,定制LDKB一体化宽厅,更舒适的功能定制,270°转角窗观景套房设计,实现了居住品质与观景的完美结合。
建面约134㎡3房2厅2卫户型
主卧约270°L形飘窗设计,将窗外的美景尽收眼底,注重美观的同时,也兼顾了实用性与舒适性,让业主在繁忙的生活中也能享受到宁静与安逸。
客厅面宽约5米,横厅般的尺度及采光享受,使得整个空间显得格外宽敞明亮。
厨房与餐厅通过岛台相连,不仅实现了空间的流畅过渡,更彰显了豪宅的非凡尺度。
整个户型动静分区设计,相当人性化!满足更多年轻家庭居住需求,舒适奢阔~
建面约143㎡4房2厅2卫
独立入户空间,入户仪式感和私密性拉满的同时,增加实际使用面积,也变相提高了“得房率”。
四开间朝南,面宽达约15.5米,你要知道黄浦顶豪350㎡户型南向面宽也只有14米。
标准层层高约3.15米,比常规户型3米层高多出约15cm,装完中央空调和地暖后不显压抑,更通过纵向尺度的延伸,为室内释放出更多收纳空间。

建面约143㎡创意展示空间实景图
独立客餐厅,一方面餐厅格外通透,餐厅北侧就是采光窗;另一方面保证了一个完整阔绰客厅,而不是餐厅+客厅,即使客厅微改造也不会影响餐厅。
罕见七飘窗设置,主卧还是约270°转角飘窗,可多角度欣赏景观,同时大大增加室内使用面积,据悉七飘窗合计约12平米。

建面约143㎡创意展示空间实景图
精装细节考究、配置豪宅标准!
在装修细节方面,整体选择了奢石、奢玉、奢板、奢皮、奢镜混合搭配,一站式满足改善客群对品质的追求。
装修标准方面,海上·清和玺同样是豪宅顶流水平。
大金(或同等档次品牌)的中央空调和地暖;百朗(或同等品牌)新风系统;博世(或同等品牌)燃气灶+油烟机+洗碗机、AEG(或同等品牌)冰箱等;弗兰卡 (或同等档次品牌) 的大单体水槽以及可抽拉的水槽龙头;台盆为唯宝(或同等档次);马桶为高仪智能马桶(或同等档次)......

建面约112㎡创意展示空间实景图
建面约134㎡创意展示空间实景图
点击进入下方通道
直接电话连线项目销售询问
海上清和玺售楼处电话:400-1789-208