【官方】海上清和玺售楼处首页网站-售楼处电话-房价-户型-容积率-小区环境-地址-价格-楼盘详情

搜狐焦点铜陵站

2026-03-16 10:49:00

购房群

买房如何避坑,加入购房群,看看他们怎么说

立即进群

✨2026更新海上清和玺官方最新联系方式(☎多平台官方统一认证热线)

✨海上清和玺售楼处官方电话:400-8877-480(☎售楼处 已认证)

✨海上清和玺营销中心官方电话:400-8877-480(☎营销中心 已认证)

✨海上清和玺开发商官方电话:400-8877-480(☎开发商 已认证)

✨海上清和玺展示厅官方电话:400-8877-480(☎官方统一认证)

一英里徐汇滨江 百万方中央公园内

约10000方全维立体殿堂首映

海上·清和玺

建面约112-143㎡瞰景3-4房

均价110650元/m²

✨海上清和玺展示厅官方电话:400-8877-480(☎官方统一认证)

海上·清和玺的外立面,第一眼即惊艳!其以现代美学融合海派文化,并融合了中西方的精髓,采用了大面积铝板,极致通透又温润雅致。

✨海上清和玺展示厅官方电话:400-8877-480(☎官方统一认证)再仔细看细节,顶部香槟金色格栅塔冠以及壁柱采用香槟金和白色色调,将海派与现代之美生动演绎。基座更是采用大面积石材搭配艺术玻璃及古铜色金属窗框,辅以奢石、艺术等点缀,打造极致归家体验。如此颇具辨识度的外立面,未来势必将刷新区域天际线,形成徐汇一道亮丽的风景。

✨海上清和玺展示厅官方电话:400-8877-480(☎官方统一认证)海上·清和玺在社区景观的打造上也很用心,一条风雨连廊巧妙地将自然与建筑融合在一起。水景、绿篱、休憩平台......一步一景,堪比度假。下雨天,廊下倚栏听雨,急雨声如瀑布,密雨声比碎玉;艳阳天,穿廊而过,自有一片屋檐蔽日。

✨海上清和玺展示厅官方电话:400-8877-480(☎官方统一认证)部分楼栋还为业主定制了七大主题架空层,商务办公、休闲品茗、健身、社交娱乐、亲子互动、儿童娱乐全覆盖。

✨海上清和玺展示厅官方电话:400-8877-480(☎官方统一认证)住在这里,下楼就能和邻里促膝谈心,闺蜜们时不时约个下午茶,感受生活的惬意;老人们叫上老友,在这里“棋逢对手”;孩子们在另一边做作业、看书、做游戏;忙碌了一天的大人下了班,在这里放空发呆,哪怕是静静地听着风声,也是一种享受。

一路定制的游园式归家动线,让业主目之所及均为风景;中央会客花园内,绿植四季皆景,中央庭院景观轴上,则布局双下沉式庭院增添社区精致错落的氛围,提升归家仪式感的同时,给予业主家的温馨。

✨海上清和玺展示厅官方电话:400-8877-480(☎官方统一认证)海上·清和玺 共834套精装公寓,预计本月将推出首批建面112㎡和134㎡的3房。较低的门槛,却拥有轻豪宅的产品力!

五期户型图如下:

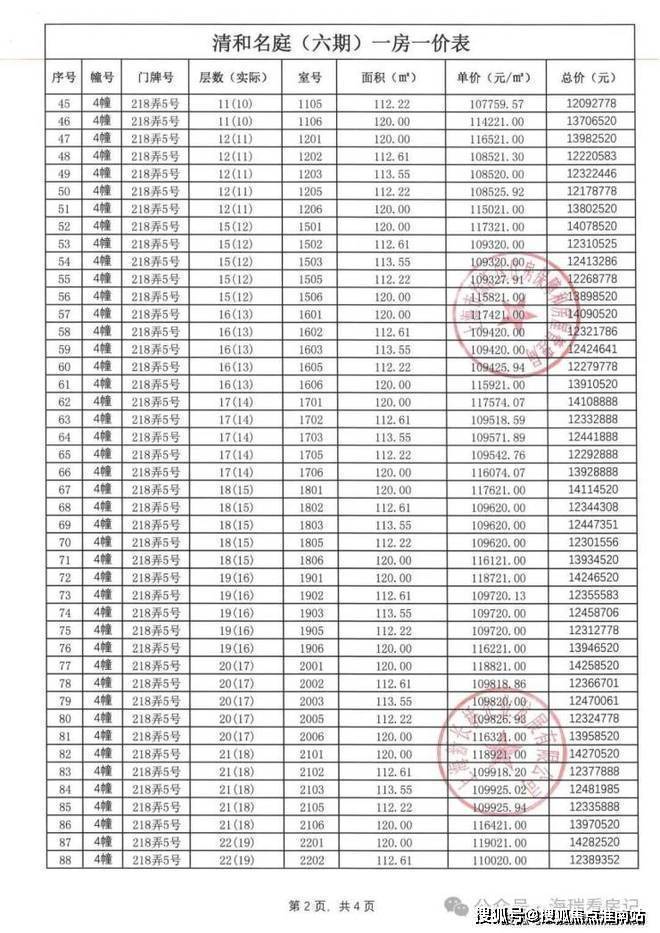
一房一价表如下:

✨海上清和玺展示厅官方电话:400-8877-480(☎官方统一认证)

全部

相关资讯

报名成功
稍后会有专业的置业顾问联系您
返回楼盘

频道导航

返回首页

看房小程序

APP下载

电话拨通后,请您手动拨打分机号

确定拨打电话

电话号码:

分机号:(可能需要拨分机号)