大华·公园柏翠(2025年大华·公园柏翠)首页网站-大华·公园柏翠楼盘详情-大华·公园柏翠户型配套

咸宁楼市发布

2025-08-18 20:00:00

购房群

买房如何避坑,加入购房群,看看他们怎么说

立即进群

上海大华·公园柏翠售楼处电话:400-8800-703【预约热线】大华·公园柏翠售楼处营销中心:400-8800-703大华·公园柏翠售楼处电话/地址☎:400-8800-703(开发商热线)如有问题欢迎来电咨询,专业一对一热情服务,让您用专业眼光去买房。➤贵宾热线〢欢迎咨询〢提前预约可享内部优惠〢➤看房请务必致电与销售确认时间,仅预约客户可享受内部优惠,专属老带新推荐奖!

静安中环旁巅峰作品

1、18号线双轨交

「大华·公园柏翠」持续热销中!

少量建面约101-142㎡3-4房

均价65327元/㎡!总价520万起

样板房线上火热预约中!

近期不少粉丝群里,在市区上班,手握600-700万预算还能买到中环旁的新房吗?这个静安中环爆款「大华公园柏翠」无疑是优中之选!

它的地理优势明显,距离静安只有约400米、距离中环线直线约3km,同频享受静安的商业、医疗、文化等资源;品质方面能够比肩千万级奢宅的楼盘,价格却超香!

项目距离中环线约3km!与大华公园柏翠同纬度的板块,新房均价起码约8.58万/㎡起,单价约10万+的区域比比皆是。

大华公园柏翠售楼处营销中心:400-8800-703大华公园柏翠售楼处电话/地址☎:400-8800-703(开发商热线)

内行人看门道,大宁土地价值再次得到印证和提升,接下来买到核芯地段、品质新房的门槛将大幅度的提高,而位处大宁之上,距新地块咫尺距离的大华·公园柏翠售楼处电话:400-8800-703,首批均价约6.3万/㎡,售价优于楼板价的楼盘,实属难得。在品质打造方面比肩千万级奢宅,潜力清晰可见,可谓是难得一遇的“黄金置业机遇”近在眼前,怎能错过?

大华公园柏翠售楼处营销中心:400-8800-703大华公园柏翠售楼处电话/地址☎:400-8800-703(开发商热线)

大华公园柏翠售楼处营销中心:400-8800-703大华公园柏翠售楼处电话/地址☎:400-8800-703(开发商热线)

大华公园柏翠售楼处营销中心:400-8800-703大华公园柏翠售楼处电话/地址☎:400-8800-703(开发商热线)

最新消息!静安中环旁巅峰作品「大华·公园柏翠」大宁之上 双轨交1/18号线!少量建面约101-142㎡3-4房;过会均价65327元/m²,总价520万起!124㎡户型已售罄;售楼处线上火热预约中!

⬇️专业销售一对一咨询⬇️

耐心等待官方VIP客户经理回电

大华公园柏翠售楼处营销中心:400-8800-703大华公园柏翠售楼处电话/地址☎:400-8800-703(开发商热线)

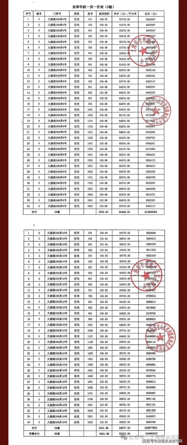
一房一价表如下:

大华公园柏翠售楼处营销中心:400-8800-703大华公园柏翠售楼处电话/地址☎:400-8800-703(开发商热线)

⬇️专业销售一对一咨询⬇️

耐心等待官方VIP客户经理回电

大华公园柏翠售楼处营销中心:400-8800-703大华公园柏翠售楼处电话/地址☎:400-8800-703(开发商热线)

官方户型图如下:

⬇️专业销售一对一咨询⬇️

耐心等待官方VIP客户经理回电

大华公园柏翠售楼处营销中心:400-8800-703大华公园柏翠售楼处电话/地址☎:400-8800-703(开发商热线)

来看样板间实拍👇

大华公园柏翠,打造的是清一色16-17层的小高层住区,容积率仅为2.2,这也造就了项目低密的体质。

大华公园柏翠售楼处营销中心:400-8800-703大华公园柏翠售楼处电话/地址☎:400-8800-703(开发商热线)

(示意图,图片源于网络,且学校不作为购房承诺)

·首先,自然生态,让家时刻生长于公园里。项目外部生态环境非常优越,内部同样采取公园的模式,以“一轴、一带、一环、九园”的设计手法,打造了一座公园里的家。

一轴:是纵向的公园归家轴。通过它享受仪式感的归家体验,并一秒转换回家的心情。

大华公园柏翠售楼处营销中心:400-8800-703大华公园柏翠售楼处电话/地址☎:400-8800-703(开发商热线)

(效果图)

一带:是横向精致花园带。它将社区里的每个景点串联,即通达便利又独具一格。

一环:是阳光有氧环形跑道。每日楼下的慢跑,即便捷又安静。

大华公园柏翠售楼处营销中心:400-8800-703大华公园柏翠售楼处电话/地址☎:400-8800-703(开发商热线)

(效果图)

九园:是多重交互的娱乐场所。有潮汐花园(社区外围口袋花园)、浔湾秘境(会所式入户)、社交剧场、漫游森境、下沉会所、阅读花园、社交花园、自然博物馆等,满足不同人群的需求空间,包括萌宠。

大华公园柏翠售楼处营销中心:400-8800-703大华公园柏翠售楼处电话/地址☎:400-8800-703(开发商热线)

(效果图)

·其次,品质细节,让家时刻保持于高品位。建筑设计整体通透明亮,即有现代的审美又有采光引入的实用,保持着永不过时的风格。而且超宽楼距,阳光与风景都无遮挡。

大华公园柏翠售楼处营销中心:400-8800-703大华公园柏翠售楼处电话/地址☎:400-8800-703(开发商热线)

约80米气派门头,尽享气派的归家仪式感。

星级酒店大堂,让尊贵的仪式感无限延伸。全T2设计,悦享私密的遵崇,让出入更从容。

公区品质也细心的打磨。比如,高感车库,营造明亮的泊车环境。以及,人车分流,创造更为安全的生活空间。

(示意图,来源于网络)

大华公园柏翠距离静安区只有约400米左右的直线距离,是整个宝山距离中心城区最近的新房。加上周边1号线、18号线、南北高架等城市主动脉的加持,整个大华公园柏翠去哪儿都方便。

大华公园柏翠售楼处营销中心:400-8800-703大华公园柏翠售楼处电话/地址☎:400-8800-703(开发商热线)

市北高新以数字经济全生态+数据要素创新等产业形态,与张江科学城(硬科技)、漕河泾(电子信息)形成错位竞争.其能级位居上海中心城区科技园区第一梯队,更是上海数字化转型的核心引擎之一。

从地图上看,该地块距离静安区的直线距离只有400米,距离大宁核心区域仅约5公里,不仅离大宁国际商圈近,周边还有宝山万达、大华商圈等大型商业配套。

大华公园柏翠售楼处营销中心:400-8800-703大华公园柏翠售楼处电话/地址☎:400-8800-703(开发商热线)

除此之外,依托经过传统市中心的1号线,可以快速直达大宁、人民广场、淮海路、陕西南路等,经转乘通往陆家嘴、南京东路、南京西路也极为便捷。

大华公园柏翠售楼处营销中心:400-8800-703大华公园柏翠售楼处电话/地址☎:400-8800-703(开发商热线)

1号线线路图

区别于其他区域或者其他刚需项目,这个地块不仅公共交通无死角,商超配套、教育资源,自驾出行也刚好都跟得上,刚好能满足你所有的生活需求!

商超配套方面,大宁区域内的大宁国际广场、大宁音乐广场、静安大融城、协信星光广场、大宁久光百货等大型商业,还能享受社区商业,同时毗邻社区菜场,生活非常便捷。

大华公园柏翠售楼处营销中心:400-8800-703大华公园柏翠售楼处电话/地址☎:400-8800-703(开发商热线)

协信星光广场 配套实景图

大宁音乐广场 配套实景图

教育方面,附近不仅有陈伯吹实验幼儿园、华东师大实验学校等名校,项目还规划配套学校。

陈伯吹实验幼儿园

生态也是一大亮点,家门口就拥有千亩城市绿地。日常放松身心、休闲散步都有了好去处。项目坐拥五大公园:约80万方伟岸绿境环抱,约等于两个长风公园大小!包括千亩绿境(约60万方绿化在侧),约3万方庙行公园、约4.2万方共和公园,约2.7万方三泉公园、约9.3万方彭浦四季公园等。

上海大华·公园柏翠售楼处电话:400-8800-703【预约热线】大华·公园柏翠售楼处营销中心:400-8800-703大华·公园柏翠售楼处电话/地址☎:400-8800-703(开发商热线)如有问题欢迎来电咨询,专业一对一热情服务,让您用专业眼光去买房。➤贵宾热线〢欢迎咨询〢提前预约可享内部优惠〢➤看房请务必致电与销售确认时间,仅预约客户可享受内部优惠,专属老带新推荐奖!

看房十八小技巧:

1、查看五证:购买期房的话,则一定要确定开发商五证两书一表齐全,这是关于买房的基本知识中最重要的一项,所谓五证就是指《国有土地使用证》、《建筑用地规划许可证》、《建筑工程规划许可证》、《建筑工程施工许可证》和《商品房预售许可证》,有了五证两书才能办房产证,这是个先决条件,而且这个过程中开发商拿地的出让金都结清,楼盘本身没抵押才行。两书为质量保证书和使用说明书。这两书是房屋竣工并且通过验收后获得的。房子盖完了没有通过验收不行。一表为竣工备案表。这个是由当地质检站在所有验收工作完成以后加盖公章交给开发商的。

2、选择开发商:新手第一次买房注意事项中慎重选择开发商也很重要,因为一个好的开发公司它必然有一个好的理念和好的团队、好的物管服务,它已经开发和服务的小区是经得起时间的检验,可以得到业主的口碑传颂的。好口碑的开发商是房屋质量的保障,一般好的开发商资质高、资金充足。

3、挑选户型新手购房须知,户型的挑选不能马虎,不同朝向、不同通风采光的户型会直接影响业主的居住舒适度,

4、挑选楼层挑选楼层也像挑选户型一样重要,初次买房须知中的关键一项,不同的楼层,房子的通风采光、视野景观以及业主的私密性、居住舒适度,甚至噪音污染、出行便利性等都或多或少有所不同,一般来说,低楼层出行更方便,如遇意外也更容易逃生,但是通风、采光、视野等相对高楼层较差,私密性较差,噪音污染也严重;高楼层视野好、空气清新,通风采光都更佳,但是如果电梯故障,可能会影响出行,总的来说,一栋楼的1/3至2/3之间的楼层是较好的楼层,属于不高不低的“黄金楼”。

5、买房时,一般会在同等区域、同等地段选择价位便宜的楼盘,或者买房时看到区位好而不管户型、内部环境、物管服务、生活成本等,这就像买一件衣服,你只管款式而不管布料、价格等,正确的做法是多学习选房知识,关注户型好坏,房屋质量等干货。

6、评估购房能力即使掌握了很多关于买房的基本知识,但很多人却对自己的经济能力认识不清,这也是很不明智的,买房之前一定要评估自己的购房能力,量力而行,对于刚需族来说,由于经济能力有限,所以都会采取贷款的方式买房。而贷款每个月需要交一定数额的月供,为了保证生活质量不受影响,避免断供的风险,

7、看优惠等待时机抓住又会也是买房须知的重要常识,买房子原本要花比较多的钱,买房子的时候能省一些算一些,所以购房者要懂得一些买房子的优惠政策。对于初次购买房屋的朋友来说,一般情况下都能享受首套房优惠政策,也就是说只要没买过房或没有贷款记录就可享受,开发商经常找“托”这样让购房者觉得“一房难求”在买房的时候职业顾问也会说再考虑一天就会被别人抢走房源,这样一来就会冲动消费,大家一定要耐住性子。

8、多看多比较年轻人买房时,最好不要好大喜贵,而且还想着一步到位,一定要像买东西一样货比三家,经过比较能获得有些经验,而房产综合性太强,它包含的面太宽,主要看你在比较过程中关心的内容全不全面,而且根据自己能承受的范围做出合理的决定,因为没有十全十美的房子,买房也不可能考虑到各方面的细节。

9、看规划买房当然要挑楼盘,挑小区,挑户型,但是也不能只看房子,还要看房子的位置,这也是买房须知和注意事项中很重要的一点,内行人买房首先看的是地段,华人首富李嘉诚也说过:“决定房地产价值的因素,第一是地段,第二是地段,第三还是地段。”好地段的房产保值或升值的空间更大,购房风险相对城市偏远郊区较小,就算未来房价暴跌,首先下跌的也是地段较偏的房产,地段好的房产房价一般都是最后下降的。建议大家在购置房产时,要切记紧跟城市发展的方向。

10、楼间隔什么是楼间隔?就好似两相邻楼的外墙面距离,同一个小区两栋相邻的楼与楼之间的距离,建筑间距的控制是为了保障人们工作、生活的质量与安全,大楼间隔宽的住宅区不一定能建造好的住宅区,大楼间隔特别宽也能建造好的住宅区,间隔宽是业主生活安静、隐私、视野广阔,也是景观建设的平台,但是利用平台建造景观安静、隐私、舒适的环境相反,大楼的间隔并不特别宽,但是这样的理念和团队创造了美丽、舒适、健康的环境,也被称为好的住宅区。

11、小区环境重点看小区环境是买房须知的重要常识,小区景观、绿化、配套等与生活密切相关,更是楼盘质量的体现,大超市、医院、学校,关乎生活便捷度;是否是学区房,关乎小孩上学;附近的公交线路、地铁线路,交通是否便捷;好小区内部和周边的配套设施也相对完善一些,不仅水、电、燃气、煤气、宽带、停车场、公共厕所、多功能儿童活动空间、园区休闲场所、物业公司等内部配套设施能满足业主的日常居住需求,周边还有便利店、菜市场、食品店、药店、小型超市、学校、公交站点或者地铁站点等多功能服务配套满足业主以及孩子的衣食住行的更高需求。

12、避免楼层选择楼层的时候经常是不随人愿,既然选不到“黄金楼层”,至少不要选到一些太糟糕的,比如极端层,顶层和底层不建议买,高层住宅如果选择低楼层的房子的话,采光可能就不是很好,而且容易潮湿,发霉,滋生蚊子。顶层容易出现漏水现象,虽然能修理但耗时耗力,修理时间极可能被无限延长。设备层则是专门供水,供电的中间楼层,要是常年居住在设备层的附近的话,不仅机器设备的噪音把人折磨得无法休息,连机器的辐射也会影响人的身体健康。

13、价格挑选很多购房者认为房价才是买房最关键的因素,其实不然,适不适合自己才是最关键的。在自己能力范围内,如果房价偏高你也能接受,这样你就会觉得地段好、配套好、户型好、楼层好的房子才是最好的,就算房价贵点也愿意买。但是,如果你能力有限、购房资金有限,那么估计买哪里都会觉得贵,甚至觉得房价越便宜越好,价格挑选要比较个人承受范围、交通状况、社区环境、户型结构等条件衡量楼盘价格。

14、不要贪大买房一定不要贪大是买房时的重要事项,面积以适用为原则,不要为大而大,现在年轻人都喜欢独自出来居住,所以一般买个80、90平的大两室或者小三室就完全足够居住,非要买大房子,不仅不实用,而且还会涉及到一定的税费,国家区分豪宅和普通住宅的分界线就是144平米,所以在购买房子的时候,不要超过140平,除了税费要多交不少,对于一些物业费取暖费等等各个方面都会高出很多,长时间算下来,多出的这些没准在日后还能多出一套首付钱。

15、考虑孩子问题考虑孩子是买房时非常必要的,既然婚恋是买房子的重要原因,那么孩子就是一个不得不考虑的因素,首先在购房的户型上必须考虑孩子的房间,购房的户型最好要两居室以上;其次那就是注意考察周边的教育设施配套,孩子要上学,从幼儿园到小学到中学,同时还要考虑孩子路上的安全问题,尽量选择距离近的房子。这样可以给孩子节约大量的时间,让孩子有充裕的时间学习和休息。

16、了解物业物管的好坏要看有没有专业的团队,有无完善的设施、健全的内部管理。不同的物业公司所做的服务千差万别,物业公司能否尽善尽美地完成自己的任务牵扯到小区的整体质量。保障安全、常规服务是物管的基本职责,好的物管主要看能否与业主达到共建和谐的社区环境,改变邻里关系为业主提供交流平台。活动的目的,不止热闹高兴,而是使业主与业主间、业主与物管间更加融洽,物管的用心和细心能不能坚持下去是最重要的,最后的评比结果是业主的口碑效益。

17、购房定金“订金”与“定金”是不同的法律概念,这是开发商欲规避法律责任的惯用做法,《中华人民共和国担保法》规定:定金的数额由当事人约定,但不得超过主合同标的额的20%。商品房交易中,买家履行合同后,定金应当抵作价款或者收回;若买家不履行合同,无权要求返还定金,开发商不履行合同的,应双倍返还定金。而订金并非一个规范的法律概念,实际上它具有预付款的性质,并不具备担保性质。很多开发商会打出多少抵多少的优惠活动,但是需要缴纳一定的定金,要知道这里交了的定金是不能退的。辨别“订金”与“定金”是买房必知的重中之重。

18、签认购书购房者应慎签认购书,认购书是商品房买卖的预约合同,是独立合同。签认购书时常会引发一系列纠纷,具体表现在购房者要收回定金,而发展商却不一定会退还。因此,为避免过多的麻烦,购房者在决定买房,可以向发展商提出看正式合同样本,房屋买卖合同一般只会对房子本身做出承诺,但是售房者很可能为了签单而给你很多的口头承诺,在觉得正式合同可以接受的情况下,再签署认购书,以免被套牢。

全部

相关资讯

报名成功
稍后会有专业的置业顾问联系您
返回楼盘

频道导航

返回首页

看房小程序

APP下载

电话拨通后,请您手动拨打分机号

确定拨打电话

电话号码:

分机号:(可能需要拨分机号)