1上海千万级新房
还能买在哪?
对于拥有千万左右预算的客户来说,其实是个尴尬的选择段。
有粉丝曾在后台留言:1000万左右,内环够不上,中环的大部分板块都只能买到小户型,去别的地方又有点浪费预算。最为关键的是,他希望板块后续还能有发展空间,品质要好。在上海开发饱和的今天,这样的新房打着灯笼都难找。
但是,中建壹品外滩源著的出现,却是当下最为适配的选项!
很简单的一点:地段潜力与轨交。
整个上海滨江段中,杨浦滨江是仅剩的可成片开发的区域。它承担黄浦江核心段50公里中唯一科创研发的功能,是引领上海滨江迈入4.0科创时代的新爆点。
仅约5.5公里长的南段岸线,就拥有约796万㎡的巨量开发体量,开发规模约是前滩的2.6倍、陆家嘴的5倍!各大知名的互联网巨头企业如字节跳动、美团、哔哩哔哩等正在建设中,预计2026年前基本实现全面竣工。
开发体量大、企业巨头入驻,带来的就是无数高净值人群的就业、消费与居住需求。届时的杨浦滨江,迎来翻天覆地的变化。
而中建壹品外滩源著地处杨浦滨江“一岛两翼”的链接处,双享南北两翼发展的辐射利好!南翼是已被划入核心段的世界级科创中心;北翼则是更具想象力的世界级卓越水岸,中北段核心——复兴岛,定位2035战略预留地。
本次规划中,提出沿江打造“四大世界级文化产业集聚区”。项目所在的杨浦-金滩“数字时尚集聚区”,和黄浦虹口、世博两岸、徐汇前滩能级相同!
同时,项目距离12号线爱国路站步行距离仅约300米,是真正步行可至的地铁房。通过12号线,可快速到达北外滩、南京西路等核心区域。
但是中建壹品外滩源著的突出,又不仅仅得益于以上两个简单粗暴的优势,它的过硬品质,放眼全上海来说都是万里挑一的存在。甚至可以说,它“卷起了”整个上海同级别的新盘,只要有新房,购房者都会与之比较一番。
同样是千万级,为什么中建壹品外滩源著的产品力能做到这样?
2 约99-143㎡ 超绝户型
s墙设计+超高得房率+奢配装标
焕新杨浦滨江人居封面
4月的中建壹品浦江之星,开盘劲销49亿,占据今年5月全上海新房项目销售金额&面积双榜首。11月,在同一个售楼处,业内再次迸发出由衷的感慨:中建壹品,实在太卷了。
这一次的中建壹品外滩源著,比前者更为惊艳、震撼!
在越来越强调产品居住属性的当下,项目的创新的户型设计,真正做到给足了空间。同时,在用料和装标上,一如既往地用心“砸钱”,为业主定制高端的、个性化生活!
1、超高得房率!
区别于一般市区项目72-73%的得房率,项目的得房率超过了79%!
建面约99㎡的户型,得房率更是做到了80%左右!多出的面积,实实在在给到更加宽裕的空间,甚至可以说挤出一个次卧的空间!
2、99-145㎡ 全周期户型鉴赏
建面约99㎡的三房两厅两卫



左右滑动查看户型图
户型图,仅供参考
这个户型是项目的主力户型,千万级预算的家庭的必备之选,功能性与尺度感兼备!
"分户s墙"设计+全屋飘窗设计,使得项目的得房率达到惊人的80%左右,十分可观!三开间朝南+南向双阳台,为整个户型带来出色的采光,同时室内视野的延展性很强。冰箱外移能增加厨房操作台面和收纳空间,创造更合理的餐厨桌台动线。
主卧套房的设计,让业主有更好的私密性和生活舒适度。
建面约126平的三房两厅两卫

户型图,仅供参考
这个户型可以说是99平户型的升级版本。尺度感、私密性和舒适度上更有突破,不管是采光、视野、通风、私密性,还是实用性都十分出色。
三开间朝南+分户S墙设计+主卧270度环幕观景飘窗,尺度进一步拉伸,改善家庭的必看之选!
建面约145㎡的四房两厅两卫

户型图,仅供参考
改善家庭的终极目标!本户型整体做到了约3.5个南向开间,客厅做到了约6米的宽度,尺度感极佳。
4房2厅2卫格局,三开间朝南+LDKB一体化+全卧室带飘窗+主卧套房设计+动静分离,居住功能性更强。
建面约139㎡的三房两厅两卫

户型图,仅供参考
大横厅设计,3房2厅2卫格局,三开间朝南+LDKB一体化+奢阔宽厅+全卧室带飘窗+主卧套房设计+动静分离+主卧270度飘窗+弧形飘窗,舒适度更高。
3、超配装标,演绎高端居住品质
这次样板间,有个地方让人感触颇深。很多项目样板间看着奢华大气,走近一看,这个贴着非交付标准,那个也是非交付标准.......但中建壹品外滩源著,“所见即所得”——去掉软装后,那些搬不走的东西差不多就是装标,主打就两个字,诚意。
入户门采用了重达300斤的铸铝门,且具有定制的艺术纹理,需要足足62个小时才能雕刻出一扇!贝母的门把手,满满的质感!
99㎡样板间中,整排到顶玄关柜均为交付标准且为皮质缝线包裹!这样的收纳空间,谁看了能不心动?
不仅如此,S墙里面的冰箱、主卧的衣柜也都是交付标准。这让后期业主的入住,省心不少。
而145平的大户型,入户就是一组800库,约80厘米进深的储藏空间。酒柜以及对面转角处的一套餐边柜,也是交付标准。
主卧衣柜,并非仅仅展示用,也在交标内!
厨房中除了美诺等大牌外,还有两个亮眼的地方,西班牙进口的贴标的达克密瓷岩板。超级岩板台面的独立西岛台。
甚至还在台面上配置了可升降、可无线充电的插座,都在交付范围之内!
主卧地面,采用市面极少见到的柳叶拼接,带来了独一无二的地面效果。
其他一线大牌,包括美诺、霍尼韦尔、大金、威能、德国当代、唯宝、瑞仕恩仕等等。这样的生活品质,在上海千万级新房中可谓万里挑一,也是对购房者展现诚意最直观的体现!
年初,中建壹品浦江之星的出现,让全上海的购房者为之惊艳。而今,中建壹品外滩源著的出现,更是剑指杨浦人居标杆作品,两者把杨浦滨江的新房整体品质拉上了一个新台阶!
3 高颜值立面+约1200㎡会所泳池
彰显“卷王”功底
除了样板间与装标,中建壹品外滩源著在建筑立面、景观布局、会所等软性服务上,也展现了开发商无与伦比的操盘实力:它的卷,从内而外。
项目由高层与风貌别墅组成,容积率仅为2.0。在市区一众2.5的容积率中,居住体验更为舒适惬意。
项目过程效果图,非交付标准,仅供参考
独一无二的立面形态。
建筑的头部借鉴了老上海ArtDeco建筑中对比例和细节的刻面,以浅色做为主基调,采用石材与局部的涂料工艺,落地玻璃之间镶嵌了古铜色的的金属板材,与风貌建筑的色彩形成呼应。未来无疑是一道靓丽的风景线。
高层视野无遮挡。
小区一排高层的南侧,是风貌别墅。这也意味着项目楼栋的中高区前方无视野遮挡,均有机会观赏到风貌别墅区及杨浦滨江景观,采光与通风十分优越。
项目过程效果图,非交付标准,仅供参考
社区景观上,三轴两门三院三花园”的景观布局。
主入口礼序归家轴上,以海上东方+星池雅宴+鎏金茗院三重空间,重现海派隐奢归家之路,步步尊崇。主出入口整体长约30米,进深约23.5米!
项目过程效果图,非交付标准,仅供参考
社区内设有上海风情的“三院”,海派精奢的三座花园,更如一幅幅流动的画卷。
项目过程效果图,非交付标准,仅供参考
标配下沉式会所!
更令人惊喜的是,项目社区内配置建面约1200㎡下沉式会所,规划设有泳池、健身房、行政酒廊等场景。为了匹配业主需求,还会不定期开展各种活动,提供更高水准的服务。
项目过程效果图,非交付标准,仅供参考
总结:今年上海楼市的主题就是“卷产品”。其实从年头到年末,很多项目都吹嘘自家产品有多卷,但是除了用上一些大牌外,没有太多根本性的改变。
中建壹品外滩源著,能成为卷产品中的卷王,说到底还是靠的真功夫。无论是用料工艺还是奢华装标,交付玄关、交付主卧衣柜、酒柜餐边柜......一口气这么豪爽的太少见,无疑开启了交付级先河!
杨浦滨江地段潜力拉满+12号线真轨交+产品过硬,今年上海千万级新房怎么选,相信大家心中已经有了答案。
总价千万级 滨江4.0科创时代
中建壹品外滩源著
12号线爱国路站 仅约300米
建面约99-139㎡3-4房
标配下沉式会所
超硬核产品力 惊艳全场
少量热销中!
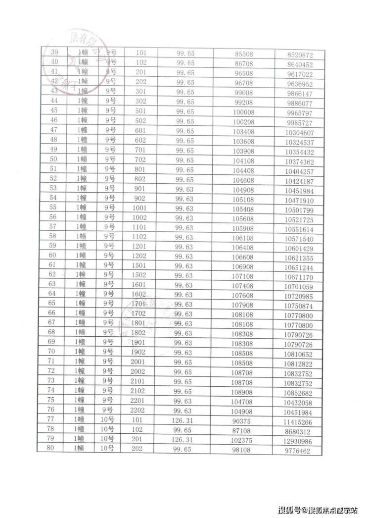
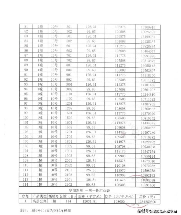
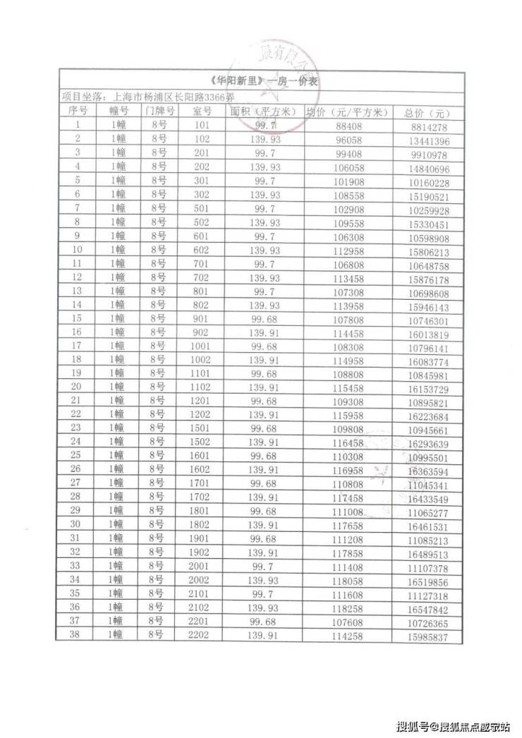
一房一价表如下: