招商林屿湖畔(售楼处)官方网站|招商林屿湖畔售楼处|招商林屿湖畔欢迎您|招商林屿湖畔楼盘详情

咸宁楼市发布

2025-09-18 20:21:17

购房群

买房如何避坑,加入购房群,看看他们怎么说

立即进群

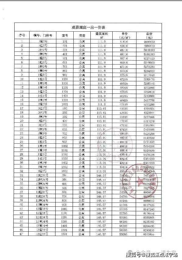
最新消息:嘉定新城「招商林屿湖畔」二批次开始认购!预计加推建面约112-145㎡房源!一房一价表如下

预约咨询热线:400-960-1656☎, 加微咨询:139 1616 5691(加微,不要来电,备注楼盘名字)

8月30日,招商·林屿湖畔迎来盛大首开,开盘当天仅用34分钟,劲销9.2亿,首批次去化率100%,首批次4天认购比例1:1.3,触发积分。首开130套建面约122、145㎡的4.0迭代湖居奢宅,以5.27万元/㎡的均价入市,开盘现场15秒钟便成交一套,一席竞藏!(信息来源:项目统计)

对于当下置业,购房者需求变得愈加清晰,只有真正优质的产品才会受到市场的认可。林屿湖畔引发的热销红盘现象,恰是硬核价值共同支撑下的好产品体现。绝佳的地理位置、嘉定超预期呈现的产品实景、满足家庭成员生活向往的改善户型……每一项都精准击中了“成长型改善家庭” 的需求,自然备受追捧。

2025嘉定新房首个积分红盘招商·林屿湖畔,9月底即将二批次加推。建面约112㎡成长型改善户型首发上新,是上车嘉定的入门良机;建面约145㎡全维改善,临湖赏景最后一幢收官加推,也是唯一的湖景145楼幢 ;湖畔墅居封藏正当时!

项目基础信息汇总:

作为远香湖湖居4.0迭新奢宅,招商·林屿湖畔沿袭深圳招商玺的曲面建筑美学灵感!

以游艇地标建筑美学融入远香湖天际线的一部分,形成微妙的视觉延续,在湖畔的世界级城市与慢生活之间创造新的平衡

①遴选珍材造物

以招商玺标准,臻选高品质、高审美、高可塑性的材质,呼应城市美学肌理

•铝板:手法源自深圳招商玺,大面积曲面铝板流线造型与通透玻璃设计,营造轻盈舒展的度假感

•石材:与康定壹拾玖系出同源,近人片墙大面积运用葡萄牙米黄升级版石材——沙漠风,呈现更有品质感的沙砾肌理与更温润的风格

②领先时代审美

手工感的锻造工艺匠造建筑细节的肌理,在多个维度上超越上海高端项目标准

•飞檐设计:手工匠造感呈现滨水建筑的灵动轻盈之美

•阔景画框:打造最高约0.35的超大窗墙比,超越上海常规住宅标准

•缎带叠石:大块切割打磨圆润弧度的沙漠风石材、约10cm递减旋转叠石,沿口巧藏灯带、采用密拼不打胶工艺,不计废料只为呈现卢浮宫字塔的微妙角度

•浮光门庭:门庭顶面以约6mm超薄铝板与玻璃胶囊结构,呈现具有视觉冲击力的标志性入口

酒店度假化超级公区

在社区内部景观上,招商也进行了大胆创新,别具一格的酒店度假超级公区,让人非常心动!

①隐秀湖畔的峡谷立体景观

•立体浮岛:通过地上地下丰富动线串联下沉庭院、局部风雨连廊、戏水池、行车橱窗、垂直森系景观、嵌入式会所功能,创造一座立体视觉奇观的“漂浮的绿洲”

•下沉峡谷:约420㎡丰富层次立体下沉庭院,区域首现悬浮水池,搭配4.3米飞瀑,塑造沉浸式度假感受

•游园动线:以洄游式曲折路径与风雨连廊设计,营造多重游园动线,为庭院景观赋予不同互动体验

•人景相融:甄选世界珍贵树木,实现四季沉浸式景观更迭

②沉浸的慢奢华归家体

为充分利用核心景观的独特自然风貌,将十二维归家景观体系从城市界面引入社区,让生活重回一倍速

•以奢华酒店式场景为设计理念,打造约87米艺术门庭

•步入式归家大堂,约13.7米双层归家大堂,模拟甲板视野

•独立车马院以向心视觉设计,营造度假酒店般的丰富步入视觉体验

•引入自然天光的阳光地库、下坡道及地下玄关,成就诗意归家旅程

③全维会所游艇空间

·约1200㎡立体下沉会所

对标星级酒店艺术品位、生活意趣、空间意境、松弛体验

以私宴厅、瑜伽室、棋牌室、壁球室、健身房,匹配当代精英的生活与精神需求

艺术旋转楼梯、地下光厅、区域首创国标壁球馆、飞瀑园景健身房、嵌入式景观书吧等,深度还原度假酒店质感

•约1700㎡架空空间

共计约1700㎡、最高建筑层高约7.2米架空空间,注重空间多重体验营造

以休闲下沉卡座、水吧台、休闲会客区、联动室外水池,打造酒店式度假空间

老实讲,这样的社区景观和会所、架空层配置,远超远香湖CAZ过往供应的新房,湖居4.0迭新奢宅,实至名归!

产品效果图

预约咨询热线:400-960-1656☎, 加微咨询:139 1616 5691(加微,不要来电,备注楼盘名字)

全部

相关资讯

报名成功
稍后会有专业的置业顾问联系您
返回楼盘

频道导航

返回首页

看房小程序

APP下载

电话拨通后,请您手动拨打分机号

确定拨打电话

电话号码:

分机号:(可能需要拨分机号)