「万科翡翠雅宾利」为静安内环万科翡翠系产品,地处西藏北路板块,项目西侧毗邻西藏北路一侧,南侧为中兴绿地,东侧为绿洲雅宾利花园一期。
根据意向效果图,雅宾利4期预计为开放式社区设计,采用空中花园将社区立体连接在一起:项目将会采用地面抬高3层的设计,其中3层以下为商业底盘。

外立面方面,项目整体将打造为新海派建筑地标,设计有弧线阳台、45度玻璃、双层塔冠等,设计灵感来源于蔓楼兰;立面色调方面,将采用珐琅彩色调,具体或为珍珠蓝铝板+红色纹理+金色线条,具体材料及配色还在最终确认。

小区归家动线方面,星级酒店入口对标半岛酒店,穿过12米挑高的入户大堂,将可进入小区会所,会所带植物园式泳池、女性友好健身房(会有更适合女性的运动器材、心理咨询、营养建议)等等。
一间近似美术馆的艺术会所,是社区艺术性的集中体现。对于归家大堂的艺术性探索,中興傲舍从一开始便不限于将空间简单打造为盛放艺术的容器,更包含着空间与艺术相结合的创新实践:
从海派入户旋转门推门而入,第一眼便能看到约13-15米的挑高大堂,艺术阶梯其作为艺术展示的重要空间,最大程度引入自然光,为空间打上朦胧、柔和的光感,融合左右两边的弧形柱体,犹如登山之“径”,随着脚步一步步叠加行进的趣味,沉浸的归家体验感随空间变化逐渐递增。

中興傲舍艺术大堂概念效果
二楼通过专业餐酒吧设备、艺术光厅、上海首个度假感植物园泳池等营造艺术感会所。并围绕女性业主的需求打造女性友好健身房,专属设计了适配女性的器械,例如 Eleiko 多功能架、瑜伽室、补妆间等,并配置了健康管理服务。

中興傲舍艺术会客厅概念效果
同时,售楼处本身也仿佛是一个沉浸式的艺术体验中心,逛展式购房体验,也是中興傲舍想要给客户传递的未来生活方式,在艺术的氛围中生活,居住在艺术品中,生活与产品才会同样历久弥新。
日前,新鲜出炉的今年第5次土拍结果,也应证了这个现状,优质项目竞争激烈,价格不断攀升,尤其是同属静安区的曹家渡地块(静安区曹家渡社区C050301单元9A-20地块),溢价31.2%,楼板价就达到11.41万元/㎡!

图片为内部统计 仅供参考
信息源:上海土地交易市场https://biz.ghzyj.sh.gov.cn/shtdsc/wz/
「万科·中興傲舍」均价12.86万/㎡!性价比卓越,单论这样的诚意,也很少能有开发商做到了!脱颖而出的原因显而易见!先锋产品+臻稀地段+视野格局+性价比,多个优势的王炸组合,相信在金九银十中,能有很不错的表现!

自项目8月31日实景示范体验中心开放以来,万科中興傲舍便受到了全国各界关注。据统计,项目开放后28天内累计接待客户和参观5000+组,本次开盘更是吸引了众多购房者争相抢购,9月28日开盘当天劲销41亿!成功开启了静安区楼市的新篇章。




最新消息!静安内环内,百万方中兴城最后一块拼图「万科·中興傲舍」即将加推公园首排社区中央6#楼,建面约105-180-321-350m²2-5房,直面中兴公园;往期少量建面约276-321㎡4-5房;直面约4500㎡央景景观;均价128629元/㎡;总价段约3900万起!开盘去化86%少量房源清盘在即 !售楼处线上火热预约中!
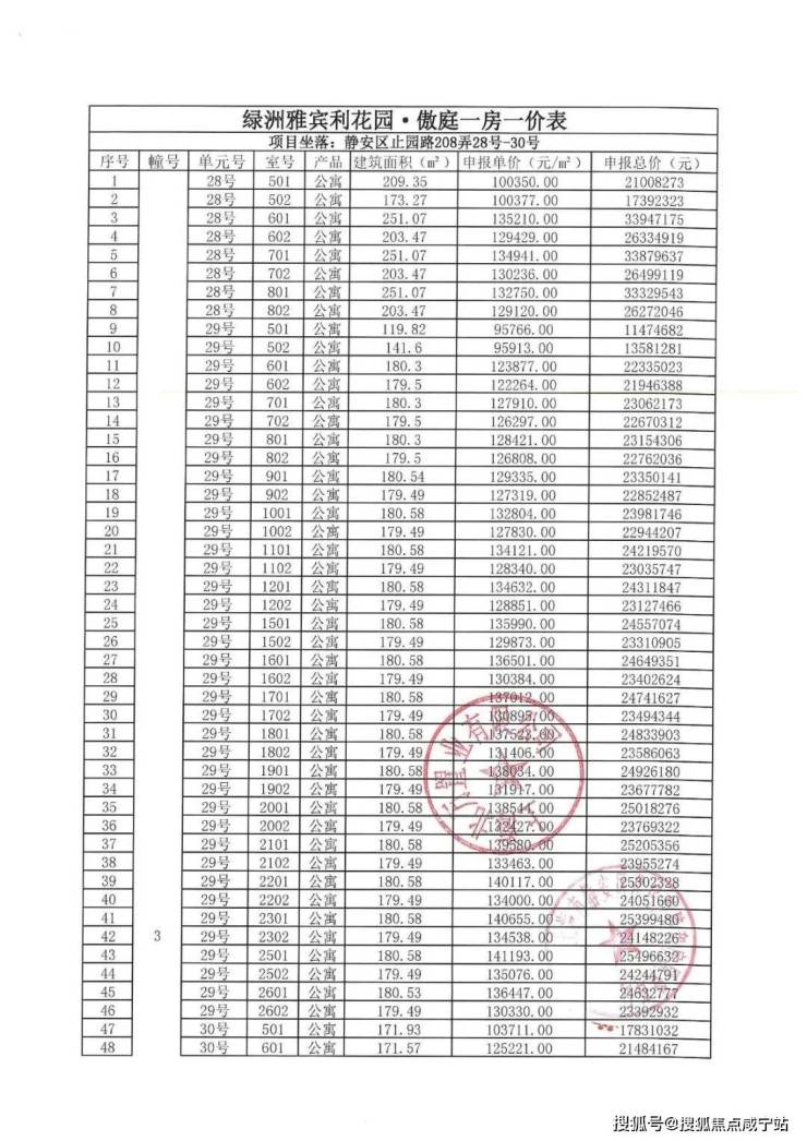
上期一房一价表如下
豪宅中,会所+泳池已经成为市场标配。但是万科中興傲舍,真正做到了 “把艺术作为生活的一部分” 。植物园泳池放在了2楼,选用了皮革面的绿色石材,营造一种树影斑驳的感觉。里面的绿植不是装饰,都是鲜活的、精心照养的。
项目实景图
继续往前走到健身区。项目还有专门为女性定制的“女性友好健身房”。专属设计了适配女性的器械,例如 Eleiko 多功能架、瑜伽室、补妆间、心理理疗室等,并配置了健康管理服务,更注重私密性。

项目实景图
这样的魔鬼细节,在公区部分更是展现得淋漓尽致。归家大堂中,参考威尼斯酒店的信箱设计,复古优雅!
项目实景图,信报箱
项目实景图,铜质手工定制接待台
项目实景图,colife日咖夜酒
中兴傲舍公区实拍图
整体看下来,万科中兴傲舍光会所面积就有约2000㎡,地上大堂面积700+㎡,地下大堂面积1700+㎡(不含架空层),架空层面积约1700㎡。它的出现,无疑是给其他项目打了一个样本。

中興傲舍此次开盘,涵盖4房、3房及2房,满足不同需求。精致两房(109㎡)空间利用极致,居住舒适度满分。品质三房(181、187、204㎡)以超宽尺度、高采光及X空间设计,享受先锋生活品质。性价比四房(239、225、249㎡)则以央景视野及私密空间实现奢适与功能的平衡。融合全球大师设计,以入微细致点亮豪宅生活。

一期户型图如下
样板间实景如下
建面约187㎡样板间:
项目效果图:





二期推出的3#楼是整盘C位,拥有近70米超大栋距,直面约4500㎡商业森感中央公园。且这个观感是立体式的,颇具层次感。

项目效果图
商业裙楼约15米挑高空间内做了错层和跃层的绿化设计,其中穿插三个“树屋”,既是景观又是商业。值得一提,商业景观有三大主场景, 分别为森感公园、九曲花街、花园大道。
其中森感公园里约40%都是超过十米的大树,绿意盎然。这也与住宅绿化体系、中兴公园的城市山林景融为一体,营造出丰富的垂直绿意体验。

项目效果图,仅供参考,以实际交付为准
地面上还有可游玩、具有参与感的水景,比如森感公园有一个休闲戏水景观,彷佛走到欧洲罗马的大广场一样,气场十足。
项目效果图,仅供参考,以实际交付为准
上海其实不缺高楼大厦,缺的是能调节快节奏,调节996的慢生活。项目约6100㎡高线公园+约4500㎡商业森感中央公园,好比城市核心的一片森林绿洲,穿行其间,绿意渗透,回到社区就能卸下一天疲惫。

高线公园实景图
绿野街区:约45度角贯穿的街区,充分将中兴公园的自然引入中心广场,打造游弋、休憩、社交式中央静谧活动区,中央广场有三个自然亲切的树屋,共同形成一个开放且亲密的城市打卡点、自然栖息点。

中興傲舍绿野街区概念效果
高线公园:以公馆花园为概念,用现代手法打造社区高线公园,形成花廊花园、艺术花园、绿宝石花园三大花园,以及沙龙游园-秘享游园-春嬉游园-台阶游园-宠物游园-朝阳游园-空桥游园等七大游园体系,带来丰富且有趣的自然体感。

中興傲舍高线公园概念效果
步行体验 为每个人规划不同动线 ;中興傲舍项目,基于人的关系的角度去设计动线,在高混的业态中,为住宅用户创造私密性和独立性,如到达高线公园这一层都有门禁,只有住户能够抵达,从而将简单的道路线条演变为丰富的空间内容:出与入的记忆、城市与社区的联系、公区与私域的桥梁。

中興傲舍住宅入户动线,每栋入户方向以实际交付为准
归家动线:建立在混合业态的基础上,住宅用户归家,可以通过专属独立大堂的艺术阶梯或者周边电梯,垂直抵达三层/四层归家花园道,实现情绪归家。在花园内可以通过风雨连廊实现无风雨归家。

中興傲舍漫游归家概念效果
地库动线:地库光厅以“艺术、质感”为设计理念,打破常规车库“阴暗”的印象,让光成为回家的方向。且住宅地库通道单独分区,并拥有整个地库最大的权限,预留有两个可直通商业的电梯厅,由住宅地库可以便利直达地上商业,但同时又设置有安全的门禁控制,防尾随,充分满足了住宅用户的安全性和私密性的需求。


中興傲舍地下车库概念效果
物业流线:外卖与快递设置有独立的运送通道,集中收取,并由物业配送到户。此外,项目还专门设置了一条后勤通道,垃圾运送与后勤服务皆通过这条通道运输抵达,保证了住户归家动线的整洁有序。
宠物友好动线:项目特意设置了一条宠物友好动线,这是一条纯室外动线,避免了宠物家庭从室外-室内电梯-室外的复杂流程。天气好的时候,业主可带着孩子或者宠物,从高线公园通过户外连桥与户外景观楼梯,直达一楼中央公园,实现漫游赏景归家。

万科翡翠雅宾利周边环伺南京路人民广场商圈、不夜城商圈、四川北路商圈、陆家嘴商圈、静安寺商圈、大宁商圈等多个商圈。
项目距离轨交8号线中兴路站仅500m,两站路即可到达人民广场;距离4号线宝山路站约800m,3号线东宝兴路站900米,项目1km距离内拥有3条轨交环绕,出行非常便捷。
项目毗邻南北高架、内环高架,可快速到达人民广场、陆家嘴、静安寺等CBD。周边商业、教育及医疗等各方面配套都较为完善。1km范围内有虹口龙之梦及大悦城两大购物中心。
项目周边有市北高级中学、青云中学、闸北区第三中心小学、上外附属苏河湾实验学校、芷江中路幼儿园、永兴路幼儿园。
医疗方面:有第一人民医院、长征医院、闸北中心医院、中医医院、上海市第十人民医院。
项目对面是占地4万㎡集中绿地,可咫尺俯瞰内环四大绿地之一的中兴绿地。

静安内环内「万科·中興傲舍」三期加推建面约105-350㎡2-5房,即将入市!