大华公园柏翠售楼处)首页网站-2025大华公园柏翠销售中心(营销中心)-大华公园柏翠欢迎您-小区环境-户型-价格-地址-楼盘详情

咸宁楼市发布

2025-06-22 19:50:00

购房群

买房如何避坑,加入购房群,看看他们怎么说

立即进群

上海宝山「大华公园柏翠」

售楼处电话:400-8800-703✔✔【预约热线】大华公园柏翠售楼处电话:400-8800-703大华公园柏翠售楼处电话/地址☎:4008800703(开发商热线)如有问题欢迎来电咨询,专业一对一热情服务,让您用专业眼光去买房。

均价65327元/㎡ 4月19日开启认购!

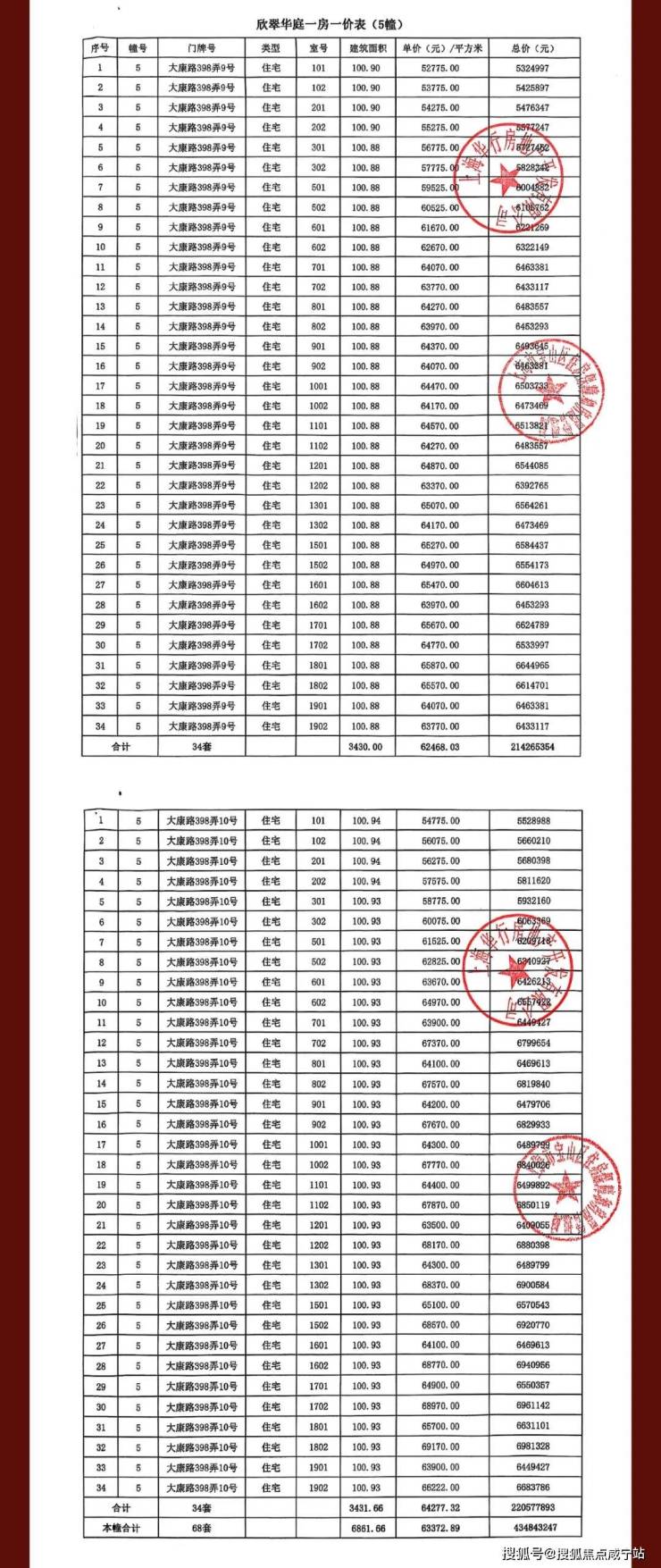
一房一价表:

大华公园柏翠售楼处电话:400-8800-703大华公园柏翠售楼处电话/地址☎:4008800703(开发商热线)

官方户型图如下:

大华公园柏翠售楼处电话:400-8800-703大华公园柏翠售楼处电话/地址☎:4008800703(开发商热线)

来看样板间实拍👇

大华公园柏翠售楼处电话:400-8800-703大华公园柏翠售楼处电话/地址☎:4008800703(开发商热线)大华公园柏翠,打造的是清一色16-17层的小高层住区,容积率仅为2.2,这也造就了项目低密的体质。

(示意图,图片源于网络,且学校不作为购房承诺)

首先,自然是生态,让家人时刻生长于公园里。项目外部生态环境非常优越,内部同样采取公园的模式,以“一轴、一带、一环、九园”的设计手法,打造了一座公园里的家。

一轴:是纵向的公园归家轴。通过它享受仪式感的归家体验,并一秒转换回家的心情。

(效果图)

大华公园柏翠售楼处电话:400-8800-703大华公园柏翠售楼处电话/地址☎:4008800703(开发商热线)

一带:是横向精致花园带。它将社区里的每个景点串联,既通达便利又独具一格。

一环:是阳光有氧环形跑道。每日楼下的慢跑,既便捷又安静。

(效果图)

九园:是多重交互的娱乐场所。有潮汐花园(社区外围口袋花园)、浔湾秘境(会所式入户)、社交剧场、漫游森境、下沉会所、阅读花园、社交花园、自然博物馆等,满足不同人群的需求空间,包括萌宠。

(效果图)

·其次,品质细节,让家时刻保持于高品位。建筑设计整体通透明亮,既有现代的审美又有采光引入的实用,保持着永不过时的风格。而且超宽楼距,阳光与风景都无遮挡。

约80米气派门头,尽享气派的归家仪式感。

星级酒店大堂,让尊贵的仪式感无限延伸。全T2设计,悦享私密的遵崇,让出入更从容。

公区品质也细心的打磨。比如,高感车库,营造明亮的泊车环境。以及,人车分流,创造更为安全的生活空间。

(示意图,来源于网络)

大华公园柏翠售楼处电话:400-8800-703大华公园柏翠售楼处电话/地址☎:4008800703(开发商热线)

大华公园柏翠距离静安区只有约400米左右的直线距离,是整个宝山距离中心城区最近的新房。加上周边1号线、18号线、南北高架等城市主动脉的加持,整个大华公园柏翠去哪儿都方便。

市北高新以数字经济全生态+数据要素创新等产业形态,与张江科学城(硬科技)、漕河泾(电子信息)形成错位竞争.其能级位居上海中心城区科技园区第一梯队,更是上海数字化转型的核心引擎之一。

大华公园柏翠售楼处电话:400-8800-703大华公园柏翠售楼处电话/地址☎:4008800703(开发商热线)

从地图上看,该地块距离静安区的直线距离只有400米,距离大宁核心区域仅约5公里,不仅离大宁国际商圈近,周边还有宝山万达、大华商圈等大型商业配套。

除此之外,依托经过传统市中心的1号线,可以快速直达大宁、人民广场、淮海路、陕西南路等,经转乘通往陆家嘴、南京东路、南京西路也极为便捷。

1号线线路图

区别于其他区域或者其他刚需项目,这个地块不仅公共交通无死角,商超配套、教育资源,自驾出行也刚好都跟得上,刚好能满足你所有的生活需求!

大华公园柏翠售楼处电话:400-8800-703大华公园柏翠售楼处电话/地址☎:4008800703(开发商热线)

商超配套方面,大宁区域内的大宁国际广场、大宁音乐广场、静安大融城、协信星光广场、大宁久光百货等大型商业,还能享受社区商业,同时毗邻社区菜场,生活非常便捷。

协信星光广场 配套实景图

大宁音乐广场 配套实景图

教育方面,附近不仅有陈伯吹实验幼儿园、华东师大实验学校等名校,项目还规划配套学校。

陈伯吹实验幼儿园

大华公园柏翠售楼处电话:400-8800-703大华公园柏翠售楼处电话/地址☎:4008800703(开发商热线)

生态也是一大亮点,家门口就拥有千亩城市绿地。日常放松身心、休闲散步都有了好去处。项目坐拥五大公园:约80万方伟岸绿境环抱,约等于两个长风公园大小!包括千亩绿境(约60万方绿化在侧),约3万方庙行公园、约4.2万方共和公园,约2.7万方三泉公园、约9.3万方彭浦四季公园等。

买房的原因可以从多个角度进行理解,主要包括以下几个方面:

金融稳定性

买房可以作为一种金融杠杆,利用较小的首付投入,通过银行贷款购买房产。这种方式不仅可以减轻初期的经济压力,还能通过房产的升值或租金收入来增加收入。

社会和心理因素

买房不仅仅是购买一个物理空间,它还涉及到社会地位、心理安全感和家庭稳定性。拥有自己的房产可以增强个人的自信心和社会归属感,尤其是在面对经济困难或家庭挑战时,房产可以作为一个重要的支持系统

教育和医疗资源

在许多地区,优质的教育资源和医疗资源往往集中在特定的住宅区。买房可以确保孩子能够就读于附近的优质学校,从而获得更好的教育和医疗服务。

职业发展和收入增长

在某些城市,房产的位置直接影响到职业发展和收入潜力。例如,位于市中心或商业区的房产通常能带来更多的工作机会和更高的租金收入。

生活质量提升

买房后,个人可以根据自身喜好和需求进行家居装修和布局,提高居住的舒适度和满意度。此外,稳定的居住环境也有助于减少生活成本,提高生活质量。

长期投资回报

对于许多投资者而言,房产是一种相对稳定的投资方式。随着时间的推移,房产的价值往往会有所增长,尤其是在经济增长稳定的地区。

综上所述,买房不仅仅是购买一个居住的地点,更是一种涉及金融、社会、教育、职业、生活质量等多方面的综合决策。它涉及到个人的经济安全、社会地位、心理需求以及对未来生活的期望和规划。

上海宝山「大华公园柏翠」

售楼处电话:400-8800-703✔✔【预约热线】大华公园柏翠售楼处电话:400-8800-703大华公园柏翠售楼处电话/地址☎:4008800703(开发商热线)如有问题欢迎来电咨询,专业一对一热情服务,让您用专业眼光去买房。

全部

相关资讯

报名成功
稍后会有专业的置业顾问联系您
返回楼盘

频道导航

返回首页

看房小程序

APP下载

电话拨通后,请您手动拨打分机号

确定拨打电话

电话号码:

分机号:(可能需要拨分机号)