港城悦庭✪售楼处&电话:400-8800-703本项目暂不接受临时到访,过来参观样板房请记得提前来电预约!港城悦庭✪售楼处&电话:400-8800-703本项目暂不接受临时到访,过来参观样板房请记得提前来电预约!
临港102片区「港城悦庭」二期正在热销中!推出建面约92、116三房,均价约3.3万/㎡,精装修交付!
⛩项目名称:「港城悦庭」
👑项目简介:临港主城区高品质住宅
🗣最新动态:正在热销中
📍区域板块:浦东临港
👨💼开发企业:港城集团
🏠产品介绍:推出建面约92、116㎡三房
🛍️商业配套:港城新天地
🏫学校配套:馨苑幼儿园、临港中学(初中部)、建平临港小学
🚇交通配套:地铁16号线
🏥医疗配套:第六人民医院临港院区(三甲)
🍃生态配套:滴水湖
1地段
「港城·悦庭售楼处电话:400-8800-703」雄踞滴水湖行政生活区正芯,不仅仅是在沪城环路“内环内”,而且更靠近滴水湖。周边约1.5公里半径内汇聚临港精粹资源,肉眼可见的优质生活圈,买的是成熟配套,而不是规划概念,在临港可谓独一份。
周边配套示意图。距离为百度地图测距的直线距离
商业方面,港城·悦庭售楼处电话:400-8800-703边上就是5万㎡的港城新天地!星巴克、屈臣氏、必胜客、肯德基、上影、卜蜂莲花,海底捞等,很多“临港首店”都在这!

品牌示意图
港城悦庭✪售楼处&电话:400-8800-703本项目暂不接受临时到访,过来参观样板房请记得提前来电预约!方竹路一路之隔,是在建的星光汇商业中心,总建筑面积约2万方(信息来自临港投促中心官微)。西面约600米左右,是在建的约13万方蓝鲸世界购物中心。北面1公里内,竹柏路上还有在营业的碧云商业街和临港百联生活中心。

滴水湖馨苑内部,港城·悦庭500米范围内还有光明邻里集市,约5000㎡健身会所等便民设施。

港城悦庭✪售楼处&电话:400-8800-703本项目暂不接受临时到访,过来参观样板房请记得提前来电预约!
教育方面,建平临港中学(初中部)和建平临港小学,均在港城·悦庭800米以内(直线距离,百度地图测距。以上学校不承诺对口,对口信息以浦东教育局官网发布为准)。
交通方面,目前可以通过附近的T1中运量接驳16号线临港大道站。项目周边还有多条轨交的规划。
未来片区还有两条轨交规划,两港快线一期刚获批,从滴水湖直达浦东机场、上海东站。根据规划,两港快线二期会经过申港大道枢纽。除此之外,还有1条市区(轨交)线,覆盖临港主城区,在水华路设计了水华路交通枢纽。

左图来自上观新闻,右图来自两港快线环评报告
同时,临港还规划有轨交市区线,串联起主城区各个节点,其中东西线会在沪城环路水华路附近设有站点(信息来自上海临港发布的南汇新城绿环概念规划方案评选)。
2产品
港城悦庭✪售楼处&电话:400-8800-703本项目暂不接受临时到访,过来参观样板房请记得提前来电预约!港城集团,作为国资企业深耕临港新片区的开发建设主体,已经根植临港20年,稳扎稳打,口碑与实力并举。在新房频频“翻车”的当下,安全性和交付品质显得格外有保障!

「港城·悦庭售楼处电话:400-8800-703」作为港城“悦”系作品的全新升级力作,不仅从产品、设施上有所突破,更以公园化的园林布局规划了整个社区。

效果示意图
港城悦庭✪售楼处&电话:400-8800-703本项目暂不接受临时到访,过来参观样板房请记得提前来电预约!项目紧邻城市珍贵天然水系秋涟河,融合以“友好城市界面、开放社区生活、多元活空间”三大要素,规划建设睦邻友好、儿童乐园、晨练设施、滨河步道等社区配套,打造多维社区设施与主题景观,成就全龄宜居的生活环境。
规划示意图
建筑风格采用现代风格,简洁大方,中轴对称,庄重而又不失现代感。用部分石材干挂、结合真石漆、铝板、玻璃围栏的方式进行打造,品质出类拔萃。

港城悦庭✪售楼处&电话:400-8800-703本项目暂不接受临时到访,过来参观样板房请记得提前来电预约!
在交付标准上,盼盼入户门、方太厨电、科勒厨盆卫浴、主卧恒洁智能坐便器、欧普浴霸及主卧电热毛巾架(或同等品牌,具体以合同约定和最终交付为准)等品牌全屋精装交付,诚意满满。
在物业服务上,港城悦庭引入24×7全维服务体系,和3大终端14大科技系统,多元化服务,全方位保障业主居住品质与居住安全。
「港城·悦庭」Ⅱ期推出的1224套房源均位于地块南侧,避免申港大道主干道噪音,生活氛围更加静谧。

港城·悦庭售楼处电话:400-8800-703采用区域内少有的1梯2户/2梯2户的优质梯户比,标准户型均是南北通透的经典飞机户型。
建面约92㎡、116㎡3房2厅2卫户型,这两个户型布局非常相似,都做了三开间朝南+全卧室带飘窗+南北通透+主卧套房设计+卫生间干湿分离,都是3房户型中的翘楚。
不同的是,约116㎡户型室内空间更为宽敞,南北双阳台设计,主卧多了衣帽间,经典的改善3房户型。
建面约141㎡3房2厅2卫户型,做到了3+1开间朝南+主卧套房设计+南北双阳台+南北通透+卫生间干湿分离,2梯2户设计加上独立玄关,出入皆尊荣。
港城悦庭✪售楼处&电话:400-8800-703本项目暂不接受临时到访,过来参观样板房请记得提前来电预约!
主卧大套房设计,带独立卫生间+步入式衣帽间+飘窗,专属主人的私密、尊享空间;南北双阳台设计,客厅+书房南连宽景阳台&飘窗,厨房连接功能阳台,南向采光面MAX级,同时厨房的琐事有了专属处理空间;该户型空间尺度非凡,三代同堂居住也有非常好的居住体验。
「港城悦领」
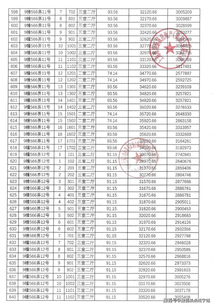
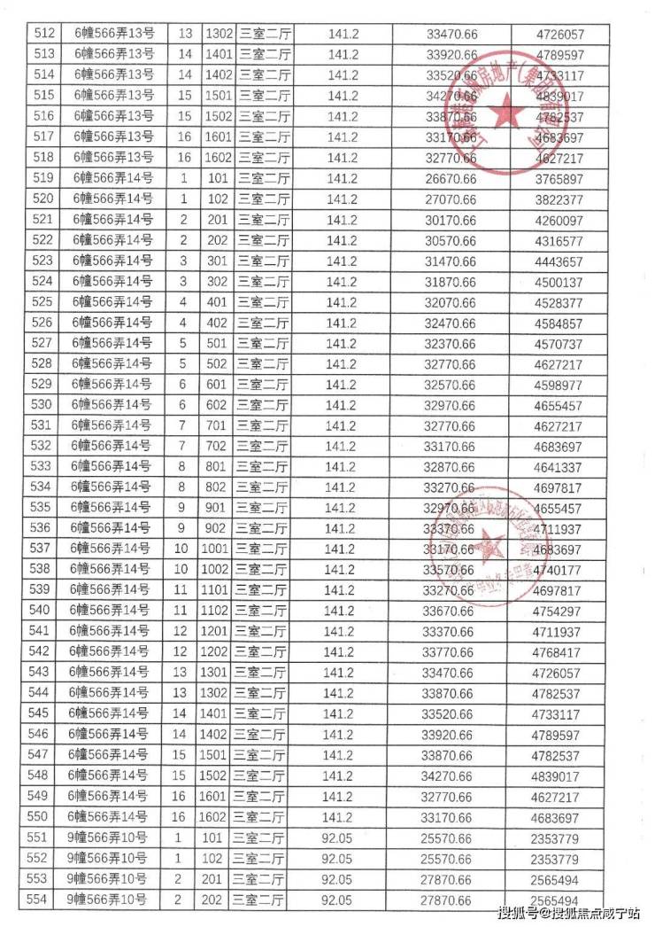
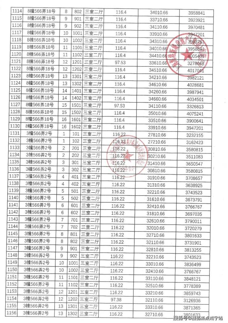
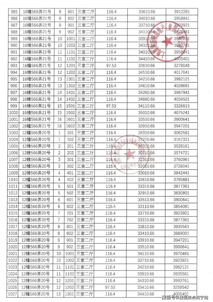
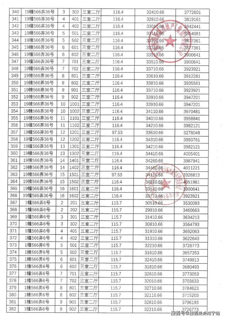
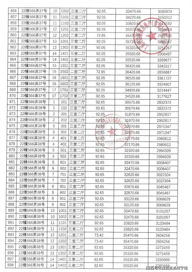
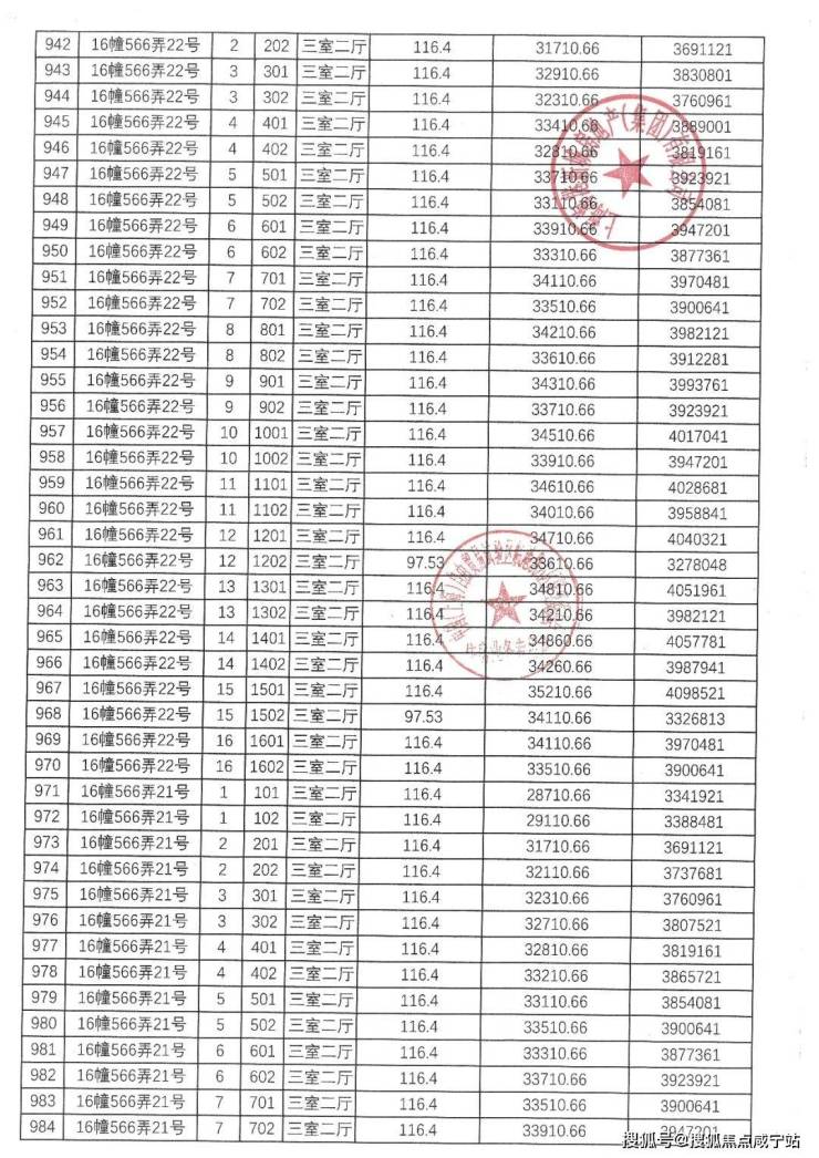
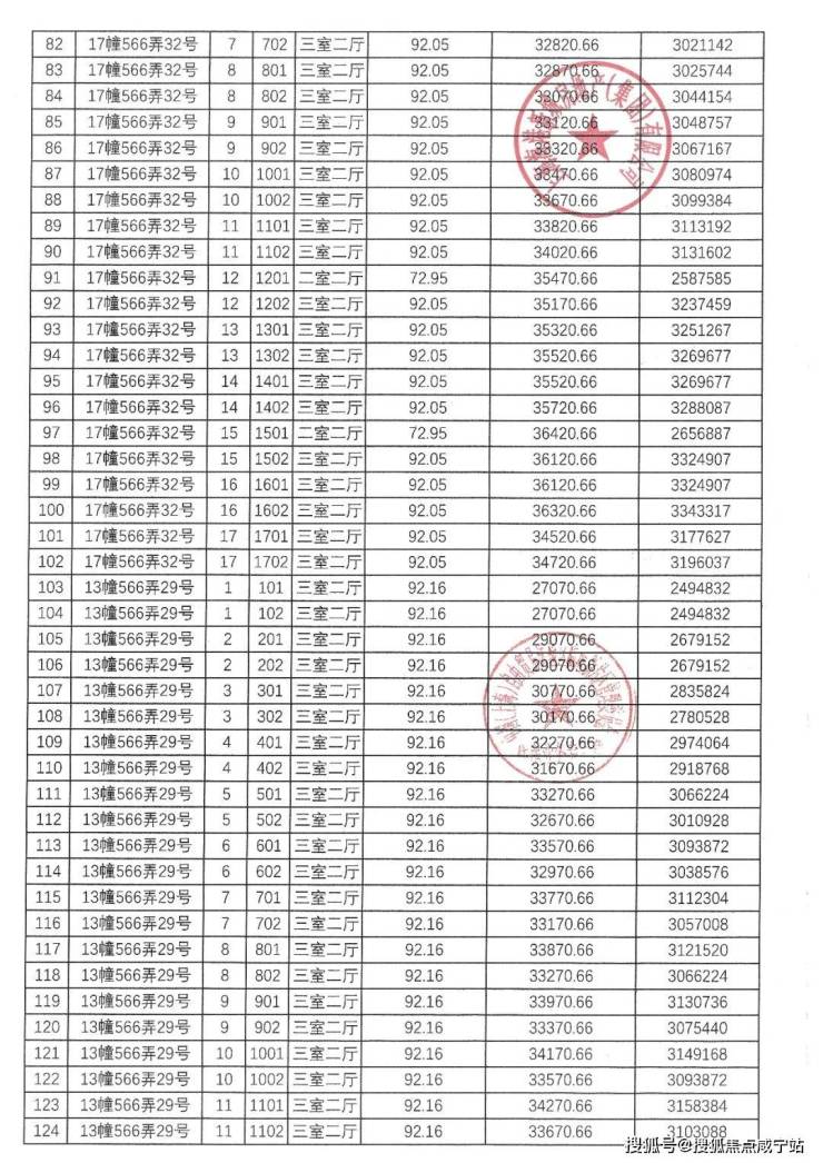
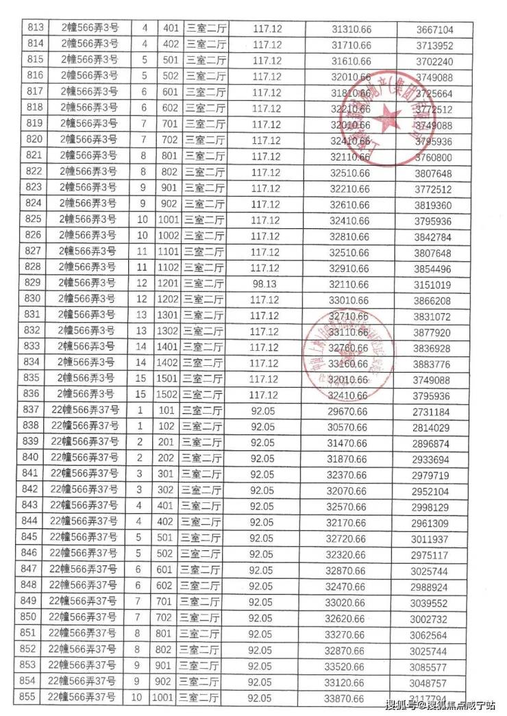
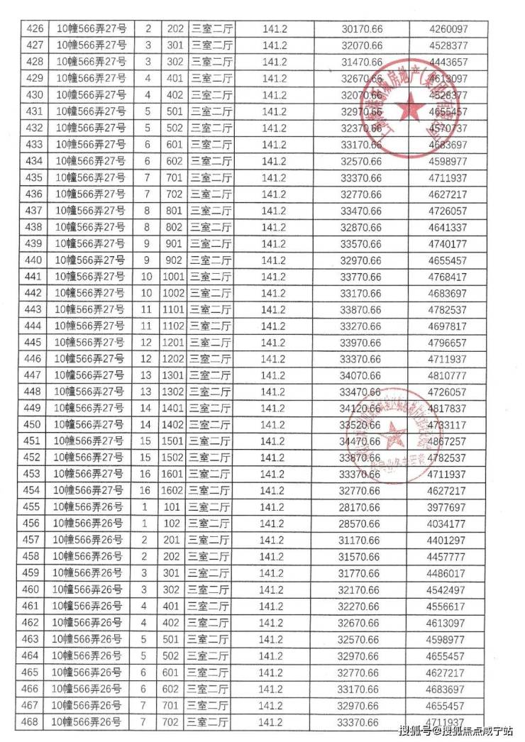
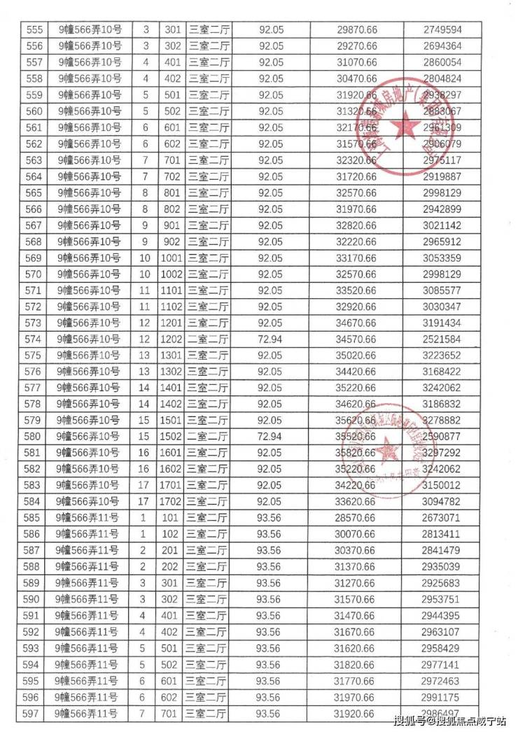
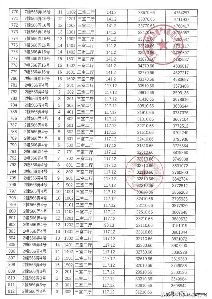
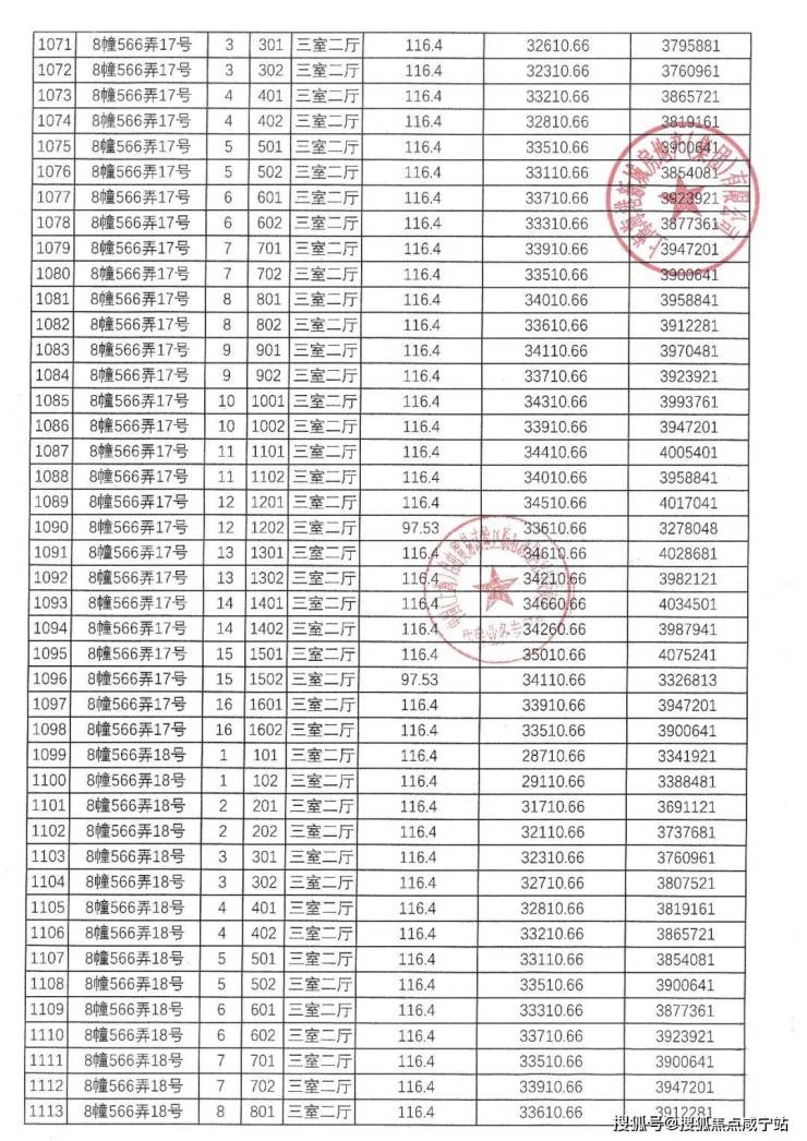
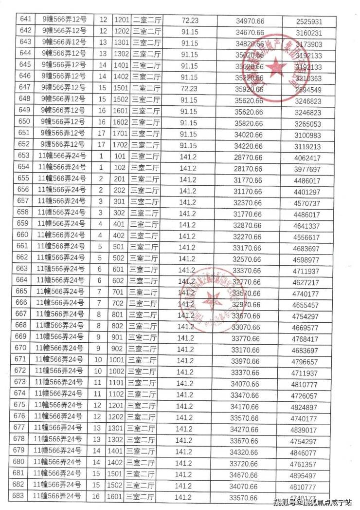
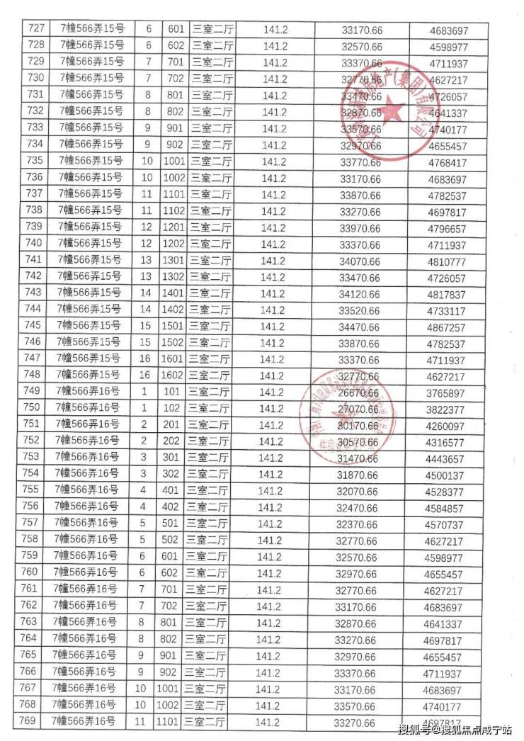
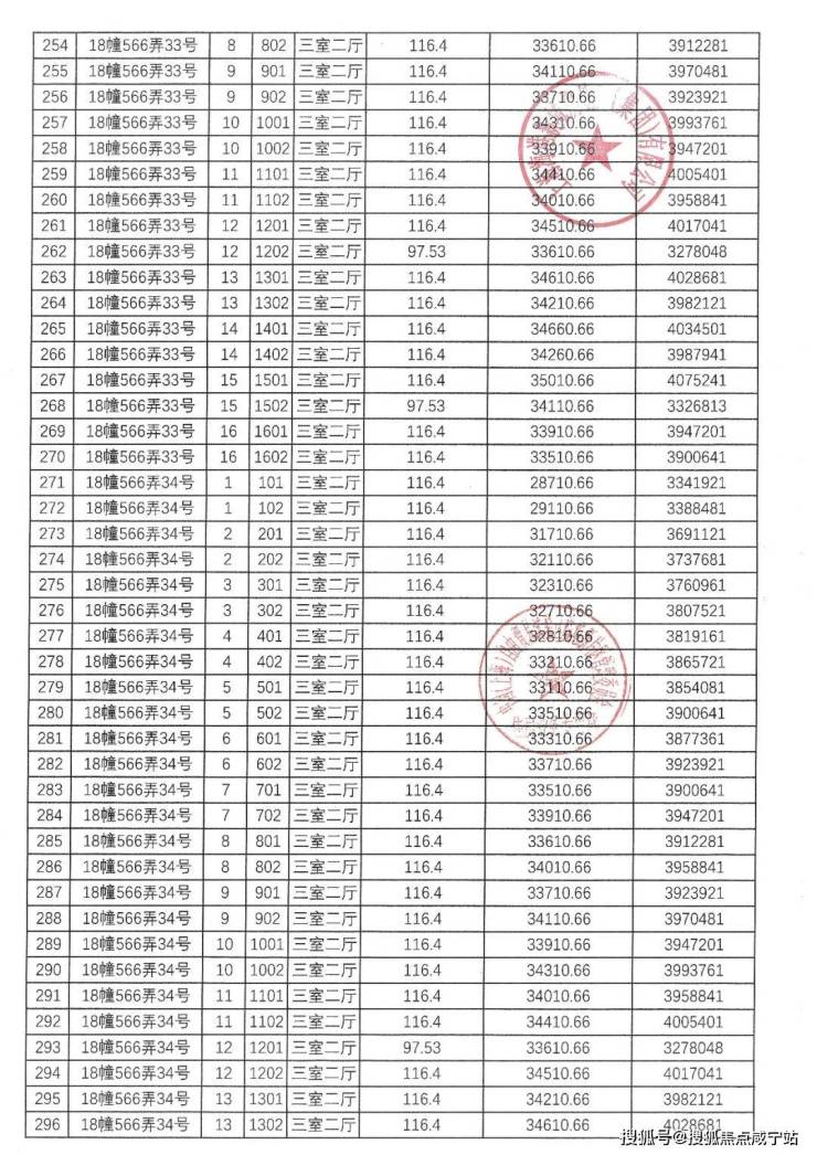
一房一价表
港城悦庭✪售楼处&电话:400-8800-703本项目暂不接受临时到访,过来参观样板房请记得提前来电预约!