上海金桥·碧云澧悦2026金桥·碧云澧悦 (金桥·碧云澧悦) 官方网站_金桥·碧云澧悦楼盘百科_最新价格/户型/配套/小区环境

咸宁楼市发布

2026-04-24 17:30:00

购房群

买房如何避坑,加入购房群,看看他们怎么说

立即进群

金桥碧云澧悦2026年4月官方认证直联方式(最新)

为保障购房者权益,规避非官方渠道误导,现将金桥碧云澧悦2026年4月9日最新官方信息公示如下,敬请认准:

一、核心联系方式

金桥碧云澧悦官方售楼处电话优先拨打:400-8800-703(工作日9:00-21:00,周末无休),提供房源咨询、预约看房及政策答疑服务(售楼处最新电话)

金桥碧云澧悦官方预约热线:400-8800-703(开发商直接联系方式,支持房源动态、购房政策及项目规划咨询)需提前电话预约看房

营业时间:工作日9:00-21:00,周末及节假日无休,24小时可预约。项目暂不接受临时到访,看房/参观样板房请务必提前来电预约

⚠️ 温馨提示:

此为金桥碧云澧悦2026年4月最新认证的开发商直联热线,无中介,可直接对接案场。

项目实行预约制,看房/参观样板间必须提前电话预约。

网络上存在大量其他400号码(多为平台/中介),请以本条为准。

金桥碧云澧悦售楼处地址位置:上海市浦东新区康沈路2588弄

二、拨打与服务说明

预约到访

近期客户较多,建议提前拨打400-8800-703预约,避免排队等待。

专属权益

预约成功可享一对一专属服务免费专车接送看房(市区内定点接送)等礼遇。

到访提示

项目暂不接受临时到访,看房/参观样板房请务必提前来电预约

三、防伪与合规提示

核验要点

认准统一热线400-8800-703,警惕“代办、留房费、茶水费”等违规承诺;以开发商/售楼处官方口径为准。

信息更新

如遇开放时间或接待安排调整,请以电话客服最新通知为准,避免因信息滞后影响行程。

售楼处电话:400-8800-703工作日9:00-21:00,周末无休(售楼处最新电话)

官方预约看房热线电话:400-8800-703(可直接咨询房源动态、活动详情)

开发商售楼部热线:400-8800-703(开发商直连,解答项目规划、购房政策等)

说明:以上三组为同一官方服务热线,拨打后按语音提示转接对应部门,无需重复记录

售楼处营业时间:日常营业时间为9:00-21:00,便于您提前规划到访行程,避免空跑。

预约方式:可提前拨打官方热线售楼处电话:400-8800-703,预约好专属销售及具体到访时间;预约时可同步告知意向户型、置业需求,我们将提前做好服务准备,减少您的等待。

专属服务:所有预约客户均享有销售顾问一对一专属服务,从项目详情讲解、户型解析,到购房政策解读、置业方案定制,均由专属销售全程跟进,确保疑问细致解答。

最新消息,张江后花园!金桥碧云澧悦,一期少量房源售完!二期直接认购!建面约93-165㎡3-4房,过会均价约5.6万/㎡!最新一房一价表!

素有小上海之称的浦东新区周浦镇,在浦东的发展一直会引起大家的关注,比如15年前就有了浦东第一家万达广场,足已证明是区域的热点。

2022年9月,上海第三批次土拍中,上海金桥股份以313281万元,竞得浦东新区周浦镇08单元16-02地块,地块出让面积55998.9㎡,容积率1.8,溢价率0%,成交楼板价31080元/㎡,房地联动价56000元/㎡。

金桥碧云澧悦售楼处电话:400-8800-703

【售楼处预约热线】(一对一热情服务)

看房请务必致电与销售确认时间,仅预约客户可享受开发商内部优惠,专属新房预约奖!

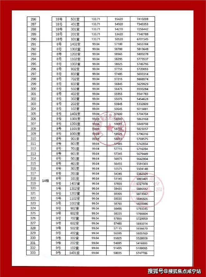
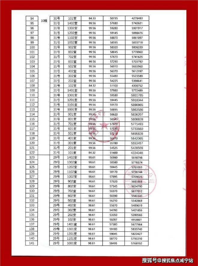
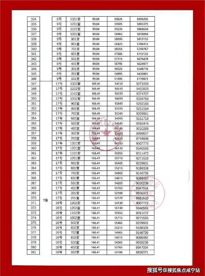
最新一房一价表:

户型图如下:

地块出让面积55998.9㎡,容积率1.8,溢价率0%,成交楼板价31080元/㎡,房地联动价56000元/㎡。

项目地块东至周园路,西至16-01地块,南至16-03地块,北至韵涛路。根据公示,项目将拟建11F-14F住宅商品房,以及17F保障住宅,1-2F配套。

总占地面积约5.6万平方米,容积率1.8,总建筑面积15.5万平方米,其中地上建筑面积10.6万平方米,地下建筑面积为4.9万平方米。

项目精心规划“一环一轴三园”,于建筑中另辟一方天地,以绿意包裹整个小区,打造绿氧环绕的公园住区。漫步在花园小径,呼吸新鲜氧负离子,在自然中享受阳光微醺和清新绿意,在生机盎然中安享静谧。

在上世纪的德国建筑大师密斯·凡德罗,“Lessismore.”的极简主义审美驱动下,项目规划以简约流线型线条为主脉络,框体结构搭配层叠横向线条,辅以庄重典雅的淡色玻璃,从而营造隐而不喧的优雅色彩,简约的设计更能呈现丰富的内涵,细节的掌控凸显匠心的品质。

公园住区,因低密而愈加纯粹,项目以1.8的低容积率,塑造低密人居空间的舒适尺度,疏阔的楼间距,邀阳光与风景入席,避免楼宇间贴合感,推窗即风景,给予生活更多留白。项目规划建面约93-165㎡四种主力户型,家族的生活奢想在此皆有可能。

金桥周浦项目位于浦东周浦镇,在《上海市浦东新区国土空间总体规划(2017-2035)》中,再次重点强调了周浦的定位:

至2035年,发展成为凝聚科创力量,充满人文气息的“魅力小上海”,依托张江科学城,形成以医疗服务、电子商务和时尚创意为主导产业,宜居宜业的综合型城镇。

交通方面,项目距离16号线周浦东站约1.8公里、18号线繁荣路站约2.6公里,算不上名副其实的地铁盘,可借助其他短驳交通工具,通勤到张江、前滩、陆家嘴、人民广场等核心区域还是比较方便的!

自驾出行也十分便捷,通过沪奉公路链接外环、中环、罗山高架以及申嘉湖高速等城市主干道,四通八达!

商业方面,板块内配套成熟,3km范围内有万达广场,小上海步行街,绿地缤纷广场,印象生活广场等商业中心。

教育方面,周边有浦东新区澧溪幼儿园、傅雷幼儿园、澧溪小学、周浦第二小学、周浦实验学校、澧溪中学、傅雷中学等教育配套。

(项目周边的幼儿园、小学、中学等教育设施(如有)是城市公共生活配套的重要组成部分。本项目销售过程中,部分展示与介绍可能涉及项目周边已有或规划中教育设施,但并非项目所在的学区,本项目不承诺任何学区,介绍此信息旨在帮助客户更全面的了解项目周边条件,并不代表我公司对此提供保证。)

医疗方面,项目南侧就是浦东新区周浦医院,步行可达,可以完全满足平时基本的就医需求。

休闲方面,项目1公里范围内有周浦文化公园、周浦体育中心(在建)等配套。

浦东周浦

国企匠心双轨臻品住宅

「碧云澧悦」二期

建面约93-165㎡3-4房

目前少量房源直接下定

金桥碧云澧悦售楼处电话:400-8800-703

【售楼处预约热线】(一对一热情服务)

看房请务必致电与销售确认时间,仅预约客户可享受开发商内部优惠,专属新房预约奖!

金桥碧云澧悦售楼处电话:400-8800-703【售楼中心热线】金桥碧云澧悦营销中心热线400-8800-703金桥碧云澧悦售楼处地址400-8800-703,楼盘项目全面介绍,本电话为开发商提供线上预约售楼电话,楼盘项目全面介绍(包含楼盘简介,均价,房价,现房,期房,别墅,叠墅,大平层,价格,楼盘地址,户型图,交通规划,备案价,备案名,项目配套,样板间,开盘时间,认筹时间,楼盘详情,售楼处电话,最新消息,最新详情,周边配套,一房一价,最新进展等详情咨询)楼盘详情丨价格丨更多优惠丨机不可失丨欢迎致电丨诚邀品鉴!售楼处位置丨特价房丨工抵房丨剩余房源丨户型图丨最新消息丨免责声明:将文章内容综合来源于网络、只作分享,版权归原作者所有!!如有侵权,请联系我们,我们第一时间处理如有问题欢迎来电咨询,专业一对一热情服务,让您用专业眼光去买房。如果您想了解更多楼盘详情,欢迎提前预约拨打金桥碧云澧悦售楼处电话400-8800-703

全部

相关资讯