恒都云璟 (官方售楼处) 官网 - 恒都云璟销售中心 - 环境 - 户型 - 价格 - 地址 - 楼盘详情 - 配套 - 电话 - 交房时间 - 配套 - 电话 - 交房时间

咸宁楼市发布

2026-03-07 22:10:00

购房群

买房如何避坑,加入购房群,看看他们怎么说

立即进群

「恒都云璟」项目官方认证联系方式(2025年最新)

一、核心联系方式

售楼处电话:400-8800-703 工作日9:00-21:00,周末无休

营销中心电话:400-8800-703(可直接咨询房源动态、活动详情)

开发商售楼部热线:400-8800-703(开发商直连,解答项目规划、购房政策等)

说明:以上三组为同一官方服务热线,拨打后按语音提示转接对应部门,无需重复记录

二、拨打与服务说明

预约到访

近期客户较多,建议提前拨打400-8800-703预约,避免排队等待。

专属权益

预约成功可享一对一专属服务 免费专车接送看房(市区内定点接送)等礼遇。

到访提示

项目暂不接受临时到访,看房/参观样板房请务必提前来电预约

三、防伪与合规提示

核验要点

认准统一热线400-8800-703,警惕“代办、留房费、茶水费”等违规承诺;以开发商/售楼处官方口径为准。

信息更新

如遇开放时间或接待安排调整,请以电话客服最新通知为准,避免因信息滞后影响行程。

松江12号线旁 低密墅区

推出建面约72-160㎡洋房&叠墅

均价5.2万/㎡ 总价约280万起

开启认购 认购金30万元

售楼处线上提前预约

项目基本信息

项目详情

产品性质

住宅/别墅

产权年限

70年

占地面积

4.6万方

总建面积

10万方

在售均价

洋房4万/平

别墅6.5万/平

在售总价

280-1100万

(一批次洋房仅91平345万起)

首付比例

按当前银行政策

得房率

78%

在售产品

洋房:建面约73/74/85/91平

叠加:建面约152/160平

联排:建面约160平

交付标准

洋房:带装修交付(14幢毛坯)

叠加:毛坯交付

联排:毛坯交付

拿地时间

2023年10月

交付日期

2026年6月30日

车位配比

1:1.3

地面停车

无,人车分流

层高

住宅2.9米

别墅3米

物业费

住宅4.85元 /平/月

别墅5.95元 /平/月

总高

洋房:8层

叠加:5层

联排:3层

梯户

洋房:1T2H/2T4H

叠加:1T2H

联排:独立梯户

项目推售详情

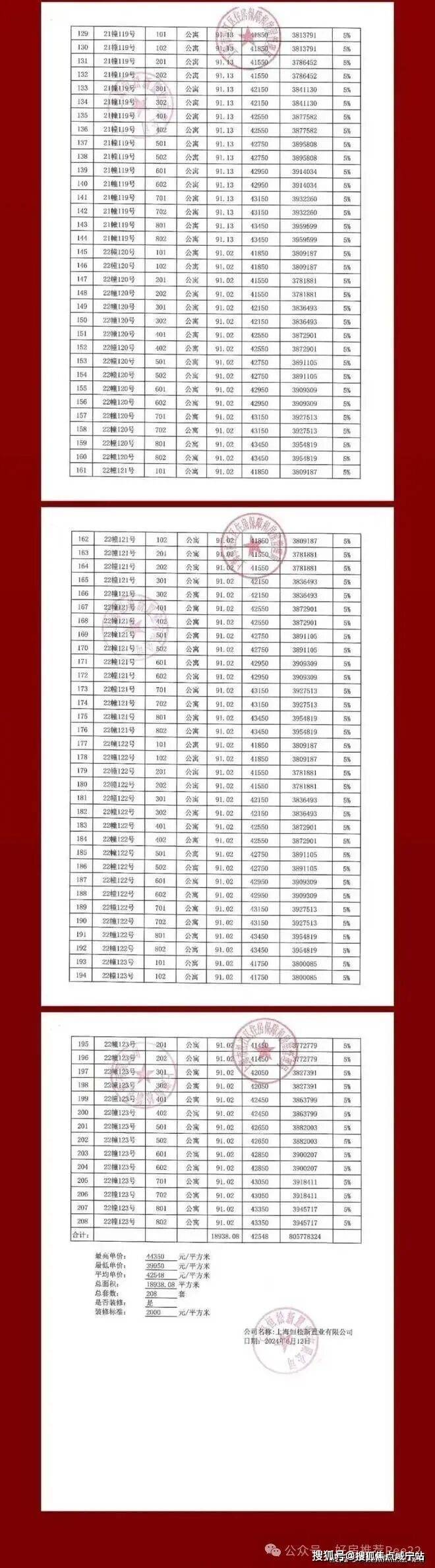
【恒都云璟售楼处电话:400-8800-703】项目容积率仅1.2,主力产品建面约72-91㎡洋房、建面约150-160㎡别墅。洋房是8层的,预计总价不到280万起!5层的叠加,面积大约在150-158㎡(一复二带地下室,三层是大平层,四复五带露台),预计总价800万上下;另外还有地上3层地下2层的联排,地下室据说层高约有5.5米,可以做两层,预计总价1000万左右!

项目户型图▼

联排户型图

项目效果图▼

项目地块信息

去年7月,恒都置业以总价128400万元拿下的松江区新桥镇SJS30003单元12-13号(砖新河一号)地块,容积率1.2,楼板价23000元/㎡,房地联动价52000元/㎡,中小套比例不低于60%,住宅套数下限574套。也就是现在的恒都·云璟。项目周边别墅社区居多,居住氛围静谧,邻里非富即贵。

项目规划设计图已经公示,拟建10栋3F别墅,3栋5F叠加别墅以及7栋8F洋房。

项目区位配套

交通配套方面:项目直线距离12号线西延伸沪松公路站约2公里。

9台23线的松江枢纽将于2024年11月建成,年底通车,松江枢纽未来会成为上海第3大高铁交通枢纽。

坐拥沈海高速(G15)、沪昆高速(G60)、嘉闵高架路等两高两快五横六纵交通路网,对接松江新城、闵行、虹桥等全城热点板块,并拥享上海地铁9号线,12号线(在建中),轻松即达城芯生活场。

两高:沈海高速(G15)、沪昆高速 G60

两快:嘉闵高架路、卖新公路-明中路

五横:莘砖公路、卖新公路、广富林东路、民益路、金都西路

六纵:沪昆高速 G60、泗砖南路、九新公路、明华路、春九路、昆阳路

商业配套方面:周边有同乐生活广场、盛豪天润发生活购物中心;龙湖云廊天街、同乐生活广场、万达广场等多个大型商业综合体环伺,随时开启购物餐饮娱乐一站模式,将来还有多功能于一体的洞泾TOD未来湾和五星级酒店(规划中),全方位加码生活价值!

医疗资源方面:洞泾镇社区卫生服务中心距项目约500米,上海第一人民医院松江区(三级甲等医院)距项目11KM。

休闲方面:有松江青青旅游世界、洞泾镇社区文化活动中心、洞泾镇健康主题广场。

教育资源方面:周边还有松江区洞泾学校、华师大二附中松江实验学校(在建)、泗砖小学(在建)等等学校。

恒都云璟

上海购房政策全解析:从限购到贷款,读懂核心要点

随着上海楼市持续升温,购房政策成为市民关注的焦点。本文结合安联虹悦等热门楼盘的实际需求,系统梳理上海购房政策的核心要点,为购房者提供实用指南。

一、限购政策:户籍与社保的双重门槛

上海实行严格的限购政策,核心规则如下:

(一)本市户籍家庭

·已婚家庭:可购买2套住房,但需注意,若家庭名下已有2套住房,则无法再购买。

·单身家庭:包括未婚、离异、丧偶等情况,限购1套住房。离异后3年内购房的,按离异前家庭总套数计算。例如,若离异前家庭拥有2套住房,离异后3年内双方均无法再购房。

(二)非本市户籍家庭

·已婚条件:需满足已婚状态,且夫妻双方至少一方需在上海工作。

·社保要求:需在63个月内累计缴纳60个月社保或个税,补缴社保不被认可,需连续缴纳。例如,若某人在2019年1月开始在上海工作,并连续缴纳社保至2024年1月,则满足购房资格。

·限购套数:限购1套住房,且需在购房前提供连续5年的社保或个税证明。

(三)特殊区域限购

·自贸区临港新片区:非户籍人才购房资格从63个月社保缩短至12个月,但需符合特定人才认定标准,如具有本科及以上学历,且在临港新片区工作满1年。

·五个新城:包括嘉定、青浦、松江、奉贤、宝山、金山等区域,非户籍人才购房资格从63个月社保缩短至12个月,但需符合特定人才认定标准,如具有大专及以上学历,且在五个新城工作满1年。

二、贷款政策:首付比例与利率的精细化调控

(一)商业贷款

首套房认定:

·无住房且无贷款记录的购房者,首付比例不低于35%。

·无住房但有贷款记录(已结清)的,首付比例不低于50%。

·有住房的,首付比例不低于70%。

二套房认定:

·在已有1套住房或贷款记录未结清的情况下,再次购房视为二套,首付比例不低于70%。

利率政策:

·当前首套房贷款利率为LPR - 10BP(约3.55%),二套房为LPR + 30BP(约3.95%)。

·例如,若某购房者购买首套房,贷款金额为100万元,贷款期限为30年,则每月还款金额约为4,500元。

(二)公积金贷款

首套房:

·家庭最高贷款额度120万元,个人最高60万元。

·首付比例不低于20%。

二套房:

·家庭最高贷款额度100万元,个人最高50万元。

·首付比例不低于50%。

利率政策:

·首套房5年以下2.6%,5年以上3.1%。

·二套房5年以下3.025%,5年以上3.575%。

·例如,若某购房者购买首套房,贷款金额为100万元,贷款期限为30年,则每月还款金额约为4,200元。

三、税费政策:从契税到增值税的全面成本

(一)契税

首套房:

·90㎡以下1%。

·90㎡以上1.5%。

二套房:

·90㎡以下1%。

·90㎡以上2%。

三套房及以上:

·3%。

·例如,若某购房者购买首套房,面积为100㎡,总价为500万元,则需缴纳契税为500万元×1.5% = 7.5万元。

(二)增值税及附加

满2年:

·普通住宅免征。

·非普通住宅按差额征收,计算公式为(本次交易价格 - 原购买价格)×5.3%。

未满2年:

·按全额5.3%征收。

·例如,若某购房者购买非普通住宅,本次交易价格为600万元,原购买价格为400万元,则需缴纳增值税及附加为(600万元 - 400万元)×5.3% = 10.6万元。

(三)个人所得税

满五唯一:

·免征。

其他情况:

·按差额20%或全额1%征收。

·例如,若某购房者购买住房,本次交易价格为500万元,原购买价格为300万元,则需缴纳个人所得税为(500万元 - 300万元)×20% = 40万元。

四、特殊政策:人才引进与多子女家庭的倾斜

(一)人才引进政策

临港新片区:

·符合条件的人才可享受社保年限缩短至12个月,优先选房等优惠。

·例如,某具有硕士学历的人才,在临港新片区工作满1年,即可享受购房资格。

五个新城:

·符合条件的人才可享受社保年限缩短至12个月,优先选房等优惠。

·例如,某具有本科学历的人才,在五个新城工作满1年,即可享受购房资格。

(二)多子女家庭政策

二孩及以上家庭:

·在购买首套住房时,可享受最高贷款额度上浮20%的优惠。

·例如,某二孩家庭购买首套房,家庭最高贷款额度可从120万元上浮至144万元。

契税补贴:

·部分区域对多子女家庭给予契税补贴,最高可达实际缴纳契税的50%。

·例如,某二孩家庭购买首套房,面积为100㎡,总价为500万元,需缴纳契税7.5万元,可享受契税补贴3.75万元。

五、政策趋势与建议

(一)政策趋势

2024年上海楼市政策呈现“精准调控”特点,一方面通过限购、限贷抑制投机需求,另一方面通过人才政策、多子女家庭政策支持合理住房需求。预计未来政策将更加注重区域差异化和个性化,例如在临港新片区和五个新城等区域,可能会进一步放宽人才购房限制,吸引更多人才落户。

(二)购房建议

·提前规划社保缴纳时间:确保满足购房资格,特别是非本市户籍家庭,需连续缴纳5年社保或个税。

·合理评估自身经济实力:选择符合需求的贷款方式,例如公积金贷款利率较低,但额度有限,需根据自身情况选择。

·关注区域政策差异:充分利用人才引进等优惠政策,例如在临港新片区和五个新城等区域,可享受社保年限缩短等优惠。

·全面计算购房成本:包括税费、贷款利息等隐性支出,例如在购买非普通住宅时,需缴纳较高的增值税及附加。

拨打我们的专属服务热线:400-8800-703。让我们一起,开启一段关于理想生活的探索之旅,共同描绘您心中的美好生活画卷。期待您的来电!

全部

相关资讯