海玥黄浦源售楼处-首页网站-海玥黄浦源售楼处欢迎您-楼盘详情-户型配套-海玥黄浦源售楼处电话

搜狐焦点孝感站

2025-06-07 09:12:00

购房群

买房如何避坑,加入购房群,看看他们怎么说

立即进群

海玥黄浦源售楼处咨询电话:400-8877-480

☑专业销售一对一咨询 耐心等待官方VIP客户经理回电☑

海玥黄浦源售楼处咨询电话:400-8877-480

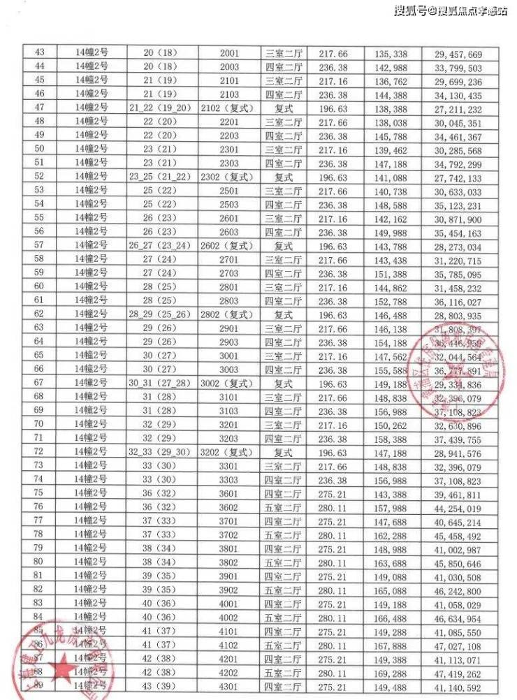
一房一价表

海玥黄浦源售楼处咨询电话:400-8877-480

海玥黄浦源售楼处咨询电话:400-8877-480

海玥黄浦源售楼处咨询电话:400-8877-480

黄浦内环内、人民广场板块,上海建工集团“正黄浦”纯豪宅项目——海玥黄浦源三期,项目8、2号栋楼涵盖建面约94-402㎡多种户型,主力户型303㎡五房4月17号明日开启认购!

海玥黄浦源售楼处咨询电话:400-8877-480

其中2#为超高层,北向可观小区绿化和苏河景观,高区可瞰三件套盛景。

海玥黄浦源售楼处咨询电话:400-8877-480

项目效果图,以实际呈现为准

4#是16层小高层,为项目楼王,也是市心真正限量款、收藏级产品。

我们来简单分析一下:

1、论臻稀性:

在市心超高层成为供应主力的背景下,小高层显得尤为稀缺,是市心金字塔尖端的物业。

可以大胆预测,黄浦未来的小高层就那么几栋,卖一栋少一栋。

何况,项目4#还是临苏州河的小高层,价值更上一层。

划重点:项目小高层只有48套,错过再无!

海玥黄浦源售楼处咨询电话:400-8877-480

2、论未来价值:

物以稀为贵,小高层在市中心竞品少,执掌独立定价权,房价更容易走出独立行情。

3、论居住舒适度,小高层是市心独一档产品。

▶得房率高达约81%。

要知道,如今市面上的新房得房率普遍在约75%左右。

换算一下:

同样一套建面约302㎡房源,海玥黄浦源多出约18㎡实际使用面积。

用14万/㎡换算,那可是约252万的真金白银。

▶该栋楼南向可观3000㎡中央景观绿化;中间户型6层以上北可观苏州河景,且两侧都能看见苏州河景。

可见4#大部分楼层都直面苏州河,这栋楼的景观视野放在当下新房市场是独一份的,只有48套,错过再无!

项目效果图,以实际呈现为准

海玥黄浦源售楼处咨询电话:400-8877-480

▶该栋楼拥有尊贵感、舒适度、使用率MAX的户型。

建面约193、237㎡为类一梯一户设计,拥独立门厅;建面约302㎡标配两梯一户,排面和仪式感全部All in。

主卧堪称星级套房,配置独立衣帽间、双台盆+淋浴空间+大浴缸。

另外,安排多重收纳,让每一个空间都能高效利用。

户型图如下

(过程稿仅供参考非交付标准)

海玥黄浦源售楼处咨询电话:400-8877-480

海玥黄浦源售楼处咨询电话:400-8877-480

海玥黄浦源售楼处咨询电话:400-8877-480

海玥黄浦源售楼处咨询电话:400-8877-480

海玥黄浦源售楼处咨询电话:400-8877-480

此外,项目从建筑高度、外立面、品质等都剑指上海地标级豪宅。

海玥黄浦源一号地块由1幢小高层和3幢超高层组成,最高的1号楼建成后将高达约165米(项目1、2号楼均提前实现结构封顶),这个高度既刷新了黄浦天际线,更超过了汤臣一品、华侨城苏河湾等超高层住宅。

这一地标属性,也为项目增添了一份收藏价值,以及油然而生自豪的身份感。

而登高之后,你就能明显感受到超高层住宅的景观优势。

华灯初上,外滩恢弘夜景、陆家嘴三件套闪耀的璀璨灯光、“恒梅泰”商圈摩天大楼灯光流转变幻,脚下街角巷陌霓虹闪烁,你所能想到的关于上海的亮眼景色,都被一一收入眼底。

在外立面上,项目与外滩万国建筑博览群的建筑风格一脉相承,为ARTDECO风格,三段式立面,塑造出有立体感的韵律天际线。

材质方面不计成本采用古铜色、深灰色+铝板、镜面铝板的完美搭配,再镶嵌竖向线条和立面层次,威仪肃穆。

另外,项目内部围合起近3000㎡的开放式绿地。

项目效果图,以实际呈现为准

海玥黄浦源售楼处咨询电话:400-8877-480

因为寸土寸金,市中心项目不会有太集中的中心景观。

而海玥黄浦源,因地制宜进行“一星四叶”的建筑排布,围合出了市心罕见的约3000㎡集中景观。

值得一提,项目北侧紧邻九子公园、苏州河景观步道等,这就形成了内外双绿地的格局,为高净值人士营造了市中心难得“出则显、入则藏”的居住氛围,可一键从繁华快生活切换到诗意慢生活。

海玥黄浦源售楼处咨询电话:400-8877-480

海玥黄浦源直线南京西路“恒梅泰”只有约1.5公里,自行车即可达。

约2.5公里内涵盖南京东路、人广来福士、外滩、新天地、淮海路、老城厢等顶级商圈和地标。

海玥黄浦源售楼处咨询电话:400-8877-480

南京西路商圈实景图

这些地标大多可通过地铁抵达,项目周边汇聚1号线新闸路站、13号线上海博物馆站。

不仅商业浓度惊人,项目周边更是网红地标林立,比如人民公园、自然博物馆、上海博物馆、上海大剧院、静安雕塑公园等市政配套。

海玥黄浦源售楼处咨询电话:400-8877-480

上海大剧院实景图

另外,上海优质医疗资源也都集中在附近,项目步行范围有长征医院(三甲综合),仁济医院西院(三甲综合),3公里范围选择更丰富,多所全国排名前列的医院,实属顶配。

海玥黄浦源绝对地段和配套浓度是你后期花再多钱都买不到的。

海玥黄浦源售楼处咨询电话:400-8877-480

市中心大部分区域发展已固化,未来比拼更多是城市更新势能的竞争。

典型如新天地,那类似新天地的巨变还有吗?

有!且将是超越新天地的存在!

据市规划和自然资源局介绍,上海现存规模最完整的成片广式石库门建筑群——东斯文里将全面启动城市更新。

来源上海发布

超越新天地不是我定义的,而是官微上海发布的标题!

而官微之所以有这样的判断,是因为无论是定位、规模、能级还是业态,东斯文里都全面超越新天地!

①定位:东斯文里将打造滨水高端金融枢纽地!

事实上,整个市中心除聚集高端金融业的除了陆家嘴、外滩金融城,下一个金融高地就是东斯文里。

根据规划,东斯文里将以“人文百年斯文里,静安苏河金融湾”为愿景,将打造成为苏州河沿岸重要的高端金融枢纽地、艺术文创集聚区、城市文化标志区和多元活力展示区。

而为了承载这些高端产业,区域集中设置顶级品质商务楼宇,形成高低错落、疏密有致的建筑空间格局和新旧呼应的风貌特质。

海玥黄浦源售楼处咨询电话:400-8877-480

更新单元概念效果图 设计单位:查普门泰勒

②规模能级:被苏州河贯穿,规模高达约80公顷的滨水城市更新!

东斯文里的总用地面积高达约90.05公顷,其中涉及风貌保护建筑量就有约6万方,绝对的大手笔。

更重要的是,比起新天地,东斯文里内含稀缺的生态资源——苏州河。

围绕这一天赋,东斯文里加入了大量生态休闲元素,宜居属性指数级提升。

海玥黄浦源售楼处咨询电话:400-8877-480

斯文绿谷是区域的亮点,这里采用立体复合式的空间结构,是聚客核心,也是多元活动场所,向四周辐射人流。

它东西结合历史里弄与当代高层建筑,南北连接静安雕塑公园与滨水景观,不同氛围延伸至此,相互碰撞影响,将成为公共艺术浸润的诗意空间、文旅商娱集聚的文化地标、绿色低碳开放活力的金融湾区、彰显创新富于创意的科创峡谷。

海玥黄浦源售楼处咨询电话:400-8877-480

更新单元概念方案效果图 来源:査普门泰勒建筑设计事务所

③业态:旧而新生,新旧共生!超越新天地张园的时尚街区蓄势待发!

要知道,东斯文里所在的区域规划酝酿了十多年,吸取新天地、张园等前辈经验,将站在巨人肩膀上再超越。

东斯文里涉及风貌保护建筑量约6万方,规划明确,要在保护整体历史风貌肌理格局的原则下,创新设计,手法也极其多样,有风貌保护、修缮、改造等,为旧的空间格局打造全新未来。功能业态也是多元复合的,设计引入石库门风貌酒店,创意办公,合院办公,艺术街坊,重现往日活力。

内中环预计17万+,那黄浦的上限远远不止17万+,这些都大大加剧了收藏海玥黄浦源的紧迫性,不到15万/㎡买上海正中心,机遇稍纵即逝!且这次楼王产品登场,小高层+直面苏州河,臻稀性更上一层。

全部

相关资讯

报名成功
稍后会有专业的置业顾问联系您
返回楼盘

频道导航

返回首页

看房小程序

APP下载

电话拨通后,请您手动拨打分机号

确定拨打电话

电话号码:

分机号:(可能需要拨分机号)