万科中興傲舍售楼处咨询电话:400-8877-480本项目暂不接受临时到访,过来参观样板房请记得提前来电预约!
万科中興傲舍售楼处咨询电话:400-8877-480本项目暂不接受临时到访,过来参观样板房请记得提前来电预约!
◼ 1.产品设计理念介绍
1,以上海里弄为原型,打造超级连接的社区底盘!
新天地为何受热捧?因为每一条街道,都被归还给行人,宜人的尺度让人们能尽情漫步,并且能和街边的内容亲密聚合,人和环境是共融的。
在中興傲舍也是如此,项目将打破传统社区规划边界,将住宅、商业、生态、人文等功能作为一个个构成因子,通过社区与城市的衔接、社区外公共空间的打造,实现动线共联、商业共通、生态共融。
项目以上海里弄为原型,打造约3万方公园社交型商业。
顾名思义,一方面它被绿意环抱,比如商业立面采用绿色植物与橙色釉面的碰撞,打造独树一帜的地标美学。同时营造六大口袋公园点缀于街区,将自然融合街区。

万科中興傲舍售楼处咨询电话:400-8877-480本项目暂不接受临时到访,过来参观样板房请记得提前来电预约!
另一方面,触发更多的停留和遇见的可能性,让社交在自然而然中发生。
比如,构建9大特色转角,让街区不在只是单一的消费空间,而是每个场景都栖息着多样的生活形态。高浓度的生活场景只需一个转身即可随心切换。
又如,业态预计也会很有趣、年轻化,据悉将由万科运营,可能会包含户外运动、艺术Gallery、社区服务、宠物友好生活、高端食集等(以实际落地为准)。
尤其是食集,意向联名米其林餐厅,构建高端的话题型市集的休闲场,特设花园广场、中庭广场,并且鼓励商业外摆,营造巴黎左岸、伦敦考文特花园的街区浪漫。
万科中興傲舍售楼处咨询电话:400-8877-480本项目暂不接受临时到访,过来参观样板房请记得提前来电预约!
换言之,这个商业底盘业主不仅能够便捷下楼消费,更将成为社交平台,可以是追求时尚的同龄人共同的潮玩场地,三五好友来场思想碰撞也能出门即享,女士们则可以在精致街区里逛街、购物。

万科中興傲舍售楼处咨询电话:400-8877-480本项目暂不接受临时到访,过来参观样板房请记得提前来电预约!
可见,项目不是商业、住宅多个功能空间的拼凑与堆叠,而是通过空间场景的打造、形成彼此融合的紧密立体、复合活力的空间。
在不离开社区的情况下人们可以在生活工作和娱乐之间实现平衡,并通过充满活力的公共空间赋能身心更多的松弛感和幸福感,让人们获取更多生活乐趣和便利。
2,人与建筑、自然的共生,于城市之心,享一隅之宁静的生活方式!
在上海这个卷都,不缺高楼大厦,缺的是能够调节快生活的闲适环境。
项目用一种全新的人居形态去演绎现代版的「结庐在人境,而无车马喧」。
这是一种体感,更是一种心境,让生活的节奏退回,不去赶时间,而是等时间。
业主归家路途中,可于下层漫步浓荫里的绿野街区,也能于上层享受谧静私域,整个社区充满绿意和呼吸感。
比如,项目在街边的转角、街区的外廊,打造城市花园长廊;还有45度角贯穿的街区的超级绿核枢纽,中兴公园的绿意被充分引入中心广场,将成为开放且亲密的城市打卡点。
值得一提,中兴公园由万科代建,园内设备专业,一般小区可能都不会有这么好的设施。同时因为距离上就是“南向直面”,该公园其实就相当于中興傲舍的专属配套,出门即享。

万科中興傲舍售楼处咨询电话:400-8877-480本项目暂不接受临时到访,过来参观样板房请记得提前来电预约!
中兴公园实景图
项目的食集也将对标阿姆斯特丹市集,在屋顶上打造天窗,在屋檐中留有特色城市观景台,在屋檐下构筑自然植物源,形成以人为中心,与绿植共处的社交空间。
更厉害的是高线公园,中兴路一号的“高线公园”给人留下深刻的印象。
而这次在中興傲舍进一步升级,打造了约6000方的高线公园,并融入首尔Parkside园畔的规划理念,以立体视角融合远景的中兴公园、中景的绿野街区、近景的高线公园与地库光厅,营造四重立体公园体系。
无论你徜徉城市、漫步街区,或是归家路途,皆有茂密的绿意呈现在视线内。

万科中興傲舍售楼处咨询电话:400-8877-480本项目暂不接受临时到访,过来参观样板房请记得提前来电预约!
高线公园效果图

万科中興傲舍售楼处咨询电话:400-8877-480本项目暂不接受临时到访,过来参观样板房请记得提前来电预约!
高线公园效果图
3,接轨国际的建筑美学!
项目外立面采用Art deco三段式设计,塑造经典对称,挺拔的地标形象。
建筑塔冠通高装饰钻石性玻璃幕墙并搭配香槟金的金属装饰。
万科中興傲舍售楼处咨询电话:400-8877-480本项目暂不接受临时到访,过来参观样板房请记得提前来电预约!
两侧采用弧形设计,让视野更大化,实现约270度观景,对望陆家嘴。
建筑立面色彩以珍珠蓝为核心,搭配香槟金、摩登红。
万科中興傲舍售楼处咨询电话:400-8877-480本项目暂不接受临时到访,过来参观样板房请记得提前来电预约!
商业则采用摩登橙与水幕银的大胆撞色,打破色彩的单调性,将色彩巧妙的融合在一起,更具国际化审美。
说到这里,项目给我一个很深的感触就是,在审美、艺术力上的表达接轨国际,遥遥领先。
这一点很重要,因为购房者年轻化,且品味在上升,以后面对同质化产品,那比拼的就是项目软实力,其中“审美”会是很重要的一环。
4,设计师天团共同雕琢!
拥有地段和产品双重光环加持,这样的矜贵之作,必须来自优秀设计师的定制。
项目邀请了外滩华尔道夫酒店的缔造者波特曼建筑设计事务所、来自中国香港的先锋设计机构10Design和Platform,参与设计上海新天地的日清建筑设计公司,擅长室内空间设计的LSD Interior Design、水平线、Linehouse、NONG STUDIO以及设计外滩建筑群灯光照明的TS lighting等。
万科中興傲舍售楼处咨询电话:400-8877-480本项目暂不接受临时到访,过来参观样板房请记得提前来电预约!
中興傲舍从顶层设计上就融入国际潮流生活方式,更能经受时间的考验。
甚至项目周边的代建小学也邀请胜景几何设计研究中心李兴钢设计。

万科中興傲舍售楼处咨询电话:400-8877-480本项目暂不接受临时到访,过来参观样板房请记得提前来电预约!
5,文化、艺术元素贯穿始终,让项目更具生命力!
有一句话叫:“没有文化艺术的高端住宅,只能是建材的拼凑。”
最好的佐证,如今茫茫多的项目都会打出「文艺」牌,希望以此抬拉身价。
而于中興傲舍,文化艺术犹如基因,烙印在项目身上。
比如商业规划以传统上海里弄为基础,呼应弄堂海派文化;并承袭商务印书馆的在地文化,打造“书卷”式艺术化街道;甚至连红线外也一并更新,让生活方式更加连续,打造超1公里的休憩空间,提供艺术化的街道座椅,并为宠物提供友好的场地。
万科中興傲舍售楼处咨询电话:400-8877-480本项目暂不接受临时到访,过来参观样板房请记得提前来电预约!
红线外——一个人的美术馆效果图

万科中興傲舍售楼处咨询电话:400-8877-480本项目暂不接受临时到访,过来参观样板房请记得提前来电预约!
这里我不得不为万科的这种开发模式点赞,让幸福指数向外延伸的同时,更让周边居民也能分享到城市发展的红利。
6,近似美术馆的艺术会所!
中兴路一号的会所,不管审美还是功能,称得上内环独一份。
而这一次在最新作品中还将升级,据悉将有上海首个度假感植物园泳池、艺术光影长廊、女性友好健身房、上海无二的艺术阶梯、艺术花火会客厅、几何博物馆等。

万科中興傲舍售楼处咨询电话:400-8877-480本项目暂不接受临时到访,过来参观样板房请记得提前来电预约!
会所效果图
功能上,一次ALL IN多个不同主题功能的“第二客厅”;氛围感上,视觉冲击力拉满。
若你有比较频繁的活动需求,这个会所完全能承载你的需求,如果是朋友来访,更完全能为你撑起面子,逼格足以媲美五星级度假酒店的高定款。

万科中興傲舍售楼处咨询电话:400-8877-480本项目暂不接受临时到访,过来参观样板房请记得提前来电预约!

万科中興傲舍售楼处咨询电话:400-8877-480本项目暂不接受临时到访,过来参观样板房请记得提前来电预约!
会所效果图
◼ 2.小区规划建设
1.归家的脚步,与私密仪式感同步
门,是一种界定空间开阖、也组织生活进退的礼序美学。中興傲舍用多重的归家礼序门厅,打造归家的体面感与归属感。
建立在混合业态的基础上,住宅用户可以通过专属独立大堂实现情绪归家。
AUTHOR丨中興傲舍在天通庵路2、3栋建筑、止园路4、5栋建筑、中华新路6栋建筑共设置了三个归家大堂,每座大堂均与商业、办公不公用,且一层入口都有专属物业管家,守护了归家的尊崇性与私密性。
并且业主可通过任意一个归家入口,就近抵达住宅平台后,通过高线公园步行至住处所在楼栋。
项目住宅入户动线,每栋入户方向以实际交付为准

万科中興傲舍售楼处咨询电话:400-8877-480本项目暂不接受临时到访,过来参观样板房请记得提前来电预约!
同时,高线公园入口也设立了单元入户门禁,只有业主方可进入高线公园,在保持私密性的同时,也可防尾随,保证了业主的人身安全。
2.“沉浸式”归家,艺术在回家的旅途中
对于归家大堂的艺术性探索,项目从一开始便不限于将空间简单打造为盛放艺术的容器,更包含着空间与艺术相结合的创新实践:
迈入止园路入口大堂,从海派入户旋转门推门而入,第一眼便能看到约13-15米的挑高大堂。
艺术阶梯其作为艺术展示的重要空间,最大程度引入自然光,为空间打上朦胧、柔和的光感,结合左右两边的弧形柱体,犹如登山之“径”。
随着脚步一步步叠加行进的趣味,沉浸的归家体验感随空间变化逐渐递增。

万科中興傲舍售楼处咨询电话:400-8877-480本项目暂不接受临时到访,过来参观样板房请记得提前来电预约!
艺术大堂概念效果 具体以实际交付为准
二楼通过专业餐酒吧设备、艺术光厅、上海度假感植物园泳池等营造艺术感会所。
并围绕女性业主的需求打造女性友好健身房,专属设计了适配女性的器械,例如 Eleiko 多功能架、瑜伽室、补妆间等,并配置了健康管理服务。

万科中興傲舍售楼处咨询电话:400-8877-480本项目暂不接受临时到访,过来参观样板房请记得提前来电预约!
艺术会客厅概念效果,具体以实际交付为准

万科中興傲舍售楼处咨询电话:400-8877-480本项目暂不接受临时到访,过来参观样板房请记得提前来电预约!
女性友好健身房概念效果,具体以实际交付为准
此外,项目在住户归家路途中设置了门厅、门头、灯光、装饰等一整套的设计逻辑,用24小时常亮的灯光,做归家的温暖指引。
在一些转角区域,设计还做了公区架空层,当夜深人静、万籁俱寂之时,晚归的人们可以在此享受独属于自己的片刻静谧,在公司与家门之间,来一个短暂的停留,让情绪被广阔的天地安抚。

万科中興傲舍售楼处咨询电话:400-8877-480本项目暂不接受临时到访,过来参观样板房请记得提前来电预约!
架空层概念效果,具体以实际交付为准
3.高线游园,让情绪在自然中流动
以艺术与自然为灵感,项目构建了一条通往未来社区的归家花园道,连接商街、广场和花园长廊,暗藏许多邻里互动与交往惊喜的瞬间。
从社区大堂的艺术阶梯或者电梯,住户可以垂直抵达三层/四层归家花园道。
以公馆花园为概念,用现代手法打造社区高线公园,形成花廊花园、艺术花园、绿宝石花园三大花园,以及沙龙游园-秘享游园-春嬉游园-台阶游园-宠物游园-朝阳游园-空桥游园等七大游园体系。
带来丰富且有趣的自然体感,住户亦可以在此通过风雨连廊实现无风雨归家。

万科中興傲舍售楼处咨询电话:400-8877-480本项目暂不接受临时到访,过来参观样板房请记得提前来电预约!
高线公园概念效果 具体以实际交付为准
同时,高线公园还可与周边的建筑、生活进行融合,不仅仅是一个公园,更是一个与朋友或邻居交流的互动惊喜空间。
而当携宠同行已经成为人们喜爱的休闲方式。也特意设置了一条宠物友好动线,这是一条纯室外动线,避免了宠物家庭从室外-室内电梯-室外的复杂流程。
天气好的时候,业主可带着孩子或者宠物,从高线公园通过户外连桥与户外景观楼梯,直达一楼中央公园,实现漫游赏景归家。
同时设有门禁,非业主人员无法从户外台阶一楼抵达三楼高线公园。

万科中興傲舍售楼处咨询电话:400-8877-480本项目暂不接受临时到访,过来参观样板房请记得提前来电预约!
商业景观概念效果 具体以实际交付为准
AUTHOR丨步行归家动线通过独特的设计和精心的规划,将艺术与自然融入日常生活,创造了一个和谐的生活空间,为现代都市生活树立了新的典范。
无论是大堂归家的艺术之旅,还是游园归家的宁静舒适,这些动线本质上都展现了对生活品质的极致追求。
值得一提的是,“万科星耀式”物业服务
对于业主来说,开发商与物业不分家是最好的,因为“一贯式”的连续服务最能保证服务质量。
万科深耕上海多年,有丰富的物业管理经验。
从翡翠系圈层服务,到中興路一號的卓越人居服务体系,再到中興傲舍星耀服务体系,它总是致力于给业主更优质的生活体验。
万科物业 示意图

万科中興傲舍售楼处咨询电话:400-8877-480本项目暂不接受临时到访,过来参观样板房请记得提前来电预约!
涓滴溪流,功不唐捐。
深耕上海的几十年里,万科一直保持警醒和使命感。
不止交付一套房子,也试着去引领生活方式。
万科中興傲舍售楼处咨询电话:400-8877-480本项目暂不接受临时到访,过来参观样板房请记得提前来电预约!
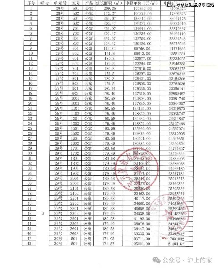
◼ 3.户型及样板间鉴赏👇
万科中興傲舍二期已开盘。本次开盘房源83套房源,均价约13.3万/㎡。共计99组认购,未触发积分制。开盘当天售出约68套,去化率约82%,开盘销售18.2亿,两月劲销68.2亿。
首开建面约180-321㎡3-4房户型,二期加推央景楼王3号楼建面约180-280㎡3-5房,产品分布如下:

万科中興傲舍售楼处咨询电话:400-8877-480本项目暂不接受临时到访,过来参观样板房请记得提前来电预约!
户型图:
万科中興傲舍售楼处咨询电话:400-8877-480本项目暂不接受临时到访,过来参观样板房请记得提前来电预约!
万科中興傲舍售楼处咨询电话:400-8877-480本项目暂不接受临时到访,过来参观样板房请记得提前来电预约!
门口是相对独立的门厅,业主乘坐电梯直达所在楼层后,出门就是自己的私人空间,回家的仪式感拉满了。
不过这种级别的楼盘,独立门厅算是标配,但项目电梯厅面积比市面上常规的更宽敞。
另外,进门后还有一套独立玄关,从效果图上看,设置了挺多艺术感的元素,听说开发商是专门给有艺术品位的人士打造。

万科中興傲舍售楼处咨询电话:400-8877-480本项目暂不接受临时到访,过来参观样板房请记得提前来电预约!
玄关南向有一个行李间,户型图上看着空间挺大的,这在豪宅当中不多见,比较新颖的一个设计,应该是可以满足鞋柜、包柜、行李箱、自行车这种大型物件的专业收纳处理。
同时这个设计还有一个亮点:入户后去主卧,以及去客厅的动线,两条动线不交叉。
万科中興傲舍售楼处咨询电话:400-8877-480本项目暂不接受临时到访,过来参观样板房请记得提前来电预约!
独立的中西厨,独立岛台,客餐厅一体化,这种设计一般250平以上户型都有。
值得一提的是客厅西侧的双飘窗,采光和视野应该很棒,美中不足飘窗不够连续,当然已经处理得很好了,形成了一个比较完整的L型巨幕。
南向有个可改造的房间,尺度蛮大的,可以随家庭人口变化自由改造。如果家里暂时人比较少,可以改造成一个多功能会客室,连接客厅;如果家里成员多,可以改造成一个南向次套房。南向连通了一个270度的景观面。南向主卧套房还设计了双衣帽间,男女分区,男女主人都有了私密的收纳空间,对于精致的男主人来说吸引力很强。女主衣帽间有中岛的收纳,也算是别墅标配。主卧套房大面宽,还有个超大卫生间。卫生间是个环游的动线,效果图上看,主卧带双台盆、浴缸、淋浴,甚至还有化妆柜。

万科中興傲舍售楼处咨询电话:400-8877-480本项目暂不接受临时到访,过来参观样板房请记得提前来电预约!

万科中興傲舍售楼处咨询电话:400-8877-480本项目暂不接受临时到访,过来参观样板房请记得提前来电预约!

万科中興傲舍售楼处咨询电话:400-8877-480本项目暂不接受临时到访,过来参观样板房请记得提前来电预约!
进门后北向有个比较完整的独立家政间。
当然我觉得也有一些不足:比如,X空间到卫生间的动线比较长;北向两次卧的尺度感一般。
万科中興傲舍售楼处咨询电话:400-8877-480本项目暂不接受临时到访,过来参观样板房请记得提前来电预约!
万科中興傲舍售楼处咨询电话:400-8877-480本项目暂不接受临时到访,过来参观样板房请记得提前来电预约!
187平样板间实拍
万科中興傲舍售楼处咨询电话:400-8877-480本项目暂不接受临时到访,过来参观样板房请记得提前来电预约!
万科中興傲舍售楼处咨询电话:400-8877-480本项目暂不接受临时到访,过来参观样板房请记得提前来电预约!
万科中興傲舍售楼处咨询电话:400-8877-480本项目暂不接受临时到访,过来参观样板房请记得提前来电预约!
245平独家实拍
万科中興傲舍售楼处咨询电话:400-8877-480本项目暂不接受临时到访,过来参观样板房请记得提前来电预约!
建面约276㎡4+1房
万科中興傲舍售楼处咨询电话:400-8877-480本项目暂不接受临时到访,过来参观样板房请记得提前来电预约!
五房空间尺度、可根据自身需求调整功能;
边套约270°景观,拥有出众的景观和视野;
超大舒适厨房,兼具中西双厨,满足业主个性化烹饪需求;
豪华主卧,带双衣帽间,男女主人都有了私密的收纳空间,其中带一个U型步入式衣帽间,巨能装;主卫带双台盆、淋浴、浴缸、马桶四件套;
双动线设置,可分别连通两侧卧室空间及客厅,两条动线不交叉,从空间体验感和视觉效果上实现动静分区。
建面约321㎡4+1房
万科中興傲舍售楼处咨询电话:400-8877-480本项目暂不接受临时到访,过来参观样板房请记得提前来电预约!
321㎡全新法式轻奢样板间实拍
万科中興傲舍售楼处咨询电话:400-8877-480本项目暂不接受临时到访,过来参观样板房请记得提前来电预约!
公区鉴赏👇
日咖夜酒
万科中興傲舍售楼处咨询电话:400-8877-480本项目暂不接受临时到访,过来参观样板房请记得提前来电预约!
度假植物风泳池
万科中興傲舍售楼处咨询电话:400-8877-480本项目暂不接受临时到访,过来参观样板房请记得提前来电预约!
女性友好健身房为女生适配了专属器械,还贴心设计补妆间、心理理疗室。

万科中興傲舍售楼处咨询电话:400-8877-480本项目暂不接受临时到访,过来参观样板房请记得提前来电预约!
风雨长廊
万科中興傲舍售楼处咨询电话:400-8877-480本项目暂不接受临时到访,过来参观样板房请记得提前来电预约!
外立面展示
24h管家
万科中興傲舍售楼处咨询电话:400-8877-480本项目暂不接受临时到访,过来参观样板房请记得提前来电预约!
1楼挑空书吧
◼ 4.周边配套
静安内环内,城心丰盛配套触手可及!
万科中興傲舍售楼处咨询电话:400-8877-480本项目暂不接受临时到访,过来参观样板房请记得提前来电预约!
事实上中兴路板块占位更高,可谓左手传统市心、右手城心难得的城市更新势能。
1、直线约3公里范围浓缩一城之繁华!
中兴路板块在离传统市心的距离上有绝对优势,直线距离3公里囊括南京西路、人民广场、外滩、外白渡桥、陆家嘴等。上海核心商圈和地标都是你家的配套。
而这个距离和配套浓度是后期花再多钱都买不到的。
万科中興傲舍售楼处咨询电话:400-8877-480本项目暂不接受临时到访,过来参观样板房请记得提前来电预约!
2、多重城市更新环绕,中興傲舍手握未来发展先手!
市中心发展已固化,未来比拼更多是城市更新势能的竞争。那多重城更环绕的中興傲舍显然比同级地段更具潜力。
比如,项目南侧不远的苏州河,不仅有滨水慢生活,如今随着没顶画廊、suhe haus苏河皓司、苏富比空间等入驻,人文、艺术气质一下子升华。
而苏州河价值的提升会直接带动中兴城的发展。
何况,中兴城自身也有百万方城市更新赋能,更新意味着新生,意味着这片土地将带来新的价值,崭新的城市界面、潮流的商业、办公业态、时尚精致的生活方式...
3、百万方中兴城最后一块,也是更好的一张拼图!
中兴路板块热度向来不错,但之前卖的地块属于“擦边”,不属于中兴城范围。
如今板块核心中兴城终于上新,关键这是中兴城最后一块拼图,且是更好的一个地块,紧邻8号线中兴路站,并南向直面中兴公园。
换言之,中興傲舍是中兴城核心中的核心!
万科中興傲舍售楼处咨询电话:400-8877-480本项目暂不接受临时到访,过来参观样板房请记得提前来电预约!
交通方面,项目周边1/3/4/8号线四轨交环伺,尤其与8号线中兴路站几乎零距离,2站可直达人民广场。
如果自驾的话,项目约500米直通南北高架,无缝衔接内中外环及延安路高架。
同时近邻北横通道,速达中山公园、北外滩、东外滩等浦西重要城市节点。
还有4大隧道(新建路隧道、人民路隧道、大连路隧道、延安东路隧道)可直达陆家嘴!多维交通格局,真正实现去哪都方便!
万科中興傲舍售楼处咨询电话:400-8877-480本项目暂不接受临时到访,过来参观样板房请记得提前来电预约!
商业方面,项目1公里范围内有静安大悦城、万象天地、凯德虹口商业中心、百万中兴城商业(在建中)、珠江安康苑的商业合生汇(在建中)等大型商场。
同时项目距离人民广场商圈约2km、南京西路商圈约2km、陆家嘴商圈约3km、静安寺商圈约4km,自驾或地铁迅捷可达!
万科中興傲舍售楼处咨询电话:400-8877-480本项目暂不接受临时到访,过来参观样板房请记得提前来电预约!
医疗资源方面,项目周边约3km范围内上海市中医医院(三甲) 、上海长征医院(三甲) 、上海市第一人民医院(三甲)、闸北区中心医院、上海第十人民医院 (三甲) 、同济大学附属口腔医院(三甲) 环伺。
万科中興傲舍售楼处咨询电话:400-8877-480本项目暂不接受临时到访,过来参观样板房请记得提前来电预约!
教育资源方面,项目周边学府荟萃,全龄教育护航,包括育婴堂幼儿园、吉的堡永盛双语幼儿园、静安区永兴路第二小学、静安区闸北第三中心小学、民办杨波外国语小学、市北初级中学、市北中学高中等。(学校对口情况须在本小区交付后以政府教育主管部门及校方的最新政策为准)
万科中興傲舍售楼处咨询电话:400-8877-480本项目暂不接受临时到访,过来参观样板房请记得提前来电预约!
值得一提的还有生态资源:
风景在窗外也在脚下,项目与中兴公园仅一条马路之隔,周边还有闸北公园、爱思儿童公园、鲁迅公园等城市绿境,公园住宅之名当之无愧!
要知道,无论是国内还是国外,世界级城市市中心的生态资源往往能几何倍数的增进周边住宅的价值,比如纽约中央公园,伦敦海德公园。
