金茂棠前售楼处电话→金茂棠前售楼中心电话→楼盘百科→首页网站→金茂棠前楼盘测评→金茂棠前售楼中心电话

搜狐焦点孝感站

2025-06-13 08:10:00

购房群

买房如何避坑,加入购房群,看看他们怎么说

立即进群

金茂棠前售楼处咨询电话:400-8877-480

通知:参观需预约!本项目暂不接受临时到访。如需参观样板间或了解房源信息,请务必提前致电预约!现场销售团队将为您安排专属一对一接待及专业讲解,确保为您提供更贴心、更个性化的看房体验。我们期待助力您探索品质居住之旅。预约电话:400-8877-480。

**Notice: Appointment Required for Visit** Walk-in visits to this project are temporarily not accepted. To tour the show flats or learn about the properties, please **make an appointment in advance by phone**! Our on-site sales team will arrange dedicated one-on-one reception and professional explanations for you, ensuring a more thoughtful and personalized home-viewing experience. We look forward to assisting you in exploring the quality living journey. For appointments, please call: 400-8877-480.

金茂棠前售楼处咨询电话:400-8877-480

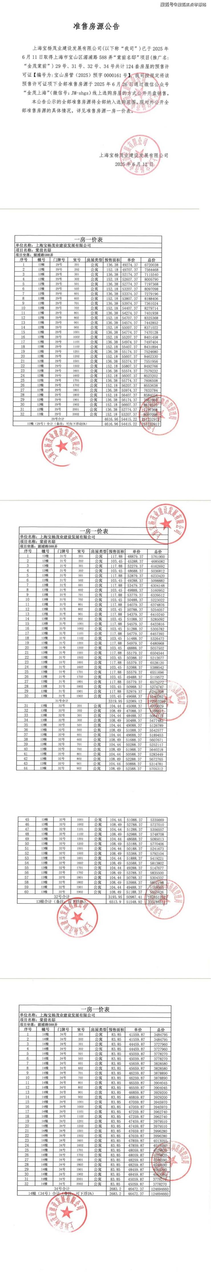
一房一价表

金茂棠前售楼处咨询电话:400-8877-480

金茂深耕高端住宅领域十余年,一直在产品力上持续迭代经营,去年正式发布“金玉满堂”四大产品线。

金茂棠前售楼处咨询电话:400-8877-480

“棠”系内核:针对年轻客群打造先锋艺术住区

上海棠系首发之作围绕高级、艺术、成长、烟火,四大核心打造一座超级TOD复合体

“棠”系品质

金茂棠前,采撷世界造宅哲思,创新定制先锋艺术生活社区、流体天幕美学立面、棠境主题度假园林、酒店式奢雅会所、全景舱精装奢宅、巨兽级鲸吞收纳等前沿设计,升阶北上海艺术生活想象。

全新立面升级采用不对称线条美学,玻璃面积更大+香槟金铝板装饰+顶部穿孔铝板+涂料+细节线脚收边,现代感、品质感、精致感

金茂棠前售楼处咨询电话:400-8877-480

效果展示↓

金茂棠前售楼处咨询电话:400-8877-480

金茂棠前售楼处咨询电话:400-8877-480

金茂棠前售楼处咨询电话:400-8877-480

金茂棠前售楼处咨询电话:400-8877-480

金茂棠前售楼处咨询电话:400-8877-480

金茂棠前售楼处咨询电话:400-8877-480

金茂棠前售楼处咨询电话:400-8877-480

二批次加推房源↓

金茂棠前售楼处咨询电话:400-8877-480

户型鉴赏↓

金茂棠前售楼处咨询电话:400-8877-480

金茂棠前售楼处咨询电话:400-8877-480

金茂棠前售楼处咨询电话:400-8877-480

金茂棠前售楼处咨询电话:400-8877-480

金茂棠前售楼处咨询电话:400-8877-480

金茂棠前售楼处咨询电话:400-8877-480

金茂棠前售楼处咨询电话:400-8877-480

板块配套

三江交汇处,比肩虹桥、临港国家战略规划,2035年计划达到常住人口100万的规模;(数据来源上海发布)

整个吴淞创新城将完善形成“1+4+5+N”的公共中心体系优化地区空间结构,即1个城市副中心、4个地区中心、5个专业节点、N个社区中心,提升城市能级,为建设高品质城区夯实基础;

目前,吴淞创新城规划、开发、建设等各项工作进入快车道。今起三年内,吴淞创新城固定资产投资额将达千亿元以上;(数据来源上海宝山)

金茂棠前售楼处咨询电话:400-8877-480

特钢区域宝杨路同济路路口180米超高层、150米高楼正在加速建设中。

金茂棠前售楼处咨询电话:400-8877-480

总投资30多亿元的全开放式上大美院已开工建设,2026年9月将建成投用成为与上海全球城市相匹配的世界一流美术学院。

宝山复旦科创中心已宣告启用,复旦大学12个工程技术研究中心的科技成果转化基地将相继落户。

金茂棠前售楼处咨询电话:400-8877-480

TOD 复合体:宝山站城融合

上海宝山高铁站是近年上海重要工程,建成后将成为上海第四大高铁站,预计2027年投入使用,未来每年的客流规模将达到5400万人次。

将串联长江经济带,连接长三角、中三角、成渝地区,与虹桥枢纽相辅相成,是未来重要的交通枢纽,预计27年通车的高铁北站,打造成为集交通枢纽、商业、商务、文化会展于一体的高铁商务区;(数据引用自“上海发布”《宝山高铁站将于今年正式开工》)

宝山高铁站的路线包括【沪苏通铁路二期】和【沪渝蓉高速铁路】

①沪苏通二期向北走,13min 一站到崇明,向东只要坐两站,经过外高桥,30min 左右就能直接到上海浦东机场;

②沪渝蓉是继川藏铁路之后,又一个国家级铁路超级工程,宝山站是起点,铁路向北走,经过南通、南京、合肥、武汉、重庆,最后一直到成都

(数据引用自“上海发布”《宝山高铁站将于今年正式开工》)

金茂棠前售楼处咨询电话:400-8877-480

金茂棠前售楼处咨询电话:400-8877-480

板块价值崛起:TOD国际汇合住区

根据《大吴淞地区专项规划》,上海宝山站以枢纽商贸组团的设计定位存在,旨在打造“立体公园城市”。

这是前所未有的大规模整体更新,通过交通枢纽、立体街区、花园办公、生态住区等模式的建构,激活整个片区的热度和活力。

未来这座逐步崛起的未来之城,将重点发展商务办公、科研以及居住功能,规划商务办公楼、生态住区、学校、公园、文化场馆、科创产业园区等业态,成为北上海的强劲龙头板块。将打造一座面向未来、面向世界的TOD国际汇合住区(来源于上海发布)

金茂棠前售楼处咨询电话:400-8877-480

交通配套

公共交通:19号线(高铁站,预计2027年通车)约600米,3号线(江杨北路站)约1公里,1号线(富锦路)约2公里,宝嘉线(规划中),24号线(规划中)

金茂棠前售楼处咨询电话:400-8877-480

自驾:绕城高速(约500米),S16蕴川高速公路(约2公里),同济路高架 (约2公里)

金茂棠前售楼处咨询电话:400-8877-480

商业配套

站前TOD,宝乐汇印象城,宝杨宝龙广场,海上世界等

金茂棠前售楼处咨询电话:400-8877-480

教育资源

上海大学附属宝山外国语学校(九年一贯制/公办/700米)

上海师范大学附属宝山实验学校(九年一贯制/公办/2公里)

华东师范大学第二附属中学(高中/公办/一梯队/3公里)

华耀实验学校等(九年一贯/民办/一梯队/3公里借址就读)

(新房不承诺学区,具体以交付后政府学校规划落地为准)

金茂棠前售楼处咨询电话:400-8877-480

医疗资源

宝山区中西医结合医院(三甲)

第九人民医院宝钢分院(三甲)

上海中冶医院 (三乙)

上海市第一人民医院宝山分院

复旦大学附属中山医院吴淞医院

金茂棠前售楼处咨询电话:400-8877-480

生态环境

双公园环伺:盘古公园,占地约33万方城市绿肺白沙公园(宝山第三大公园)

金茂棠前售楼处咨询电话:400-8877-480

认购时间:6月13日9时-6月16日12时

认购金:45万

首套房存款证明:86万

二套房存款证明:114万

入围比:1:1.8

社保系数:0.11/月

开盘时间:6月26日14:10

金茂棠前售楼处咨询电话:400-8877-480

全部

相关资讯

报名成功
稍后会有专业的置业顾问联系您
返回楼盘

频道导航

返回首页

看房小程序

APP下载

电话拨通后,请您手动拨打分机号

确定拨打电话

电话号码:

分机号:(可能需要拨分机号)