静安玺樾(2025年静安玺樾)首页网站-静安玺樾楼盘详情-户型配套-地铁距离静安玺樾(2025年静安玺樾)首页网站-静安玺樾楼盘详情-户型配套-地铁距离

搜狐焦点孝感站

2025-09-26 23:43:00

购房群

买房如何避坑,加入购房群,看看他们怎么说

立即进群

静安玺樾售楼处电话:400-8787-740✨✨刚刚落幕的上海六批次土拍成为今年的 “史诗级土拍”,8 块土地含“金”量超高,屡屡刷新地王记录!

静安东斯文里地块,被中海以53.63亿元竞得,未来该地块售价预计突破18万/㎡!静安玺樾售楼处电话:400-8787-740✨✨

编辑

编辑

虹口北外滩核心宅地,可售商品住宅楼板价超13.6万/㎡,整盘预期售价破20万/㎡;

徐汇衡复地块,成交楼板价超20万/㎡,大幅刷新宅地单价纪录,成为全国新地王;

静安玺樾售楼处电话:400-8787-740✨✨

编辑

静安玺樾售楼处电话:400-8787-740✨✨

不难发现,徐汇滨江、静安东斯文里、虹口北外滩等核心优质地段备受追捧,这背后,不仅是房企对城市未来的押注静安玺樾售楼处电话:400-8787-740✨✨,还是对脚下 “土地价值”认可的结果,对上海整个房价版图的重塑!

静安玺樾售楼处电话:400-8787-740✨✨

同时,后台有很多粉丝焦虑:1000万级的预算,想在上海内环挑到一个 地段位置核心、品质又好的房子,静安玺樾售楼处电话:400-8787-740✨✨难度堪比登天!甚至很多中环的三房都来到这个价位段。果真如此吗?

静安玺樾售楼处电话:400-8787-740✨✨

答案当然是:还有机会!

静安玺樾售楼处电话:400-8787-740✨✨

位于静安内环,「静安玺樾」就是当下的重磅“捡漏”机会! 凭借着1站苏河湾+2站人民广场的超核心地理位置,静安玺樾售楼处电话:400-8787-740✨✨爆火出圈! 「静安玺樾」三期即将开盘!加推房源包括2号楼的18单元和20单元、7号楼的2单元,主力户型包括建面约98-107㎡2-3房!

静安玺樾售楼处电话:400-8787-740✨✨

编辑

静安玺樾售楼处电话:400-8787-740✨✨

划重点:2号楼位置极佳,南侧有小区景观廊道,推窗即享绿意;同时,前面3号楼比较低,加推楼栋的中高区 前方无遮挡,景观视野和采光条件极佳!

7号楼更是拥有绝版景观资源,中高区视野无遮挡,可直接看陆家嘴三件套!

静安玺樾售楼处电话:400-8787-740✨✨

编辑

7号楼内实地拍摄的窗景图

千万级的总价,在节节升高的楼市,无疑是给了 地段控一个友好的上车门槛!

静安玺樾售楼处电话:400-8787-740✨✨

静安内环烫金地段

1站苏河湾+2站人民广场

1/3/4/8四轨交

实景准现房「静安玺樾」

高得房率+高标奢装+海派园林

建面约97-106㎡两房三房

前期少量建面94-165㎡在售中

总价千万级!

1土拍暴涨之下

千万级买进静安内环内,有多难得?

本周过会的名单中,静安过会两个项目,吸引了不少人的注意。

静安玺樾售楼处电话:400-8787-740✨✨

编辑

静安玺樾售楼处电话:400-8787-740✨✨

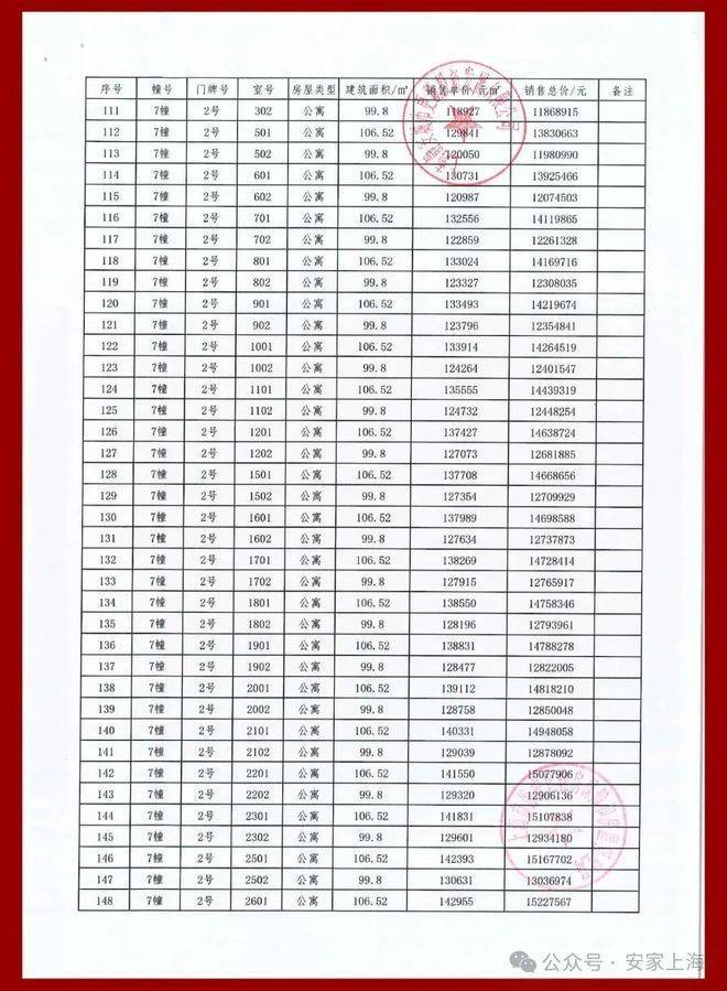
仔细看就会发现,位于静安大宁的中建项目,首开均价是14.68万/㎡,而位于静安内环上游2站的静安玺樾,静安玺樾售楼处电话:400-8787-740✨✨此次均价却只有12.4万/㎡,反而便宜约2.2万/㎡,已经形成了明显的地段与房价的倒挂!

静安玺樾售楼处电话:400-8787-740✨✨

编辑

静安玺樾售楼处电话:400-8787-740✨✨

这样的质价比,全城难觅!

土拍层面,随着市中心“新房豪宅化”,静安玺樾售楼处电话:400-8787-740✨✨门槛价格不断攀升,入手市中心新房的 紧迫性有目共睹。但,静安玺樾约12.4万/㎡的均价,比如今北外滩等地新房的楼板价还低。

静安玺樾售楼处电话:400-8787-740✨✨

静安玺樾在上海中轴线之上,直线距离人民广场约2.5公里,与 静安寺相距人广距离类似。比虹口、静安玺樾售楼处电话:400-8787-740✨✨杨浦等区域更靠近传统市中心,在同价位段新房中 位置更出众!静安玺樾售楼处电话:400-8787-740✨✨

编辑

静安玺樾售楼处电话:400-8787-740✨✨

同时,上海的城市更新永远处在进行时,中兴城这片土地依旧在成长。

静安玺樾售楼处电话:400-8787-740✨✨国际中兴城正推进百万方旧改,对标纽约曼哈顿Hudson Yards等全球卓越城市的城市心脏,打造包含国际生活社区、国际消费社区、静安玺樾售楼处电话:400-8787-740✨✨高端艺术场所在内的多样生活与文化空间,还有大苏河湾形成「商业+文化+居住」高地在侧,发展势能强劲。

静安玺樾售楼处电话:400-8787-740✨✨

编辑

静安玺樾售楼处电话:400-8787-740✨✨

近日,项目旁边约400米处,约3万平方米的自营食集「春熙集·INK INK」正式开市。签约品牌已达22个静安玺樾售楼处电话:400-8787-740✨✨ (含入驻食集的品牌),包括滇FU·云南Bistro、電力宠物百货、电动滑板车品牌PURE ELECTRIC等先锋商业品牌在内。

静安玺樾售楼处电话:400-8787-740✨✨

编辑

静安玺樾售楼处电话:400-8787-740✨✨

中兴城最后一块拼图,高质量的休闲餐饮也将被补齐。这里逐渐成为一个兼具文化、休闲和日常配套的国际时尚艺术豪宅区!

买在静安玺樾,静安玺樾售楼处电话:400-8787-740✨✨得到的是更低的门槛价,更核心的地段站位,更具发展潜力的城市界面,“ 既有现在,又有未来”,这样的机会真的没有理由错过!

静安玺樾售楼处电话:400-8787-740✨✨

2新品重磅加推

建面约97-106㎡精品户型

此次,静安玺樾加推的是新品2#号楼和7#号楼(部分房源),楼栋位置优越,景观视野爆棚:

1、2#号楼南侧有小区景观廊道,静安玺樾售楼处电话:400-8787-740✨✨中高区前方无遮挡,整体的通透性和社区景观给足了;7#号楼高区更是可以直接远眺陆家嘴三件套。

2、近年上海内环内新房大多都是中小体量项目,占比近七八成,不仅地块狭窄,还很难施展景观、静安玺樾售楼处电话:400-8787-740✨✨公区的排布设计。像静安玺樾这样体量近10万平的大型社区,优势就很明显:

静安玺樾售楼处电话:400-8787-740✨✨

楼栋间距约30-49米,宽裕阔绰,为未来每户业主争取最大程度的采光与通风;

同时足够做出兼具美感和功能的园林景观;

“四轴、五色、六礼”的5000平海派花园、400米定制跑道,以及豪宅标配的风雨连廊;静安玺樾售楼处电话:400-8787-740✨✨

生活氛围浓厚,小区各方面的配置都很充分;

静安玺樾售楼处电话:400-8787-740✨✨外立面上,项目立面以海派风格为主,采用石材,铝板,辅以部分真石漆,铺以横向铝板线条,通过对材质细部的精细化设计,真实还原海派立面的摩登风格。

静安玺樾售楼处电话:400-8787-740✨✨

编辑

实景图

静安玺樾售楼处电话:400-8787-740✨✨车库采用贯穿式鱼尾灯坡道和超耐磨地坪,过道全部是精装吊顶,地下管道和局部区域进行二次包裹,是内环新一代网红车库!

静安玺樾售楼处电话:400-8787-740✨✨

编辑

项目实景图

静安玺樾售楼处电话:400-8787-740✨✨产品上,静安玺樾加推97-106㎡两房三房户型,静安玺樾售楼处电话:400-8787-740✨✨是市中心非常稀缺的低门槛中小面积户型。具体来看:项目没有硬凹三房,而是从业主的居住舒适度出发,做了大两房。

静安玺樾售楼处电话:400-8787-740✨✨

客餐厅面宽达到约3.5米,进深足足有约6.95米,整个客餐厅空间有约24㎡,可以容纳超大圆桌+餐边柜!静安玺樾售楼处电话:400-8787-740✨✨

编辑

静安玺樾售楼处电话:400-8787-740✨✨

入户大门配置的是钢木复合门+智能门锁,十分厚重。玄关,给到满满的归家仪式感。客餐厅一体化,静安玺樾售楼处电话:400-8787-740✨✨无明显面积浪费,L型的厨房,操作动线非常流畅。主卧的面积达到约14㎡!整体看下来,突出的就是 尺度感。

静安玺樾售楼处电话:400-8787-740✨✨

装标上,采用成本极高的德系品牌为主,比如空调、地暖,大金或三菱重工同档次其他品牌、静安玺樾售楼处电话:400-8787-740✨✨主卫马桶、淋浴,杜拉维特或高仪同档次品牌、龙头及淋浴,整体厨电配置(灶具、油烟机、烤箱、洗碗机、冰箱),美诺或斯麦格或同档次其它品牌;项目每一处装标,交付标准基本都是该领域的佼佼者品牌。

静安玺樾售楼处电话:400-8787-740✨✨

还有一个小细节,它的每个房间都有独立的控制面板,可以控制空调和地暖。越级改善尺度,小空间也有大质感!

静安玺樾售楼处电话:400-8787-740✨✨

编辑

静安玺樾售楼处电话:400-8787-740✨✨

更多户型图一览

编辑

静安玺樾售楼处电话:400-8787-740✨✨

编辑

静安玺樾售楼处电话:400-8787-740✨✨

编辑

静安玺樾售楼处电话:400-8787-740✨✨

编辑

静安玺樾售楼处电话:400-8787-740✨✨

编辑

静安玺樾售楼处电话:400-8787-740✨✨

编辑

静安玺樾售楼处电话:400-8787-740✨✨

包括物业服务,项目采用业内备受好评的万科物业,将为静安玺樾社区提供优质服务,并额外定制提质增值服务,提升业主们的“美好获得感”:

静安玺樾售楼处电话:400-8787-740✨✨

更整洁的社区:12小时的保洁+夜间值班保洁;

更省心的居家:每年一次空调清洗,每三年一次地暖保养;

更历久弥新的建筑:每年一次外墙清洗。

静安玺樾售楼处电话:400-8787-740✨✨

编辑

静安玺樾售楼处电话:400-8787-740✨✨

3静安内环+四轨交环绕

浓缩一城繁华!

在一座城市中,土地价值永远是不可再生、不可复制的资源。城芯地段享受的必然是城市塔尖级的配置,宜居属性拉满!

静安玺樾售楼处电话:400-8787-740✨✨

整个板块在2035规划中,以28.3个新天地体量,约30万方(占地面积)绿地+约55万方(占地面积)静安玺樾售楼处电话:400-8787-740✨✨ +9处历史风貌街坊+27万方历史建筑为主,打造为一个集公园绿地、高端商业、地标建筑、总部办公、历史建筑、品质住宅为一体的高品质街区。

静安玺樾售楼处电话:400-8787-740✨✨

编辑

静安玺樾售楼处电话:400-8787-740✨✨

未来本片区约有170万方商业、18家跨国企业总部(包含国泰君安、光大证券、康德乐、花王等)、引进千亿资本、区域产业发展、圈层提升。

静安玺樾的业主们,在自家门口便能享受到潮流商圈、摩天大楼群和历史文保建筑的交相辉映;享受到一个全新的城市界面、国际范的生活方式。

静安玺樾售楼处电话:400-8787-740✨✨

编辑

静安玺樾售楼处电话:400-8787-740✨✨

项目3km内有着数不胜数的城市地标,人民广场、外滩、北外滩、陆家嘴、南京路商业街等豪华商圈环伺,都是未来静安玺樾业主的生活主场。

静安玺樾售楼处电话:400-8787-740✨✨

四轨交环绕,静安玺樾售楼处电话:400-8787-740✨✨ 距离8号线中兴路站步行距离约 600 米,1号线中山北路站步行距离约800米,与此同时距离3号4号线宝山路站步行距离约1400米,真正实现去哪都方便。

静安玺樾售楼处电话:400-8787-740✨✨

编辑

静安玺樾售楼处电话:400-8787-740✨✨

此外还有“双高架、四隧道”的立体式的交通网络,便捷出行。

商业购物便捷,坐享摩登购物生活!直线距离4KM范围内覆盖4大黄金商圈——人民广场、南京西路、陆家嘴、静安寺商圈,开启缤纷生活。

静安玺樾售楼处电话:400-8787-740✨✨

编辑

△人民广场商圈、静安寺商圈、南京西路商圈、陆家嘴商圈实景图

想象一下,如此国际范的生活方式,将成为「静安玺樾」业主的日常。这样的生活方式可以说是千金难买!

静安玺樾售楼处电话:400-8787-740✨✨

学府林立,优质教育资源荟萃。周边1公里,全龄段教育体系覆盖。(*预售房屋不划分学区,静安玺樾售楼处电话:400-8787-740✨✨开发商不对项目交房后所属学区、学校做任何承诺,教育资源分配或学校/学区划分以及学校的具体招生规则等请以政府相关主管部门、教育机构公开的最新信息为准。)

静安玺樾售楼处电话:400-8787-740✨✨

编辑

编辑

静安玺樾售楼处电话:400-8787-740✨✨

编辑

编辑

静安玺樾售楼处电话:400-8787-740✨✨

编辑

编辑

静安玺樾售楼处电话:400-8787-740✨✨

全部

相关资讯

报名成功
稍后会有专业的置业顾问联系您
返回楼盘

频道导航

返回首页

看房小程序

APP下载

电话拨通后,请您手动拨打分机号

确定拨打电话

电话号码:

分机号:(可能需要拨分机号)