——绿城·春晓园——
绿城·春晓园售楼处电话☎:400-8787-740【售楼处预约热线】(一对一热情服务)
看房请务必提前致电销售确认时间,只有预约客户才能享受开发商提供的内部优惠以及专属的老客户推荐奖励!我们提供专业的一对一热情服务,助您以专业视角挑选理想的房产。
绿城大虹桥首作
徐泾「绿城·春晓园」
最新鸟瞰图
均价60910元/㎡
建面约100-150㎡3-4房
绿城·春晓园售楼处电话:400-8787-740
上海青浦绿城·春晓园售楼处电话☎:400-8787-740(预约看房热线)
如有问题欢迎来电咨询,预约来电尊享购房优惠,可预约案场内部销售人员,专业一对一热情服务,让您用专业眼光去买房。
8月2日上海二批次土拍第二轮,绿城以总价285574万元竞得青浦区徐泾镇双联路北侧36-01地块,地块出让面积35225.20㎡,容积率2.2,溢价率10%,楼板价36850元/㎡,房地联动价62000元/㎡。
地块详情:
绿城·春晓园售楼处电话☎:400-8787-740【售楼处预约热线】(一对一热情服务)

绿城·春晓园售楼处电话:400-8787-740
上海青浦绿城·春晓园售楼处电话☎:400-8787-740(预约看房热线)
地块名称:青浦区徐泾镇双联路北侧36-01地块
四至范围:东至官路浜、南至双联路、西至经五路、北至徐德路
土地属性:普通商品房
出让面积:3.52公顷
容积率:2.2
建筑面积:77495.44㎡
住宅套数:685套
套均面积:约113㎡

项目对于内部公共空间的设计规划有着明确的要求,包括公共设施、环形跑道、架空层、连廊等,可以满足对高端改善需求的期待,联动价6.2万/㎡!

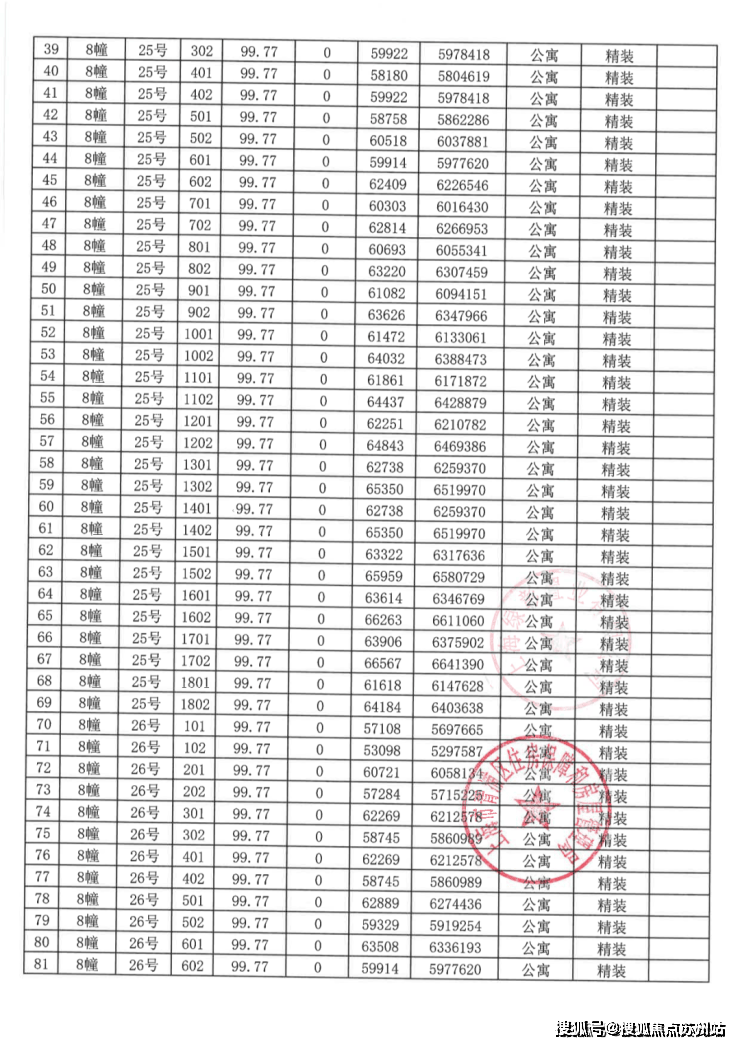
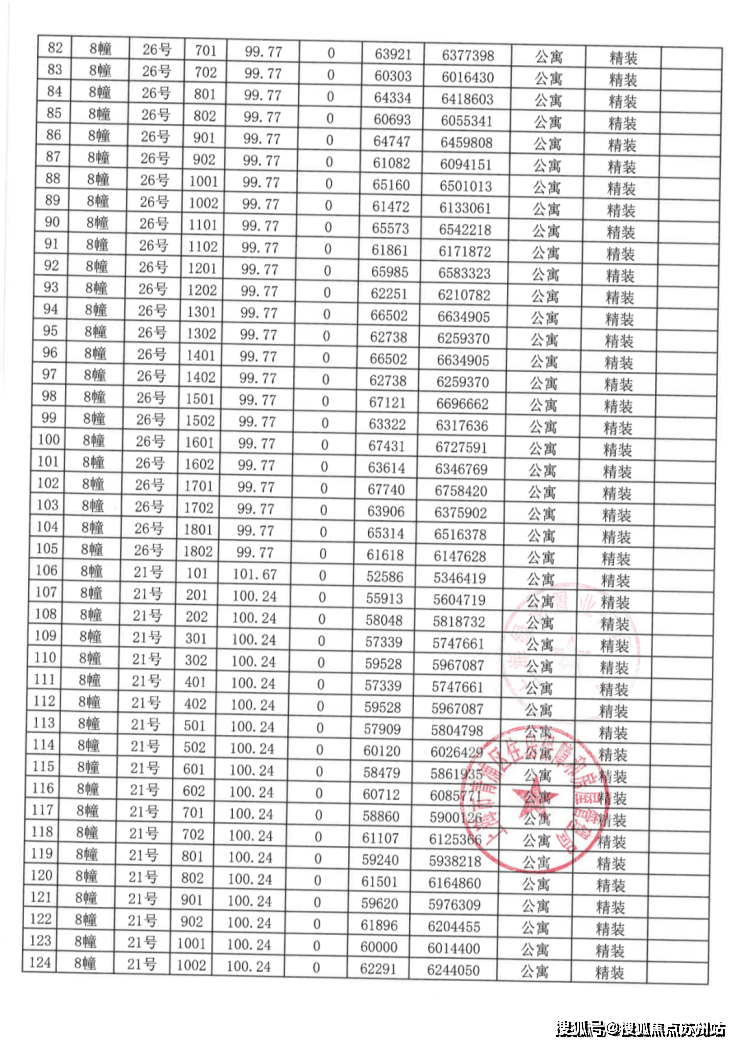
一房一价表:


绿城·春晓园售楼处电话:400-8787-740
上海青浦绿城·春晓园售楼处电话☎:400-8787-740(预约看房热线)



绿城·春晓园售楼处电话:400-8787-740
上海青浦绿城·春晓园售楼处电话☎:400-8787-740(预约看房热线)


绿城·春晓园售楼处电话:400-8787-740
上海青浦绿城·春晓园售楼处电话☎:400-8787-740(预约看房热线)交通方面:项目地块与17号线徐盈路站的步行距离仅约1公里。
商业方面:项目地处西虹桥15分钟生活圈城市样板区域,步行约1公里即可到达约10万方的西上海新晋网红商业中心——天空万科广场!
教育方面:
绿城·春晓园售楼处电话:400-8787-740
上海青浦绿城·春晓园售楼处电话☎:400-8787-740(预约看房热线)徐盈国际住区足足规划了多宗教育用地,将成为整个大虹桥的教育高地。随着众多优质学校先后进驻徐泾,徐泾国际住区的教育资源也越来越强,从小学到高中全覆盖!
免责声明:对学校列举仅作描述使用,不代表或隐含开发商学区保证,具体请以政府规划为准
绿城·春晓园售楼处24小时VIP电话:400-8787-740√√售楼中心热线400-8787-740★本电话为开发商提供线上预约看房售楼电话,★来电可了解楼盘最新动态,项目全面介绍(包含官方最新发布:在线预约看房丨在售房价优惠丨户型面积房源丨交房时间丨交通地铁丨商业配套丨教育资源丨小高层洋房丨独栋别墅丨联排合院丨商业别墅丨得房率丨容积率丨小区环境丨优缺点分析丨楼盘测评丨在售户型图丨项目介绍丨最新房源丨周边配套丨详细解答丨一对一热情讲解〢区域板块等信息!★郑重承诺:由开发商旗下销售团队全程营销策划,房源信息真实有效!如果您想了解更多楼盘详情,欢迎提前预约拨打官方售楼处电话400-8787-740√√(已认证)
VIP贵宾置业〢欢迎来电咨询〢品鉴!!