上海-静安-信达信安里售楼处电话☎:400-8558-334(预约热线)✔✔✔
如有问题欢迎来电咨询,专业一对一热情服务,让您用专业眼光去买房.
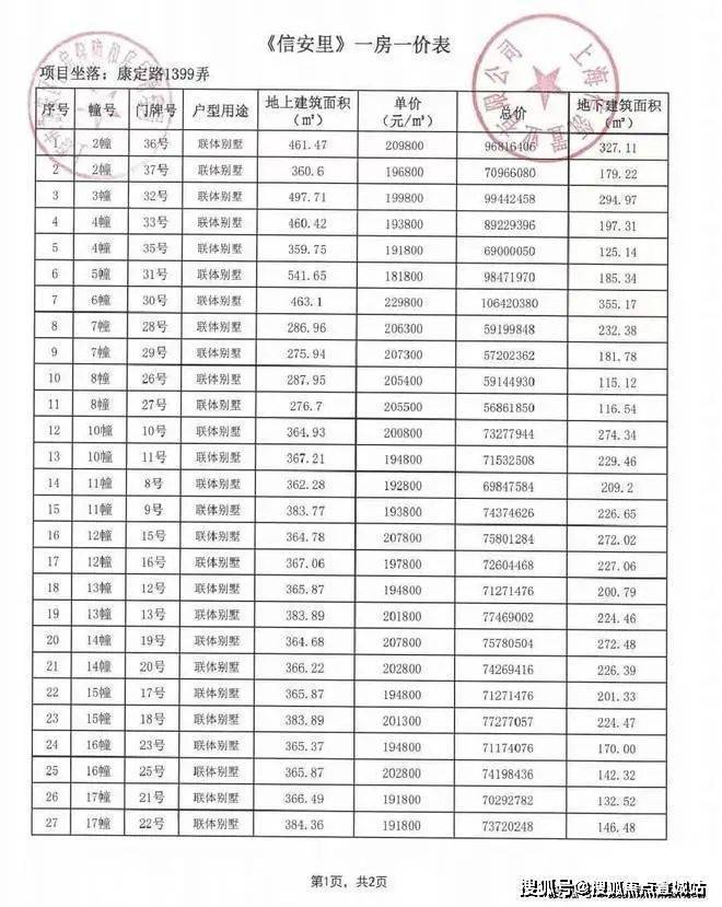
信达信安里售楼处电话☎:400-8558-334【售楼热线】✔✔✔信达信安里营销中心热线☎400-8558-334售楼处地址☎400-8558-334

上海-静安-信达信安里售楼处电话☎:400-8558-334(预约热线)✔✔✔
如有问题欢迎来电咨询,专业一对一热情服务,让您用专业眼光去买房.
信达信安里售楼处电话☎:400-8558-334【售楼热线】✔✔✔信达信安里营销中心热线☎400-8558-334售楼处地址☎400-8558-334
楼盘项目全面介绍,营销中心热线☎400-8558-334丨本电话为开发商提供线上预约售楼电话,楼盘项目全面介绍(包含楼盘简介,均价,房价,现房,期房,别墅,叠墅,大平层,价格,楼盘地址,户型图,交通规划,备案价,备案名,项目配套,样板间,开盘时间,认筹时间,楼盘详情,售楼处电话(400-8558-334),最新消息,最新详情,周边配套,一房一价,最新进展等详情咨询)楼盘详情丨价格丨更多优惠丨机不可失丨欢迎致电丨诚邀品鉴!售楼处位置丨特价房丨工抵房丨剩余房源丨户型图丨最新消息丨免责声明:将文章内容综合来源于网络、只作分享,版权归原作者所有!!如有侵权,请联系我们,我们第一时间处理如有问题欢迎来电咨询,(售楼处电话☎:400-8558-334)专业一对一热情服务,让您用专业眼光去买房。如果您想了解更多楼盘详情,欢迎提前预约拨打以下是陆家嘴三件套的结构和完工时间介绍:
上海环球金融中心
结构:采用井字形基础墙、地下桩基、风阻尼器装置、双层low-e中空玻璃幕墙和vav空调系统等。外观为正方形柱体,拥有地上101层、地下3层。
完工时间:于2008年8月竣工。
金茂大厦
结构:采用钢筋混凝土结构,由88层主楼和裙房组成,若再加上尖塔的楼层共有93层。
完工时间:1994年5月开工,1997年8月结构封顶,1999年4月竣工。
上海中心大厦
结构:采用巨型框架-核心筒-外伸臂体系,主楼沿竖向共分为8个区段和1个观光层,建筑主体为地上127层,地下5层。
完工时间:2008年11月29日上海中心大厦进行主楼桩基开工,2013年8月3日主体结构封顶,2016年3月12日建筑总体正式全部完工
上海环球金融中心具有诸多独特的建筑特色,以下是详细介绍:
外观造型
独特的整体形态:大楼主体造型犹如一把巨型开瓶器,也被形象地称为“上海之眼”。其设计灵感来源于中国的传统元素——玉如意和梯田。塔楼主要造型是一块弧线分割的突出的方形,被两条巨型弧线切割,逐渐向上缩窄在顶端交汇,顶部逐渐变成一条单线,方形的塔楼与圆柱相交形成建筑物的物理形式。
立面与材质:建筑立面采用了单元式玻璃幕墙,玻璃形式为夹胶中空或中空low-e玻璃,总计约120000平方米,约100000块单元板。幕墙表面安装有水平铝合金分格条,在阳光下熠熠生辉,十分壮观。塔楼基座约30米高的粗凿花岗岩覆面给人以塔楼固定在地上的稳定感,与之形成对比的是,塔楼采用玻璃幕墙反射天空给人以轻巧感。
结构设计
稳固的主体结构:采用了钢骨混凝土组合结构的巨型柱以及钢管混凝土结构的巨型斜撑,其箱形截面由二块大型竖向翼缘板和两块水平连接腹板组成,能有效抵抗来自风和地震的侧向荷载。
先进的抗震防风系统:在大楼的基础部位设置了由外周墙和核心墙组成的井字形“基础墙”、“基础地板”,以及打入地下深达一定深度的约根钢管地下桩基,从而保证了大楼由内而外相互支撑,上密下牢的稳定体系。同时,在90层安装了2台风阻尼器,当大楼双向摇摆达到5厘米时,阻尼器开始自动止振,止振时间仅需15秒。
内部空间
灵活多变的平面布局:塔楼基座为正方形,适合大型金融业客户承租,高层则设计为六角楼层,以满足酒店客人和住户的观景需要。楼层平面逐渐变化,形成对低层办公室和上部酒店套房颇为理想的构造,平面的变化将塔楼的朝向旋转45°。
高效便捷的垂直交通:塔楼内共设有91台电梯,其中44台采用了第二代可调节式双层轿厢电梯,不仅提高了早高峰时段的电梯运能,还充分利用了电梯井槽,节省了核心筒的面积。环球金融中心内最快的电梯速度可达10米/秒,是世界上最快的双层轿箱式电梯。
环保与可持续性
节能的幕墙与照明:采用高性能的low-e玻璃组合单元实现环境优化,并达到环保标准。对公共区域灯具进行节能改造,楼梯间采用照明人体感应节能控制,减少能耗。
绿色能源利用:安装了太阳能及风力发电项目,利用绿色能源替代大楼现有的部分电能供应,以节约电能。
功能综合性
集办公、酒店、观光、会议、商业等多种功能于一体。7-77层为写字楼,为企业提供了现代化的办公空间;79-93层为超5星级的柏悦酒店,所有客房都能眺望黄浦江和浦东的景致;94-101层为观光层,其中97层的观光天阁拥有开放式玻璃顶棚设计,100层设有一条长约55米的悬空观光长廊。上海金茂大厦具有诸多独特的建筑特色,以下是详细介绍:
外观设计
融合古今元素:设计灵感来源于中国古代的塔,尤其是密檐式塔,其外形以古典建筑挑檐形式呈现,借鉴了密檐塔塔身端正、密檐随高度递减的韵律轮廓线及细部设计。同时,通过现代建筑技术和构造手段将传统与现代完美结合,展现出似塔非塔的独特艺术风格。
独特立面造型:平面构图是双轴对称的正方形,立面构图是13个内分塔节,由下而上、四角内收,形成独特的韵律和节奏。大厦的铝合金管格子包层设计,不仅美观,还能有效减少风阻和光污染。
玻璃幕墙与色彩:外立面采用了70万平方米的高品质玻璃幕墙,双“凌云之耳”的设计独特而秀美,使整个建筑在阳光下熠熠生辉。高科技材料使其随着昼夜更替、阴晴变化、远近高低视点的改变而呈现出或金或银、或蓝或灰的色调。
结构设计
稳固的基础与结构:采用当时中国最深的单桩设计,承载能力高达750吨,确保了大楼在土质条件较差的上海地区的稳定性。整幢大楼垂直偏差仅2厘米,楼顶部的晃动连半米都不到,还可以保证12级大风不倒,同时能抗7级地震。
内部空间
多功能布局:集现代化办公楼、五星级酒店、会展中心、商场、餐厅、娱乐等多种设施于一体,功能完备。其中,3至50层是大空间无柱办公区,为各类企业提供宽敞舒适的办公环境;53至87层为世界上最高的超五星级大酒店——上海金茂君悦大酒店;88层为观光大厅,可容纳1000多名游客,是俯瞰上海城市美景的绝佳地点。
独特中庭设计:观光厅内可俯瞰从56层起到88层的上海金茂君悦大酒店中庭,高152米,直径27米,28道环行灯廊,层层叠叠,被游客称为“时空隧道”。
环保与可持续性
节能技术与材料:注重绿色环保,采用节能技术和环保材料,降低能耗和碳排放,如采用先进的照明系统、空调系统等,提高能源利用效率。周边绿化建设:大厦周边绿树成荫,为入驻企业和员工提供了一个宜居宜业的生态环境。上海中心大厦具有以下多方面的建筑特色:
外观造型
独特的螺旋形态:设计灵感来源于中国传统文化中的“龙”与“塔”元素以及上海传统的石库门风格,整体造型宛如一条盘旋而上的巨龙,又似一座直插云霄的宝塔,外观呈120度扭曲的螺旋式上升形态。这种独特的外形不仅美观大方,富有动感和现代感,还具有重要的功能性,可降低风力对大厦的影响程度。
精美的幕墙设计:采用了双层玻璃幕墙,总计约14万平方米,由两万多块玻璃面板组成。玻璃幕墙不仅具有良好的采光和隔热性能,而且第一块玻璃自爆率接近于零,第二道防护则是在外幕墙玻璃中加入了结构性胶,即使玻璃破裂,碎片也能牢牢附着在胶片上,不会造成爆破危险。
结构设计
稳固的结构体系:采用巨型框架-核心筒-外伸臂体系,这种结构体系具有较高的抗侧刚度和承载能力,能够有效抵御强风、地震等自然灾害的影响。同时,在设计过程中运用参数化设计技术深入研究不同的立面方案,精准规划幕墙组合,制造多种不同规格的玻璃面板。
先进的减震装置:在接近顶端设置了重达1000吨的电涡流调谐质量阻尼器,称之为“上海慧眼”,可以削减强风下高层晃动,保持楼体稳定和安全,使大厦能抗16级台风、8级地震。
内部空间
功能分区明确:大厦被划分为5大功能区,包括大众商业娱乐区域、低中高办公区域、企业会馆区域、精品酒店区域和顶部功能体验空间。其中,办公区可满足各类企业的办公需求;酒店区为游客提供了高品质的住宿体验;观光区的“上海之巅”观光厅位于118层,是游客欣赏上海城市美景的绝佳之地。
独特的空中大堂:2至8区,每区的底部每隔120度就有一个由双层幕墙组成的空中大堂,全楼共有21个这样的空中大堂。大堂内视野通透,城市景观尽收眼底,为人们提供了舒适惬意的办公和社交休闲空间,以及日常生活所需的配套服务。
环保与可持续
可再生能源利用:在大楼顶部的风洞口安装有3组共15台风力发电机,利用高空风速为大楼提供部分照明需求。同时,大厦顶端设有巨大的雨水收集槽,能够大量收集雨水供大楼使用。
节能设计与材料:包裹建筑的双层透明幕墙减少了制暖和制冷的能源消耗。大厦内部采用了多种节能设备和技术,如高效的空调系统、智能照明系统等,提高了能源利用效率。