尚湾林语(售楼处)首页网站-2025尚湾林语营销中心(售楼处中心)小区欢迎您-楼盘详情-户型配套-售楼处电话-交房时间-周边环境-户型-价格-地址

搜狐焦点宣城站

2025-06-20 09:46:29

购房群

买房如何避坑,加入购房群,看看他们怎么说

立即进群

尚湾林语

售楼处电话:400-8505-956【售楼处预约热线】(一对一热情服务)

看房请务必提前致电销售确认时间,只有预约客户才能享受开发商提供的内部优惠以及专属的老客户推荐奖励!我们提供专业的一对一热情服务,助您以专业视角挑选理想的房产。

闵行主城大零号湾腹地

国企打造约180万方更新大城

尚湾林语官方售楼处电话:400-5805-956【官方】

建面约100㎡3房/建面约149㎡4房热销中

首开均价60500元/㎡(低于联动价1500元/㎡)

二期建面约81-149㎡新品即将加推

闵行颛桥「尚湾林语」二期即将过会!将推出建面约81-149㎡的3-4房户型,前期均价仅约6.05万/㎡!

编辑

户型图如下:

编辑

尚湾林语官方售楼处电话:400-5805-956【官方】

编辑

尚湾林语官方售楼处电话:400-5805-956【官方】

编辑

尚湾林语官方售楼处电话:400-5805-956【官方】

编辑

尚湾林语官方售楼处电话:400-5805-956【官方】

编辑

尚湾林语官方售楼处电话:400-5805-956【官方】

编辑

尚湾林语官方售楼处电话:400-5805-956【官方】

编辑

尚湾林语官方售楼处电话:400-5805-956【官方】

编辑

有了足够的社区空间,才能打造出极致的园林。社区由景观轴和生活轴构成了一个“十字轴线”,布局多元组团。一条天然河道从小区穿过,构成约15万方的天然水域,打造未来理想水岸。多数住宅都实现三面至四面景观环绕,坐拥揽园望林观水视野。

售楼处电话:400-8505-956【售楼处预约热线】(一对一热情服务)

尚湾林语舍弃了追求利润的高低配,打造了这样一个低容积率的全小高层社区。这样的设计确保了足够的楼间距,满足了采光,也开阔了视野。

编辑

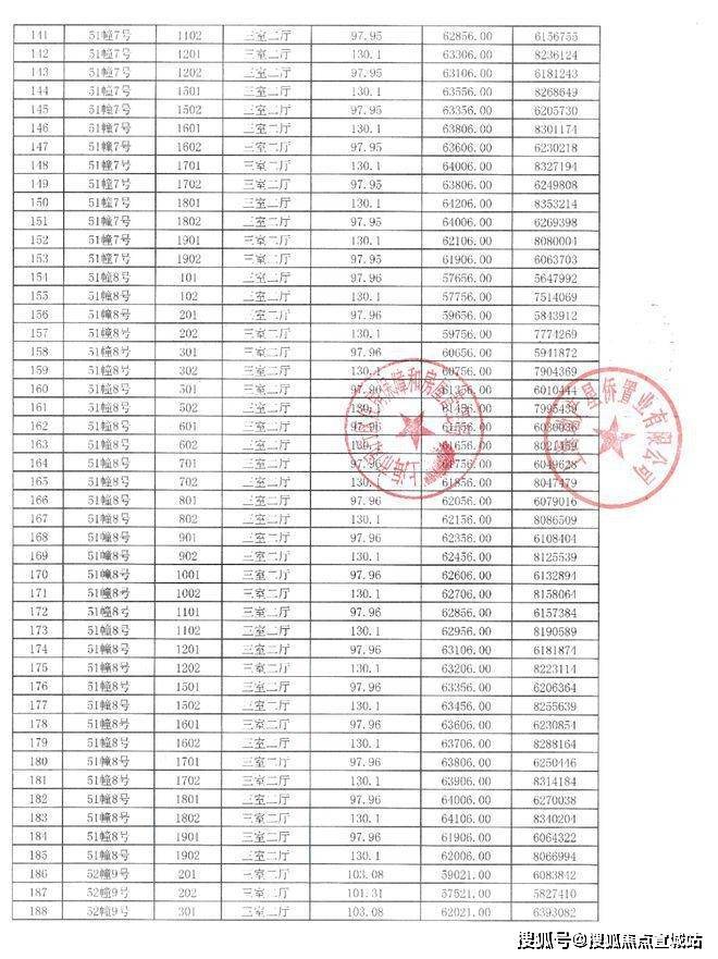
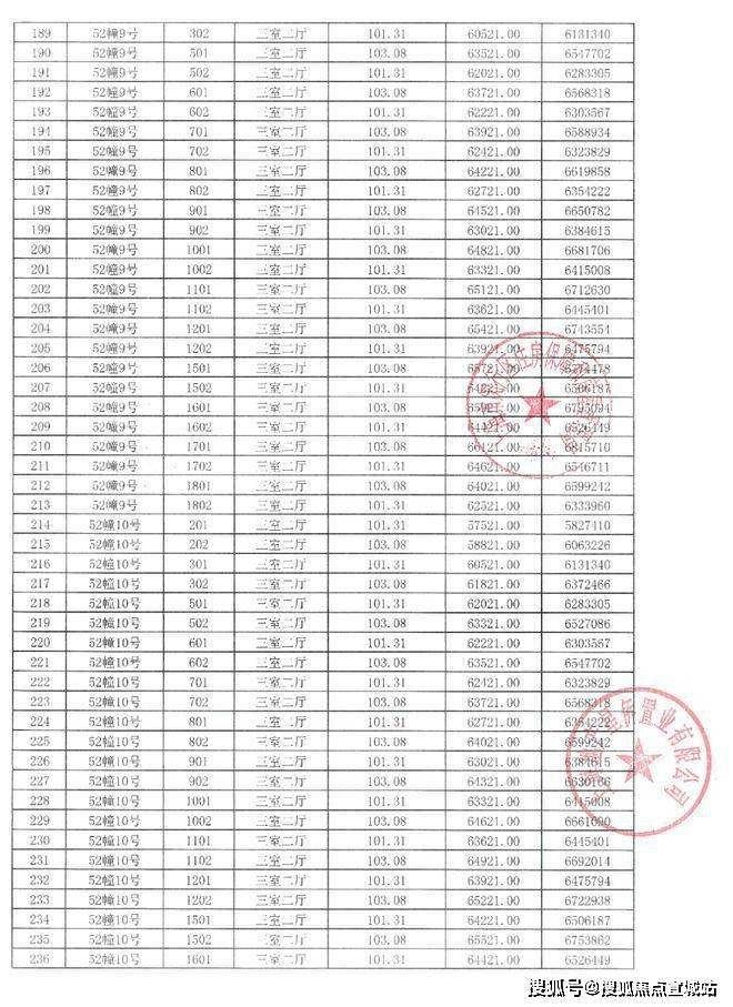
一房一价表如下:

编辑

编辑

编辑

编辑

编辑

编辑

尚湾林语官方售楼处电话:400-5805-956【官方】

而1.6-1.8容积率的尚湾林语相比如今常见的2.5甚至3.0以上容积率的社区,居住舒适度是瑶瑶领先的。

值得一提,项目首开楼栋最大栋距更达约38米,采光优异,且所有楼栋几乎实现三面甚至四面景观环绕。

编辑

交通配套:项目距离5号线剑川路站仅约1公里,通过5号线可以直达莘庄城市副中心,并换乘1号线到达徐家汇、人民广场等核心CBD。

售楼处电话:400-8505-956【售楼处预约热线】(一对一热情服务)

商业配套:周边规划汇集约21.5万方商办,涵盖开放商街、邻里中心、生态办公、人才公寓等,花园生态办公和菁英人才公寓相生共融,将共同构成南上海原生态花园型商务区。

编辑

教育配套:周边有闵行区马桥实验学校、闵行区北桥中学、银星小学等。同时,规划有教育资源约3.44万方,涵盖了幼儿园、初中、高中全龄人文配套。同时,板块内的环交大闵行校区基础教育生态区,非常值得信赖。(期房不承诺学区)

编辑

医疗配套:上海市第五人民医院、沪闵医院、闵行区中西医结合医院等。

尚湾林语

售楼处电话:400-8505-956【售楼处预约热线】(一对一热情服务)

看房请务必提前致电销售确认时间,只有预约客户才能享受开发商提供的内部优惠以及专属的老客户推荐奖励!我们提供专业的一对一热情服务,助您以专业视角挑选理想的房产。

全部

相关资讯

报名成功
稍后会有专业的置业顾问联系您
返回楼盘

频道导航

返回首页

看房小程序

APP下载

电话拨通后,请您手动拨打分机号

确定拨打电话

电话号码:

分机号:(可能需要拨分机号)