上海临港【港城悦领】
售楼处电话最新发布:400-8386-958
售楼处电话:400-838-6958【售楼处预约热线】
欢迎致电售楼处电话,专业一对一热情服务,让您用专业眼光去买房。
四期产品约99-130㎡高层
以及约151-162㎡叠墅
准现房,今年买今年住
是临港主城为数不多的墅境藏品
港城悦领小区约35%绿化率,约1.45容积率,即使放眼整个临港,新出让住宅土地容积率普遍在2-2.5,所以港城·悦领是货真价实的低密度墅境住区。此次加推叠墅建面约151-162㎡叠墅,楼栋为5#、6#、16#、18#、20#,楼栋基本靠近景观中轴,出户就是优美的公共区绿地花园孩子在这里玩耍,大人在这放松身心,老人享受阳光,有天有地,让低密的亲地生活触手可及。
售楼处电话最新发布:400-8386-958
售楼处电话:400-838-6958【售楼处预约热线】

该项目注重建筑环境对住户心理健康的影响,充分考虑空间、时间、私密性及场地环境等综合因素,满足健康建筑评价要求的同时,营造活力向上的室内外空间。项目均达到上海市超低能耗建筑、绿色建筑三星级和健康建筑三星级综合评定要求。
售楼处电话最新发布:400-8386-958
售楼处电话:400-838-6958【售楼处预约热线】
项目在室外公共空间的设计中,融合了健康建筑标准,立足环境心理学中的社交需求,创造性设置全龄优享乐园,将老年人活动区、室外交流场所及室外运动健身空间设置在儿童活动区周边,方便业主在照看儿童的同时,满足自身运动及社交需求,可以随时亲近自然,享用运动空间,打造出了一个健康有活力、丰富有层次的个性化、多功能室外共享空间。
从品质与开发商实力来说,国企港城展现雄厚实力!如今准现房呈现,为了保交付提前半年交房。这是港城少有的投入大量资源开发高端改善产品的企业;小区公共景观绿化高+品牌精装+中央空调、地暖、新风三大件+绿建三星&超低能耗、繁华商业在旁等诸多优势,堪称临港新房的佼佼者。


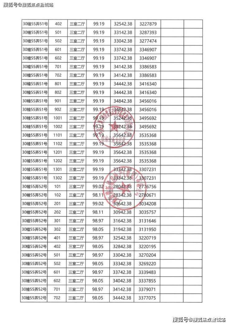
户型图
(仅供参考,以官方最终公示为准)


售楼处电话最新发布:400-8386-958
售楼处电话:400-838-6958【售楼处预约热线】

售楼处电话最新发布:400-8386-958
售楼处电话:400-838-6958【售楼处预约热线】
售楼处电话最新发布:400-8386-958
售楼处电话:400-838-6958【售楼处预约热线】
售楼处电话最新发布:400-8386-958
售楼处电话:400-838-6958【售楼处预约热线】
商业方面:附近有港城新天地!未来还将有蓝鲸世界商业中心,涵盖社交娱乐,亲子休闲,购物餐饮等元素,体量超越临港万达广场和爱琴海购物公园。
售楼处电话最新发布:400-8386-958
售楼处电话:400-838-6958【售楼处预约热线】
教育方面:临港已经聚集了相当强悍的公办教育资源~冰厂田、建平、明珠、上中东校、未来还有华二,加上耀华~简直就是教育“梦之队”!
售楼处电话最新发布:400-8386-958
售楼处电话:400-838-6958【售楼处预约热线】
医疗方面:除了已投入使用的第六人民医院临港院区(三甲),未来规划有中新合作的国际医疗康检中心。
交通方面:未来片区还有两条轨交规划,两港快线一期刚获批,从滴水湖直达浦东机场、上海东站。根据规划,两港快线二期会经过申港大道枢纽,就在港城悦庭北侧,除此之外,还有1条市区(轨交)线,覆盖临港主城区。项目西侧的水华路设计了水华路交通枢纽。
售楼处电话最新发布:400-8386-958
售楼处电话:400-838-6958【售楼处预约热线】
看房请务必致电与销售确认时间,仅预约客户可享受开发商内部优惠,专属老带新推荐奖!如有问题欢迎来电咨询,专业一对一热情服务,让您用专业眼光去买房。如果您想了解更多楼盘详情,欢迎提前预约拨打售楼处电话400-838-6958