2026尼德兰半岛突发消息:上海浦东尼德兰半岛售楼处电话丨【售楼中心】尼德兰半岛楼盘地址丨项目简介

搜狐焦点宣城站

2026-01-13 07:25:00

购房群

买房如何避坑,加入购房群,看看他们怎么说

立即进群

上海浦东尼德兰半岛售楼处电话:400-8828-814✔✔【预约热线】尼德兰半岛售楼处营销中心:400-8828-814尼德兰半岛售楼处电话/地址☎:400-882-8814(开发商热线)如有问题欢迎来电咨询,专业一对一热情服务,让您用专业眼光去买房。建面约205/235㎡,均价仅7.35万/㎡,主力总价1500万级!

尼德兰半岛售楼处营销中心:400-8828-814尼德兰半岛售楼处电话/地址☎:400-882-8814(开发商热线)容积率低至约0.66,浦东森兰北,纯联排墅区尼德兰·半岛最后66套建面约205/235㎡实景联排今日开启认购,均价仅7.35万/㎡,主力总价1500万级!

推广名称:尼德兰·半岛

开发商:上海新高桥开发有限公司

销售状态:二批次收官待售

均价:73500元/m²

物业类型:住宅

总建筑面积:约6.4万㎡

总户数:140户

容积率:约0.66

绿化率:约40%

面积段:约205㎡/235㎡

产权年限:70年

车位配比:约1:3

装修配置:毛坯

营销中心地址:溪兰路151-161号

尼德兰半岛售楼处营销中心:400-8828-814尼德兰半岛售楼处电话/地址☎:400-882-8814(开发商热线)

尼德兰半岛售楼处营销中心:400-8828-814尼德兰半岛售楼处电话/地址☎:400-882-8814(开发商热线)

项目实景图

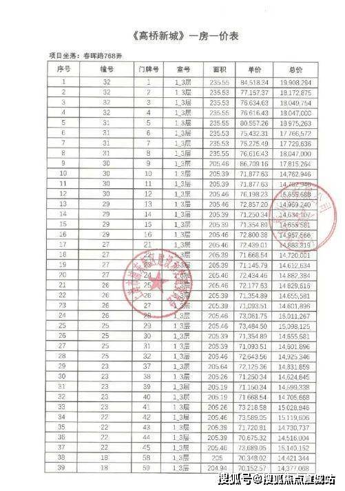
一房一价表:

尼德兰半岛售楼处营销中心:400-8828-814尼德兰半岛售楼处电话/地址☎:400-882-8814(开发商热线)

尼德兰半岛售楼处营销中心:400-8828-814尼德兰半岛售楼处电话/地址☎:400-882-8814(开发商热线)

当上海土拍市场持续上演“价格狂飙”大戏,能独占土地资源的低密别墅,正成为穿越市场周期的黄金“硬通货”.

高层「竖向共享土地」:20户分摊200㎡土地,土地增值需20户均分;

别墅「横向独占土地」:一套建面约200㎡别墅,实际占有土地面积超200㎡(含附赠面积),土地增值完全归业主独享.

尼德兰半岛售楼处营销中心:400-8828-814尼德兰半岛售楼处电话/地址☎:400-882-8814(开发商热线)

同地段土拍地价每涨1万/㎡,别墅单户土地增值200万+,高层单户约10万(需共享).

土拍越狠,别墅越稳!与其买「钢筋水泥格子间」,不如抢占「能传家的土地资产」.

尼德兰半岛售楼处营销中心:400-8828-814尼德兰半岛售楼处电话/地址☎:400-882-8814(开发商热线)

日前,上海一花园别墅2.7亿成交,单价约50万/㎡.

更印证了买别墅才是「与土地共生」,是穿越市场周期的终极答案.

尼德兰半岛售楼处营销中心:400-8828-814尼德兰半岛售楼处电话/地址☎:400-882-8814(开发商热线)

所以,尼德兰·半岛堪称宝藏级「土地资产」.

而三大稀缺性更放大了项目的收藏价值:

①、绝唱级约0.66容积率,后无来者

禁墅令下容积率1.0以下别墅用地已全面停批,近十年市场供应直接归零.

尼德兰半岛约0.66超低容积率,堪称“绝版遗珠”.对比当下市场,1.2容积率已被视为低密,但在这样的指标下,社区往往只能混合打造联排、洋房与高层,居住圈层与社区纯粹度打折扣.

而尼德兰·半岛凭借约0.66容积率,打造出纯粹联排墅区,保障居住品质,更营造出高端、纯粹的圈层体验.

尼德兰半岛售楼处营销中心:400-8828-814尼德兰半岛售楼处电话/地址☎:400-882-8814(开发商热线)

②、浦东联排告急,一席定珍藏

浦东2024年至今总供应17285套新房,其中联排只有137套,占比不足0.8%!且这137套中74套就是尼德兰·半岛一期.

尼德兰半岛售楼处营销中心:400-8828-814尼德兰半岛售楼处电话/地址☎:400-882-8814(开发商热线)【开发商认证】回顾市场供应趋势,曾经浦东联排还能维持每年400+套供应规模,如今却锐减至百套左右.土地资源枯竭,让每一套联排别墅都成为孤品,卖一套少一套!

尼德兰·半岛二期这最后66席,无疑是抢占浦东联排市场的最后船票.

尼德兰半岛售楼处营销中心:400-8828-814尼德兰半岛售楼处电话/地址☎:400-882-8814(开发商热线)

③、高层价格买联排,尼德兰·半岛「土地占有性价比」超高

单价维度,浦东中环外高层价格冲击10万/㎡,外环外唐镇高层预计破8万/㎡.

按照市场惯例,联排较高层存在1.4-1.5倍溢价,而尼德兰·半岛作为中外环间的纯联排别墅,7.35万/㎡过会均价性价比不言而喻.

总价层面,杨浦已全面上10万/㎡,1500万级也就买一套140㎡户型,扣除约25%公摊,实得面积仅约105㎡.

浦东森兰次新同样如此,有限空间难以承载多元生活场景.

而尼德兰·半岛1500万级可买建面约205/235㎡实景联排,地上三层+庭前绿地+地下室,使用面积远超建筑面积.

别忘了,联排还有超大土地占有,资产潜力远胜高层.

尼德兰半岛售楼处营销中心:400-8828-814尼德兰半岛售楼处电话/地址☎:400-882-8814(开发商热线)

项目还是现房,品质所见即所得,给购房者吃下一颗定心丸!

尼德兰半岛售楼处营销中心:400-8828-814尼德兰半岛售楼处电话/地址☎:400-882-8814(开发商热线)

容积率低至0.66

实景联排别墅,所见即所得

别墅最重要的指标就是容积率.

当下市场,不少所谓“联排社区”因容积率限制,不得不采用小高层与联排混搭的开发模式,导致社区不够纯粹,居住体验也大打折扣.

于追求私密生活的联排业主,高容积率意味着邻居如织,在自家庭院品茗、休憩的惬意时光,随时可能成为高层住户俯瞰的“景观”.

尼德兰半岛售楼处营销中心:400-8828-814尼德兰半岛售楼处电话/地址☎:400-882-8814(开发商热线)而尼德兰·半岛得益于超低的0.66容积率,土地天赋高,打造了纯联排社区,居住在这里就是:低密、绿意盎然、邻里互不打扰

项目实景图

另外,约0.66超低容积率,意味着建筑为自然作出的退让,项目拥有更多空间去做景观.

比如,项目临水而建,沿河设有绿化景观带,于繁忙的业主,能更好调节快节奏生活.

尼德兰半岛售楼处营销中心:400-8828-814尼德兰半岛售楼处电话/地址☎:400-882-8814(开发商热线)

项目实景图

又比如,项目以约40%绿化率,让每一处居住空间充满鲜活的生机,打造归家四重奏,回家就能卸下一天的疲惫.

项目实景图

项目已是现房,毛坯交付,社区基本已实景呈现,所见即所得,还能缩短交付周期,买得更安心.

尼德兰半岛售楼处营销中心:400-8828-814尼德兰半岛售楼处电话/地址☎:400-882-8814(开发商热线)

项目实景图

分层而居,有天有地,尼德兰半岛售楼处营销中心:400-8828-814尼德兰半岛售楼处电话/地址☎:400-882-8814(开发商热线)

丰富的生活情景,不是平层可比的

项目推出最后66套建面约205/235㎡实景联排,整体地上三层+庭前绿地+地下室的空间结构.

楼上楼下分层而居,各享私密,让「青年子女的私密主场」与「父母的静谧天地」互不干扰,即使青年业主举办小party玩到深夜,也不会打扰长辈休息.

同时附赠空间多,衍生出的生活情境不是平层能比拟的,无论多孩家庭还是三代同堂,各自都有志趣空间.

以建面约205㎡联排为例:尼德兰半岛售楼处营销中心:400-8828-814尼德兰半岛售楼处电话/地址☎:400-882-8814(开发商热线)

✔联排的精髓在于庭前绿地

尼德兰·半岛把别墅「有天有地」玩明白了,三个亮点越品越香:

前庭后院、场景丰富

尼德兰半岛售楼处营销中心:400-8828-814尼德兰半岛售楼处电话/地址☎:400-882-8814(开发商热线)前院是「社交场」,摆套户外桌椅,朋友来了能喝茶晒太阳;后院是「私密园」,种点蔬菜花草,老人浇花、孩子玩球,各得其乐.这种「前院烟火气,后院诗意浓」的设计,很对味中国家庭的生活习惯.

项目实景图

庭前绿地尺度可观

若是家里小朋友过生日,邀请同学上门,轻松装点一番,比苦寻的网红餐厅还要多几分味道.尼德兰半岛售楼处营销中心:400-8828-814尼德兰半岛售楼处电话/地址☎:400-882-8814(开发商热线)

方正规整不零碎,实用率高

见过太多庭前绿地被分割得七零八落,而尼德兰·半岛很规整,无论铺草坪、种花卉,还是搭秋千,都能随心规划.

从客厅看出去,一整片绿意扑面而来,心情都变好了.

一楼房间可以做老人房,对于爱侍弄花草的长辈,拉开窗帘就是美景.

项目实景图

✔地上三层,分层而居互不打扰,生活情境丰富.

一楼主社交,客厅阔绰,LDKG一体化格局;

样板间实拍

尼德兰半岛售楼处营销中心:400-8828-814尼德兰半岛售楼处电话/地址☎:400-882-8814(开发商热线)二楼南向次卧自带景观阳台,可摆上秋千椅与多肉植物,清晨喝咖啡看庭院晨露,夜晚躺摇椅数星星.

这层还能形成多个灵动空间,可以是卧室满足二孩家庭需求,也可以开辟出孩子的游戏区、画室或者主人的工作室等.

样板间实拍

三层的空间尺度就更奢侈了,一整层都是主卧,采光窗尺度震撼,可安排衣帽间+书房+浴缸+双台盆主卫的超级套房.

值得一提,三层有南北双露台,可以是小两口携手聊天的地方,也能是孩子架设望远镜眺望星空的场地.尼德兰半岛售楼处营销中心:400-8828-814尼德兰半岛售楼处电话/地址☎:400-882-8814(开发商热线)

样板间实拍

尼德兰半岛售楼处营销中心:400-8828-814尼德兰半岛售楼处电话/地址☎:400-882-8814(开发商热线)

✔点睛之笔是地下室,格局方正完整,层高约5.6米,利用率高!

你可以摆满各种健身器材的健身区、铺满镜子的舞蹈室、私密静音的钢琴房、放松身心的SPA区,甚至私人酒窖、雪茄室……一切都随心所欲.

得益于地下室一层约5.6米的挑高,它能把更多的功能"装进来",比如家政空间、储藏空间、卧室等空间集中到地下.

且每一户地下室,都有大面积采光井,大大提升通风采光度,无需100%依赖灯光照明.尼德兰半岛售楼处营销中心:400-8828-814尼德兰半岛售楼处电话/地址☎:400-882-8814(开发商热线)

此外,项目还有建面约235㎡联排:

尼德兰半岛售楼处营销中心:400-8828-814尼德兰半岛售楼处电话/地址☎:400-882-8814(开发商热线)-1F逸趣层,明亮天井采光,阔绰格局营造收纳、娱乐场,墅藏美好.

1F归家层,院见天地风光,阔绰一体化格局,将美梦做到满足.

2F闲居层,双重景观套房,预留拓展可变空间,沉淀岁月儒雅底蕴.

3F奢想层,高定整层主人空间,浪漫星空露台,成就生活的奢想.

产品细节也彰显于车位设计上,出入有位人生方能一步到位,车位配比约1:3(车位需购买),满足墅居家庭对多车位的需求,自由出行让身心更豁达.

同时高标准精选工艺,打造高品质地下停车场,卓越设计让归家更有仪式感,出入安全更安心.

真正的城市联排。尼德兰半岛售楼处营销中心:400-8828-814尼德兰半岛售楼处电话/地址☎:400-882-8814(开发商热线)

配套成熟即享,生活便捷

尼德兰·半岛是真正的城市别墅,一方面它距离金色中环直线仅约4公里;

另一方面,它位于百万方大城高桥新城,板块内配套非常成熟,所见即所得,且离森兰绿地和森兰的高阶配套非常近.

1、交通通达性高,浦东浦西能便捷切换.

轨交上,项目周边有6号线航津路站,可与10号线港城路站、12号线巨峰路站实现换乘,还有21号线高桥新城站(规划中).

(6号线航津路站距项目直线距离约1.5km,10号线港城路站距项目直线距离约2.2km、地铁21号线高桥新城站(规划中))

自驾可便捷到外高桥、金桥、森兰;同时可通过翔殷路隧道、周家嘴路隧道便捷连通杨浦五角场、虹口北外滩等高能级区域.尼德兰半岛售楼处营销中心:400-8828-814尼德兰半岛售楼处电话/地址☎:400-882-8814(开发商热线)

项目区位图

2、区域配套成熟即享,生活便捷.尼德兰半岛售楼处营销中心:400-8828-814尼德兰半岛售楼处电话/地址☎:400-882-8814(开发商热线)

高桥新城内拥有约10万方成熟商业,毗邻夏碧路/莱阳路兰街区,拥有联华大卖场、星巴克、上海人家、MR.BOOK书集等.

高桥新城实景图,仅供参考

你也可以去森兰,小胖君从项目导航到森兰花园城,开车距离仅约3.3公里.

尼德兰半岛售楼处营销中心:400-8828-814尼德兰半岛售楼处电话/地址☎:400-882-8814(开发商热线)

这里有森兰商业集群:森兰商都、招商花园城、阳光天地等,还在建森兰印象城(预计2026年开业).

周边还有“天物有所”为区域注入文艺气息.

森兰印象城效果图,来源印力集团公众号

另外6/12号线巨峰路地铁站在建PRISMA新嘉中心(主体结构已全面封顶),将继续加码浦东北部的商业版图,预计2026年开业.

PRISMA新嘉中心效果图

3、毗邻森兰绿地.尼德兰半岛售楼处营销中心:400-8828-814尼德兰半岛售楼处电话/地址☎:400-882-8814(开发商热线)

森兰绿地是上海规划的八大楔形绿地之一,涵盖森兰湖、森兰无界公园等配套,以约2.4倍世纪公园的气魄造一个生态森林.

尼德兰·半岛与森兰绿地毗邻而居,自然与城市之间,理想生活诗意盛放.

尼德兰半岛售楼处营销中心:400-8828-814尼德兰半岛售楼处电话/地址☎:400-882-8814(开发商热线)

森兰绿地实景图

容积率低至0.66

浦东森兰北尼德兰·半岛

最后66席建面约205/235㎡实景联排

今日开启认购

主力总价1500万级实现有天有地

同时抢占高潜力土地资产

上海浦东尼德兰半岛售楼处电话:400-8828-814✔✔【预约热线】尼德兰半岛售楼处营销中心:400-8828-814尼德兰半岛售楼处电话/地址☎:400-882-8814(开发商热线)如有问题欢迎来电咨询,专业一对一热情服务,让您用专业眼光去买房。建面约205/235㎡,均价仅7.35万/㎡,主力总价1500万级!

全部

相关资讯

报名成功
稍后会有专业的置业顾问联系您
返回楼盘

频道导航

返回首页

看房小程序

APP下载

电话拨通后,请您手动拨打分机号

确定拨打电话

电话号码:

分机号:(可能需要拨分机号)