招商时代潮派(2025年招商时代潮派)首页网站-招商时代潮派售楼处电话/户型/楼盘详情

搜狐焦点宣城站

2025-07-13 09:38:27

购房群

买房如何避坑,加入购房群,看看他们怎么说

立即进群

招商时代潮派售楼处电话:400-8851-337✔✔【预约热线】招商时代潮派售楼处营销中心:400-8851-337,招商时代潮派售楼处电话/地址☎:4008851337(开发商热线)如有问题欢迎来电咨询,专业一对一热情服务,让您用专业眼光去买房。9号线泗泾站约50万方超级综合体

450万起TOD新盘

【招商时代潮派】八期

✨官方售楼处☎☎:400-8851-337✨

正在认购!

认购时间:3.22-3.26

主推建面约100㎡3房户型

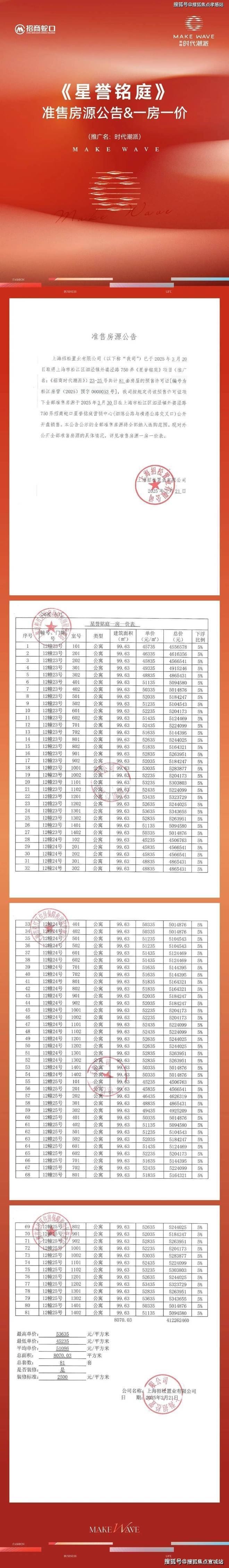
均价51086元/㎡

房源共计81套!

✨招商时代潮派官方售楼处☎☎:400-8851-337✨

项目基本信息

✨招商时代潮派官方售楼处☎☎:400-8851-337✨项目名称招商时代潮派备案名星誉铭庭开发商招商蛇口产权性质及年限住宅-70年户型及面积高层:建面89㎡(3-2-1)【379-460万左右】高层:建面99㎡(3-2-2)【420-524万左右】高层:建面125㎡(4-2-2)【554-672万左右】单价区间高层:4.2-5.2万总价区间高层:379-672万左右交付标准装修(中央空调+地暖+新风)得房率约73%-78%绿化率35%容积率2.0物业费高层:4.8元/㎡/月总层高高层14-18F单层层高高层:14层为3米;18层2.95米总栋数一期20栋总户数14-01地块1246户梯户比14层为一梯两户;18层为两梯四户及三梯六户

拿地时间2024年1月10日预计交付时间一期预计2026年11月30日车位配比1:1.09

品质标杆森屿度假社区

【✨招商时代潮派官方售楼处☎☎:400-8851-337✨】以国际酒店为灵感,打造平行世界的高品质生活方式。

效果示意图,仅供参考

颜值立面,沉淀历久弥新的惊艳

【✨招商时代潮派官方售楼处☎☎:400-8851-337✨】汲取极简主义的精髓,运用简约线条精心塑造建筑的轻盈感与未来感。项目特别设计了鎏金穹顶,以其独特的艺术魅力为城市天际线勾勒出一道历久弥新的美学符号,彰显了项目的品质与品味。

效果示意图,仅供参考

✨招商时代潮派官方售楼处☎☎:400-8851-337✨

在建筑的转角处,项目巧妙地运用了弧形元素,不仅柔化了建筑的立面形态,更增强了整体空间的流动感与韵律美,使建筑在保持简约风格的同时,又不失优雅与和谐。

效果示意图,仅供参考

✨招商时代潮派官方售楼处☎☎:400-8851-337✨

三重归家,匠心高定生活礼仪

在归家仪式感方面,招商时代潮派精心规划三重归家动线。

效果示意图,仅供参考

✨招商时代潮派官方售楼处☎☎:400-8851-337✨

社区主入口设计酒店式环岛归家,辅以活力四溢的涌泉水景,营造出更尊崇的归家仪式感,让业主在归家的瞬间感受到尊贵与温馨。

入户门厅以弧形悬浮顶棚为特色,为业主带来柔和温润的归家关怀,让归家的每一步都充满舒适与惬意。

效果示意图,仅供参考

此外,✨招商时代潮派官方售楼处☎☎:400-8851-337✨项目还设有地上地下双精装大堂,地下车库电梯直达,为业主提供便捷高效的出行体验,同时也彰显了极尽礼宾仪式的尊贵品质。

效果示意图,仅供参考

✨招商时代潮派官方售楼处☎☎:400-8851-337✨

多元景观,自然森系生活体验

✨招商时代潮派官方售楼处☎☎:400-8851-337✨项目充分融合多元化的景观元素,内外呼应巧妙构筑了:迎宾门庭、连绵水苑、潮玩乐园、光影艺廊、冥想绿境、休闲会客、景观入户等多维并蓄的高颜值景观组团,让业主享受兼具现代美学与自然森系特色的度假式居所。

效果示意图,仅供参考

✨招商时代潮派官方售楼处☎☎:400-8851-337✨

四大架空层,自家楼下的泛会所

✨招商时代潮派官方售楼处☎☎:400-8851-337✨在社区内部精心布局了多个架空层区域,涵盖休闲会客、社交洽谈、儿童娱乐及阅读室四大核心功能模块,为业主带来适合全龄段的社交空间,营造更加温馨和谐的生活氛围。

效果示意图,仅供参考

产品方面,【✨招商时代潮派官方售楼处☎☎:400-8851-337✨】加推153套建面约99-143㎡全装修3-4房,均价52377元/㎡,2月8号认购。

✨招商时代潮派官方售楼处☎☎:400-8851-337✨

一房一价

✨招商时代潮派官方售楼处☎☎:400-8851-337✨

建面约89㎡3房户型图▼

✨招商时代潮派官方售楼处☎☎:400-8851-337✨

建面约89㎡3房户型:东边套主卧配置约270°双向采光飘窗、S墙设计,主力总价仅约450万级,首付约90万起!

首先,S墙的设计使得冰箱得以不占用厨房空间,将更多面积留给更多的生活场景

创意展示间实景图仅供参考,不作为交付承诺

✨招商时代潮派官方售楼处☎☎:400-8851-337✨

其次,主卧的约270°无柱转角超宽巨幕景观视野(仅东边套),着实令人震撼

同价段更是无敌,是当下500w级必看必买的楼盘

创意展示间实景图仅供参考,不作为交付承诺

✨招商时代潮派官方售楼处☎☎:400-8851-337✨

此外,还有全卧室带飘窗+卫生间干湿分离等等细节,让你尽可能把家中物件归拢,让屋里的每一个平方都能发挥在更实际的地方

✨招商时代潮派官方售楼处☎☎:400-8851-337✨

创意展示间实景图仅供参考,不作为交付承诺

✨招商时代潮派官方售楼处☎☎:400-8851-337✨

建面约99㎡3房户型图▼

✨招商时代潮派官方售楼处☎☎:400-8851-337✨

✨招商时代潮派官方售楼处☎☎:400-8851-337✨

建面约99㎡三房:该户型是典型的飞机格局,很大程度上提高了使用率

无走道浪费+多飘窗设计,让视觉大大向外延伸,“小家也可以住得不小”

特别值得一提的是,建面约99㎡还做到了独立玄关+双卫配置,大大提升了业主的私密感

创意展示间实景图仅供参考,不作为交付承诺

✨招商时代潮派官方售楼处☎☎:400-8851-337✨

三开间朝南+全卧室带飘窗+客厅带宽面阳台,让阳光可以洒进室内的每一个角落,舒适度拉满

创意展示间实景图仅供参考,不作为交付承诺

此外,入户玄关的设计既是家与外部的缓冲空间,也保证了主人的私密空间

创意展示间实景图仅供参考,不作为交付承诺

建面约125㎡4房户型图▼

✨招商时代潮派官方售楼处☎☎:400-8851-337✨

建面约125㎡4房:四开间朝南搭配一个巨幕横厅,让室内尺度与采光都达到了极致,更重要的是该户型主力总价仅约600万级,首付仅约120万起!

南向两个卧室都能提供很好的居住舒适度,北向房间既可以是小卧室,也可以是书房、游戏房、茶室等个性化空间

大横厅的设计也很好迎合了当下年轻人的空间需求——一个能够容纳更丰富生活场景的多功能生活中心,家人可以一边忙着自己手头的事情,一边无障碍互动、沟通,让生活更有温度

✨招商时代潮派官方售楼处☎☎:400-8851-337✨

✨招商时代潮派官方售楼处☎☎:400-8851-337✨

✨招商时代潮派官方售楼处☎☎:400-8851-337✨

建面约143㎡4房户型图▼

生活配套

✨招商时代潮派官方售楼处☎☎:400-8851-337✨交通方面:项目紧邻9号线泗泾站,9号线一直是泗泾的一张“王牌”,这条轨交为泗泾带来了3站七宝,9站徐家汇的巨大通勤优势。未来松江还会有12号线西延伸,对于泗泾人民来说,轨交出行十分便利。

✨招商时代潮派官方售楼处☎☎:400-8851-337✨另外,泗泾拥有四横四纵的立体交通路网:G50沪渝高速连接内环,直达市中心;泗陈公路连接七宝和漕河泾;沈砖公路连接沪闵路高架直达徐家汇;G60沪昆高速连接徐浦大桥,直达浦东。

✨招商时代潮派官方售楼处☎☎:400-8851-337✨商业方面,项目本身除了打造19万平方的TOD综合体之外,还有三湘商业广场、保利悦活荟、金地方邻等商业。

✨招商时代潮派官方售楼处☎☎:400-8851-337✨教育方面,周边还有上师大附属松江实验学校、泗泾小学、泗泾第十幼儿园等优质教育资源。

✨招商时代潮派官方售楼处☎☎:400-8851-337✨医疗方面,泗泾医院现正在积极创建二级甲等综合性医院中,计划建成第二批上海市区域医疗中心。

✨招商时代潮派官方售楼处☎☎:400-8851-337✨绿化方面,泗泾有着总长约9.03千米的泗泾塘,贯穿整个片区。还有约5.4万平方米的泗滨绿地。

一、预约方式

电话预约

拨打招商时代潮派售楼处专属热线:[400-8851-337]

工作时间:周一至周日9:00-20:00

致电后请告知工作人员您的姓名、联系方式、意向看房日期及具体时间段,我们将立即为您安排专业置业顾问对接。

二、预约须知

时间要求:建议至少提前1天预约,以便我们根据您的需求调配资源;临时到访可能需等待顾问安排,敬请谅解

携带证件:请务必携带本人身份证原件,如需办理购房意向登记还需携带户口本、收入证明等材料

特殊需求:如携带老人、儿童同行,或需要外语讲解、无障碍设施支持等,请在预约时明确告知

三、看房流程

预约确认:成功预约后将收到短信/电话确认

现场接待:抵达售楼处后,出示预约信息,由专属顾问接待

项目参观:跟随顾问参观沙盘、样板间及社区配套设施

咨询洽谈:在接待区详细了解房源信息、价格政策及购房流程

意向登记:如需进一步了解可现场办理意向登记手续

四、温馨提示

看房当日建议穿着轻便舒适的鞋子,方便参观样板间

如需携带宠物同行,请提前沟通并做好牵引防护

售楼处提供免费茶歇、儿童游乐区等配套服务

如有任何疑问,欢迎随时联系您的专属置业顾问:招商时代潮派售楼处电话:[400-8851-337]

期待您的光临!

招商时代潮派售楼处电话:400-8851-337✔✔【预约热线】招商时代潮派售楼处营销中心:400-8851-337,招商时代潮派售楼处电话/地址☎:4008851337(开发商热线)如有问题欢迎来电咨询,专业一对一热情服务,让您用专业眼光去买房。

全部

相关资讯

报名成功
稍后会有专业的置业顾问联系您
返回楼盘

频道导航

返回首页

看房小程序

APP下载

电话拨通后,请您手动拨打分机号

确定拨打电话

电话号码:

分机号:(可能需要拨分机号)