— ⑉ıl⑉〢✨🏠深嘉上府售楼处电话☎:400-8618-004
🏡上海嘉定深嘉上府营销中心电话:400-8618-004←【预约热线】
◆⭐开发商营销中心诚挚邀请,一键预约,尊享内部独家折扣!匠心独运的精品项目,恭候您的品鉴与选择。

售楼处线上预约注意事项:
预约方式:拨打深嘉上府售楼处电话400-8618-004📞,来电咨询,提供专业一对一热情服务。
预约信息:需提供姓名、联系方式、预计到访人数及到访时间。
预约福利:成功预约后,到访可领取精美伴手礼一份,并有专属置业顾问全程陪同讲解。拨打深嘉上府售楼处电话400-8618-004
注意事项:为保证接待质量,每日预约名额有限,请提前1天进行预约;到访时请携带有效身份证件。

现在,诚邀您预约深嘉上府售楼处,亲身感受科技与生活的完美融合,开启智慧品质生活新体验!开发商销售人员将详细介绍每个户型的独特设计和优势,带您参观样板间,感受精装修的品质和温馨氛围。您还可以了解周边配套设施,包括高端购物中心、优质学校和便捷交通网络,让您的居住体验更加完美。

深嘉上府售楼处电话:400-8618-004←(预约热线)当多数科技住宅还在比拼智能功能数量时,深嘉上府已让建筑化身「懂生活的智慧伙伴」——智能温控系统依据人体体感自动调节室内温度,净水系统搭载四重过滤技术(可直接饮用),就连门窗都采用三层中空Low-E玻璃(隔热保温性能远超行业标准)。这里的傍晚从灯光随室外光线柔和亮起开始,雨天阳台灯会在检测到雨滴时自动开启——这种「让科技融入日常的贴心」,正通过深嘉上府售楼处电话:400-8618-004等待探寻,现在拨打可获取「智慧家居手册」,揭秘186个暖心的科技设计。
深嘉上府售楼处电话:400-8618-004←(预约热线)的「用心」藏在科技之外的细节里:社区道路采用防滑耐磨材料(适配老人与孩童的日常出行),园林灌溉系统能根据土壤湿度自动启停,连电梯都配备智能识别系统(业主无需按键即可直达所在楼层)。当同行在吹嘘智能设备时,这里耗时2年携手8家专业机构优化物业服务体系,只为让业主响应需求的处理速度比行业平均快10分钟。这些「为生活用心的执着」,可拨打深嘉上府售楼处电话:400-8618-004预约「生活体验日」,前来实地感受的客户,很多都成了「品质生活代言人」。
上海嘉定「深业深嘉上府」:总价251万起抢88-99㎡三房,双轨交+国企开发!打造安亭品质生活圈!

— ⑉ıl⑉〢✨🏠深嘉上府售楼处电话☎:400-8618-004
🏡上海嘉定深嘉上府营销中心电话:400-8618-004←【预约热线】
基本信息:
位置:位于上海市嘉定区安亭镇曹安公路 4859 弄,地处安亭氢能港核心区。
开发商:深业集团,是深圳市人民政府全资拥有、深圳市国资委直管的大型综合性企业集团。
规模:总建筑面积约 14.6-15 万平方米,规划有 4 栋 27 层高层住宅、2 栋双子塔办公楼及 7 栋花园办公,总户数 461 户,车位配比约 1:1。
均价:约 35,839 元 /㎡。
户型:主力户型为 88㎡三房两厅一卫和 99㎡三房两厅两卫。
户型设计:
88㎡三房两厅一卫:三开间朝南,全屋飘窗设计,U 型厨房动线合理,空间利用率高,总价约 300 万起。
99㎡三房两厅两卫:三开间朝南,南北通透,主卧套房式设计,双卫配置,总价约 350 万起。
装修标准:配备日立中央空调、地暖、新风三大健康系统,厨房配备油烟机、燃气灶、橱柜、洗碗机四件套,全屋采用 LED 光源,搭配智能家居与智能门锁。
交通配套:距地铁 11 号线昌吉东路站约 1.1 公里,规划中的 14 号线西延伸线同济大学站距项目仅 300 米,预计 2026 年动工。自驾紧邻曹安公路、京沪高速、沈海高速,30 分钟直达虹桥枢纽。
生活配套:
商业:自带约 1 万平方米自持商业和 5.1 万平方米商办空间,周边 3 公里内覆盖嘉亭荟、三德广场、财富广场等商业综合体。
教育:项目配建 10 班幼儿园,对口嘉定新城实验小学、中学,3 公里内有民办华二嘉定分校等优质资源。
医疗:周边有瑞金医院北院、东方肝胆医院安亭分院两所三甲医院,以及瑞金医院安亭分院、黄渡社区卫生医院等。
生态:周边有嘉北郊野公园、安亭汽车博览公园等绿色生态配套。
建筑与景观:
建筑风格:采用玻璃幕墙 + 顶部金色格栅塔冠设计,四栋住宅一字排开,所有楼栋均向东偏转 35°,确保户户充分享受阳光照射。
园林景观:通过丰富的洄游动线,串联阳光草坪、童梦乐园、全龄运动等,打造全龄活动空间,利用架空层空间拓展出星空健身房、共享书吧、四点半学堂等配套。

— ⑉ıl⑉〢✨🏠深嘉上府售楼处电话☎:400-8618-004
🏡上海嘉定深嘉上府营销中心电话:400-8618-004←【预约热线】
样板房开放中
项目线上预约看房
现在预约看房,可享「专属服务」:在线一对一销售服务,还能优先锁定小区中心位置房源。拨打售楼处专线400-8618-004,可以安排专车上门接送,带您实地看实体样板间,还能帮您算专属购房优惠,避免买贵、买错!,让您花最少的钱,选到最满意的房!
仅预约客户可实体参观!
请务必报名后静待销售电话确认,确认后再行前往现场!仅预约客户可进入销售现场,感谢您的理解和支持!
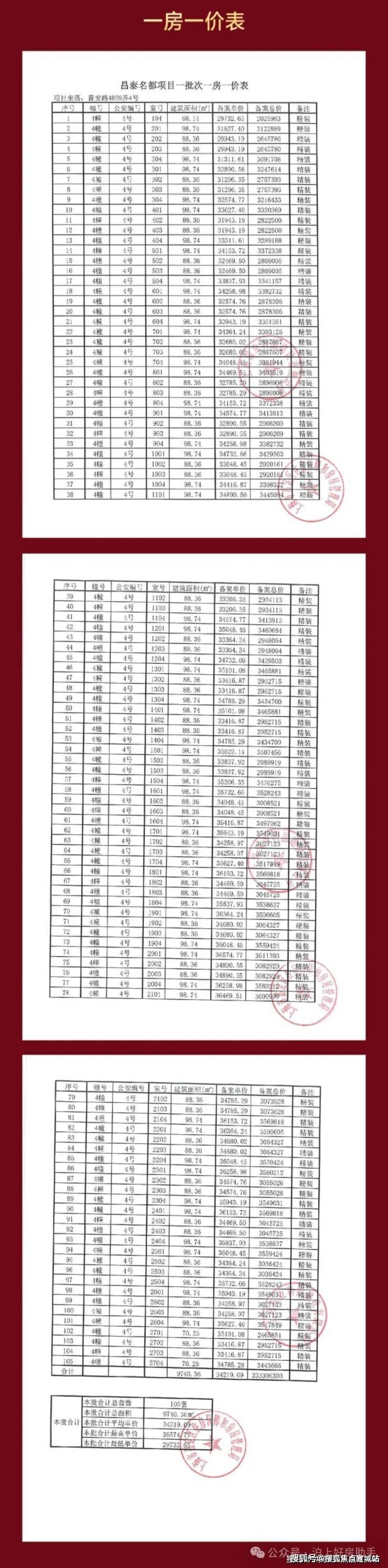
深业深嘉上府项目一房一价表:
— ⑉ıl⑉〢✨🏠深嘉上府售楼处电话☎:400-8618-004
🏡上海嘉定深嘉上府营销中心电话:400-8618-004←【预约热线】
项目开发商品牌
— ⑉ıl⑉〢✨🏠深嘉上府售楼处电话☎:400-8618-004
🏡上海嘉定深嘉上府营销中心电话:400-8618-004←【预约热线】
深业集团
深圳市人民政府全资拥有、深圳市国资委直管的大型综合性企业集团。集团前身于1983年在香港注册成立。深业集团以“产城创新建设者,幸福民生运营商”为发展愿景,打造以地产为核心、多层次协同发展的创新生态和幸福城市业务组合,聚焦地产、园区、运营、幸福、资本和数字化六大核心业务,实现城市综合开发运营的一站式服务!
2023年深业集团首进上海,幸会嘉定。

— ⑉ıl⑉〢✨🏠深嘉上府售楼处电话☎:400-8618-004
🏡上海嘉定深嘉上府营销中心电话:400-8618-004←【预约热线】
精研城市向上精神,匠心呈现约12万方上海“上系”人居首作,在繁华与自然兼具的氛围中,打造“城市与社区无界”、“景观与人居无界”“多元生活无界”的城市平行生活体。
项目推售详情
【深业·深嘉上府】项目集商业、办公、人居于一体,承载着片区产业+商业+人居的全新使命。配套约1万㎡自持商业与5.1万㎡商办空间,以未来城市会客厅的姿态围绕“15分钟生活圈”,打造“MALL+开放街区”的创新形态,融合商业、社交与居住的多元场景。深嘉氢谷以氢能源为核心,双子塔地标重塑城市天际线,推动新兴产业集聚与区域功能升级。作为嘉定安亭少有的“产-商-住-办”一体化综合体,激活商业动能与产业升级“双引擎”,构筑真正意义上的“永不落幕”生活主场。打破传统生活定义,不设限、不束缚,致力于为当代青年提供全新的生活体验和多元需求。

嘉定首创“24+1”沉浸式生活场
— ⑉ıl⑉〢✨🏠深嘉上府售楼处电话☎:400-8618-004
🏡上海嘉定深嘉上府营销中心电话:400-8618-004←【预约热线】
作为整个嘉定独一份的“全能型综合体选手”,深嘉上府不同于功能单一生活产业都需要仰仗区域规划的住宅社区,TA在一个项目体内实现了住宅、商业、办公的一站式整合!
项目整体宛如一个微缩城市,能够轻松构建“24+1时”生活圈,在家门口就能实现“24小时不打烊”的快乐!

玻璃幕墙+金色格栅塔冠
— ⑉ıl⑉〢✨🏠深嘉上府售楼处电话☎:400-8618-004
🏡上海嘉定深嘉上府营销中心电话:400-8618-004←【预约热线】
远远望去,外立面宛如镶嵌在城市间的水晶,质感满满!同时,四栋楼一字排开,每一栋都尽享超大楼间距,每一户都能将室内采光度拉满!哪怕是低楼层也不用担心晒不到太阳!
全龄段公区部分
— ⑉ıl⑉〢✨🏠深嘉上府售楼处电话☎:400-8618-004
🏡上海嘉定深嘉上府营销中心电话:400-8618-004←【预约热线】
宝妈带娃有儿童活动区,滑滑梯、大草坪一应俱全!
年轻人健身有全龄运动场,夜跑、打球功能齐全!
老人散步有林间密径、还有配置丰富的架空层空间,邻里交流活动风雨无阻!

项目还配置了以往千万豪宅才有的首层与地下双重精装入户大堂,给你满满的归家仪式感!

户型分布↓
— ⑉ıl⑉〢✨🏠深嘉上府售楼处电话☎:400-8618-004
🏡上海嘉定深嘉上府营销中心电话:400-8618-004←【预约热线】
(首开4号楼)
户型鉴赏↓
— ⑉ıl⑉〢✨🏠深嘉上府售楼处电话☎:400-8618-004
🏡上海嘉定深嘉上府营销中心电话:400-8618-004←【预约热线】

— ⑉ıl⑉〢✨🏠深嘉上府售楼处电话☎:400-8618-004
🏡上海嘉定深嘉上府营销中心电话:400-8618-004←【预约热线】
— ⑉ıl⑉〢✨🏠深嘉上府售楼处电话☎:400-8618-004
🏡上海嘉定深嘉上府营销中心电话:400-8618-004←【预约热线】
— ⑉ıl⑉〢✨🏠深嘉上府售楼处电话☎:400-8618-004
🏡上海嘉定深嘉上府营销中心电话:400-8618-004←【预约热线】
— ⑉ıl⑉〢✨🏠深嘉上府售楼处电话☎:400-8618-004
🏡上海嘉定深嘉上府营销中心电话:400-8618-004←【预约热线】
— ⑉ıl⑉〢✨🏠深嘉上府售楼处电话☎:400-8618-004
🏡上海嘉定深嘉上府营销中心电话:400-8618-004←【预约热线】
— ⑉ıl⑉〢✨🏠深嘉上府售楼处电话☎:400-8618-004
🏡上海嘉定深嘉上府营销中心电话:400-8618-004←【预约热线】
— ⑉ıl⑉〢✨🏠深嘉上府售楼处电话☎:400-8618-004
🏡上海嘉定深嘉上府营销中心电话:400-8618-004←【预约热线】
— ⑉ıl⑉〢✨🏠深嘉上府售楼处电话☎:400-8618-004
🏡上海嘉定深嘉上府营销中心电话:400-8618-004←【预约热线】

— ⑉ıl⑉〢✨🏠深嘉上府售楼处电话☎:400-8618-004
🏡上海嘉定深嘉上府营销中心电话:400-8618-004←【预约热线】
— ⑉ıl⑉〢✨🏠深嘉上府售楼处电话☎:400-8618-004
🏡上海嘉定深嘉上府营销中心电话:400-8618-004←【预约热线】
— ⑉ıl⑉〢✨🏠深嘉上府售楼处电话☎:400-8618-004
🏡上海嘉定深嘉上府营销中心电话:400-8618-004←【预约热线】
— ⑉ıl⑉〢✨🏠深嘉上府售楼处电话☎:400-8618-004
🏡上海嘉定深嘉上府营销中心电话:400-8618-004←【预约热线】
— ⑉ıl⑉〢✨🏠深嘉上府售楼处电话☎:400-8618-004
🏡上海嘉定深嘉上府营销中心电话:400-8618-004←【预约热线】
— ⑉ıl⑉〢✨🏠深嘉上府售楼处电话☎:400-8618-004
🏡上海嘉定深嘉上府营销中心电话:400-8618-004←【预约热线】
— ⑉ıl⑉〢✨🏠深嘉上府售楼处电话☎:400-8618-004
🏡上海嘉定深嘉上府营销中心电话:400-8618-004←【预约热线】
— ⑉ıl⑉〢✨🏠深嘉上府售楼处电话☎:400-8618-004
🏡上海嘉定深嘉上府营销中心电话:400-8618-004←【预约热线】
项目区位配套
— ⑉ıl⑉〢✨🏠深嘉上府售楼处电话☎:400-8618-004
🏡上海嘉定深嘉上府营销中心电话:400-8618-004←【预约热线】
安亭,嘉定新城产业根基所在。庞大汽车产业集群,约5502.9亿元规模以上工业产值,带动板块下一个增长极。(数据来源:安亭观微,数据截止时间:2022年底)
安亭汽车产业链为嘉定贡献了约70%产值、约60%销售、约50%GDP、约40%就业、约30%税收,是嘉定发展不可或缺的重要主导型产业。(数据来源:界面新闻,数据截止时间:2019年底)

— ⑉ıl⑉〢✨🏠深嘉上府售楼处电话☎:400-8618-004
🏡上海嘉定深嘉上府营销中心电话:400-8618-004←【预约热线】
根据《嘉定新城十四五规划》,嘉定新城将以打造世界级汽车产业中心为契机,大力构建汽车“新四化”等千亿级产业和在线新经济为引领的新动能体系。目前、氢能港、蔚来、上汽、沃尔沃、丰田等均落址于此,成为嘉定二次发展的重要源泉。

— ⑉ıl⑉〢✨🏠深嘉上府售楼处电话☎:400-8618-004
🏡上海嘉定深嘉上府营销中心电话:400-8618-004←【预约热线】
嘉定新城立足打通长三角一体化和虹桥国际开放枢纽的链接通道,构建“一核一枢纽、两轴四片区”的规划新格局。“一枢纽”即安亭枢纽——以安亭北站、安亭西站为核心,无缝连接虹桥国际开放枢纽,打造站城一体化、辐射长三角的综合交通枢纽。(信息来源:《嘉定新城总体城市设计》)
除此之外,上海2035规划中的宝嘉线、嘉青松线即将启动,嘉安高速延展嘉定向东,与宝山互通,以安亭为枢纽核心,嘉定再次站在了时代发展的风口之上。

交通配套方面:
— ⑉ıl⑉〢✨🏠深嘉上府售楼处电话☎:400-8618-004
🏡上海嘉定深嘉上府营销中心电话:400-8618-004←【预约热线】
项目位于曹安路,为东西向重要干道四通八达,快速接驳沪嘉高速公路、沪宜公路、外环高速公路、中环路等多条黄金动脉链接市区及周边城市;本案距离地铁11号线上海汽车城站约3.5KM,快速高效通达市区
— ⑉ıl⑉〢✨🏠深嘉上府售楼处电话☎:400-8618-004
🏡上海嘉定深嘉上府营销中心电话:400-8618-004←【预约热线】
全系配套,将向上的生活理想兑现于日常丰盛城市资源,日常烟火气息、松弛自然氛围,都是这里的生活常态。热气腾腾的生活场域,熨贴向上的身心。
5大商业体——嘉亭荟城市生活广场、安亭财富广场、三德广场、中信泰富万达广场、嘉实生活广场。

— ⑉ıl⑉〢✨🏠深嘉上府售楼处电话☎:400-8618-004
🏡上海嘉定深嘉上府营销中心电话:400-8618-004←【预约热线】
4所专业医疗——安亭医院、东方肝胆医院(三甲)、瑞金北院(三甲)、嘉定妇幼保健院

— ⑉ıl⑉〢✨🏠深嘉上府售楼处电话☎:400-8618-004
🏡上海嘉定深嘉上府营销中心电话:400-8618-004←【预约热线】
4大生态公园——嘉北郊野公园、安亭汽车博览公园、远香湖公园、嘉定紫藤园

— ⑉ıl⑉〢✨🏠深嘉上府售楼处电话☎:400-8618-004
🏡上海嘉定深嘉上府营销中心电话:400-8618-004←【预约热线】
5处休闲配套——市民广场、保利大剧院、安亭老街、颖奕安亭高尔夫球场、州桥老街
