上海宝山佳运名邸售楼处电话:400-885-1337✔✔【预约热线】佳运名邸售楼处营销中心:400-885-1337佳运名邸售楼处电话/地址☎:400-8851-337(开发商热线)如有问题欢迎来电咨询,专业一对一热情服务,让您用专业眼光去买房。北上海稀缺低密纯洋房,建面约90-129㎡精装3-4房,均价39837元/㎡总价约298万起。


佳运名邸售楼处营销中心:400-885-1337佳运名邸售楼处电话/地址☎:400-8851-337(开发商热线)
项目基础信息
占地面积: 5.3万方
建筑面积: 14万方
容积率: 1.4
绿化率: 35%
户型和套数:
洋房: 90平 3房2厅1卫:231套
总价: 毛坯316-373万 精装320-390万
108平3房2厅2卫:46套
总价: 精装440-490万
129平 4房2厅2卫:38套
总价: 毛坯473-540万 精装525-590万
建筑总高: 洋房8层(层高3米)
车位配比: 1:1.28 小区人车分流
梯户比: 洋房1梯2户
得房率: 85%
预计交房时间: 2025年6月底
物业公司: 中航物业管理有限公司
物业费: 4.3元/平米/月

项目推售详情
【佳运名邸】 拥有1.4的低容积率,根据规划显示,将打造纯粹8层洋房住区,装修交付。佳运名邸售楼处营销中心:400-885-1337佳运名邸售楼处电话/地址☎:400-8851-337(开发商热线)

在社区景观规划上,佳运名邸携手澳大利亚知名景观设计院,从传统府院规制汲取灵感,融合现代生活美学,打造轴线对称式花园,营造九重归家臻境,呈现洋房生活的尊崇仪式,兑现纯粹臻席的花园洋房生活。

佳运名邸售楼处营销中心:400-885-1337佳运名邸售楼处电话/地址☎:400-8851-337(开发商热线)

【佳运名邸】 主力户型为建面约126㎡四居、约108㎡三居、约90㎡三居,关照每位家庭成员的居住体验,实现人居空间到情感剧场的美好创变。佳运名邸售楼处营销中心:400-885-1337佳运名邸售楼处电话/地址☎:400-8851-337(开发商热线)
项目户型图▼

项目区位配套 佳运名邸售楼处营销中心:400-885-1337佳运名邸售楼处电话/地址☎:400-8851-337(开发商热线)

佳运名邸售楼处营销中心:400-885-1337佳运名邸售楼处电话/地址☎:400-8851-337(开发商热线)

交通配套方面:佳运名邸 距离S7沪崇高速直线距离约2公里,S7沪崇高速二期月罗公路-宝钱公路段已通车,沪太路(中环到郊环段)快速化(规划中),如火如荼进行中,未来将促进交通路网的升级。还有S16蕰川高速(规划中)、沪太路等路网,轻松畅,全城。佳运名邸售楼处营销中心:400-885-1337佳运名邸售楼处电话/地址☎:400-8851-337(开发商热线)

佳运名邸售楼处营销中心:400-885-1337佳运名邸售楼处电话/地址☎:400-8851-337(开发商热线)商业配 套方面:项目约 500米即可到达上坤上街购物中心,还有大润发、罗店世纪联华、各类生鲜超市、生活超市等满足日常生活所需;约5公里可达约70万方城市综合体美兰城,一站式打造城市崭新休闲主场。

佳运名邸售楼处营销中心:400-885-1337佳运名邸售楼处电话/地址☎:400-8851-337(开发商热线)医疗资 源方面:板块内 还有华山医院,国际和平妇幼保健院美兰湖分院,宝山罗店医院等医疗资源,为健康保驾护航。
教育资源方面: 佳运名邸售楼处营销中心:400-885-1337佳运名邸售楼处电话/地址☎:400-8851-337(开发商热线)社区自带幼儿园,板块内还有贝尔乐幼儿园、罗溪路四方幼儿园、金锣号幼儿园、宝山区罗店镇幼儿园、申花幼儿园、上海市罗店中心校、上海罗店中学、罗阳小学、上海市宝山陈伯吹中学、上海外国语大学附属宝山双语学校等幼小中学府,距九年一贯制上海世外教育集团附属美兰湖学校仅约3公里,丰富优教资源为孩子营造高品质成长环境。

生态资源方面: 佳运名邸售楼处营销中心:400-885-1337佳运名邸售楼处电话/地址☎:400-8851-337(开发商热线)罗新公园、罗溪公园、闻道园等林立,约110亩美兰湖、美兰湖高尔夫球场、诺贝尔科技公园等各大主题景观带环伺,围合一座“都市氧吧”。

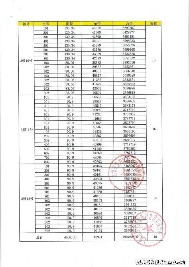
项目一房一价表 佳运名邸售楼处营销中心:400-885-1337佳运名邸售楼处电话/地址☎:400-8851-337(开发商热线)


佳运名邸售楼处营销中心:400-885-1337佳运名邸售楼处电话/地址☎:400-8851-337(开发商热线)


佳运名邸售楼处营销中心:400-885-1337佳运名邸售楼处电话/地址☎:400-8851-337(开发商热线)



佳运名邸售楼处营销中心:400-885-1337佳运名邸售楼处电话/地址☎:400-8851-337(开发商热线)



为更好满足居民刚性住房需求和多样化改善性住房需求,促进房地产市场平稳健康发展,8月25日,市住房城乡建设管理委、市房屋管理局、市财政局、市税务局、人民银行上海市分行、市公积金管理中心等六部门联合印发《关于优化调整本市房地产政策措施的通知》(以下简称《通知》),包括调减住房限购、优化住房公积金、优化个人住房信贷以及完善个人住房房产税等政策。《通知》自2025年8月26日起施行。
一、调减住房限购政策
为更好满足居民改善性需求,促进宜居安居、职住平衡,《通知》明确进一步调减住房限购政策。一是符合条件居民家庭在外环外购房不限套数。对符合本市住房购买条件的居民家庭,包括本市户籍居民家庭、在本市连续缴纳社会保险或个人所得税满1年及以上的非本市户籍居民家庭,在外环外购买住房不限套数,包括新建商品住房和二手住房。二是成年单身人士按照居民家庭执行住房限购政策。
按照上述规定,沪籍居民家庭和沪籍成年单身人士,在外环外购买住房不限套数;在外环内限购2套住房。非沪籍居民家庭和非沪籍成年单身人士,自购房之日前在本市连续缴纳社会保险或个人所得税满1年及以上的,在外环外购买住房不限套数;自购房之日前在本市连续缴纳社会保险或个人所得税满3年及以上的,在外环内限购1套住房。
关于住房限购政策相关业务,可拨打房地产交易行业服务热线“962269”具体咨询。
二、优化住房公积金政策
为加大公积金支持住房消费力度,《通知》规定优化住房公积金政策。一是提高个人住房公积金贷款额度。对缴存人购买二星级及以上新建绿色建筑住房的,住房公积金(含补充公积金)最高贷款额度上浮15%。首套最高贷款额度从160万元提高至184万元,多子女家庭首套上浮比例可叠加计算,从192万元提高至216万元;二套最高贷款额度从130万元提高至149.5万元。二是支持提取住房公积金支付购房首付款。对缴存人购买我市新建预售商品住房的,可以按规定申请提取本人及配偶的住房公积金支付购房首付款。三是支持住房公积金“又提又贷”。对缴存人提取住房公积金支付购房首付款的,不影响其住房公积金贷款额度计算。
关于住房公积金贷款和提取业务的具体办理方式及材料,可查询上海住房公积金官网或拨打住房公积金热线“12329”具体咨询。
三、优化调整商业性个人住房贷款利率定价机制
为减轻居民购房利息负担,《通知》明确优化个人住房信贷政策。银行业金融机构根据上海市市场利率定价自律机制要求和本机构经营状况、客户风险状况等因素,在利率定价机制安排方面不再区分首套住房和二套住房,合理确定每笔商业性个人住房贷款的具体利率水平。
关于住房贷款相关业务,可向经办银行具体咨询。
四、完善个人住房房产税政策
为衔接优化住房限购政策,《通知》规定对符合条件的非本市户籍居民家庭购买的第一套住房暂免征收房产税;购买的第二套及以上住房在合并计算家庭全部住房面积后,给予人均60平方米的免税面积扣除。由于个人住房房产税按年征收,因此2025年1月1日起符合条件的购房者可享受本条政策。
关于完善个人房产税政策的具体操作规定由市财税部门另行制定,相关业务可拨打税务咨询热线“12366”具体咨询。