大华公园柏翠
售楼处电话☎:400-8862-334【售楼处预约热线】(一对一热情服务)
看房请务必提前致电销售确认时间,只有预约客户才能享受开发商提供的内部优惠以及专属的老客户推荐奖励!我们提供专业的一对一热情服务,助您以专业视角挑选理想的房产。
大华公园柏翠售楼处电话:400-8862-334大华公园柏翠,因其约2公里范围内拥有总量约80万方的生态公园(相当于2个长风公园)而火爆于市场,成为公园生活的理想。
其中,包含一个千亩绿境,是家门口的生态绿境,可以随时随地亲近自然。
大华公园柏翠售楼处电话:400-8862-334以及,4大城市公园。例如,约3万方庙行公园、约4.2万方共和公园、约2.7万方三泉公园以及约9.3万方彭浦四季公园,居住在此,可以尽情的享受公园生活。大华公园柏翠售楼处电话:400-8862-334
大华公园柏翠售楼处电话:400-8862-334项目凭借天然大氧吧旁,板块的价值、低密的规划以及轻奢的品质,都是爆火市场的理由。
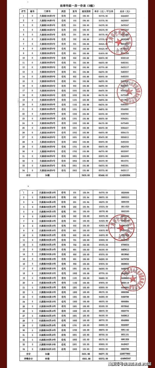
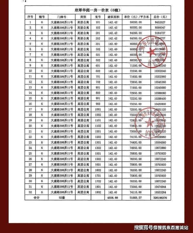
收官房源开盘热卖中!
164套建面约101-142m²3-4房
过会均价65327元/m²,总价520万起
124㎡户型已售罄大华公园柏翠售楼处电话:400-8862-334
大华公园柏翠售楼处电话:400-8862-334
户型图赏鉴
建面约101㎡越阶三房
大华公园柏翠售楼处电话:400-8862-334经典飞机户型+三开间朝南+餐客厨一体化+约5.3m的阔绰横厅,整体南向面宽达到约11.5m!整个户型的通透度和采光度很棒。
全屋飘窗设计+不封阳台+整个户型几乎没有过道面积的浪费,每个房间面积都很实用!得房率很高!大华公园柏翠售楼处电话:400-8862-334
两卫的人性化设计,即使是上班早高峰,排队洗漱不用等待,非常细节。
这个户型兼顾了实用性,也很好地控制总价段,很适合小年轻群体上车!大华公园柏翠售楼处电话:400-8862-334
大华公园柏翠售楼处电话:400-8862-334
建面约124㎡超享四房
大华公园柏翠售楼处电话:400-8862-334四开间朝南+南北通透!南向面宽达到约12.8m,采光度不言而喻清晨阳光照进来,开启活力满满的居家生活。
大华公园柏翠售楼处电话:400-8862-334主卧、次卧、主卫、次卫都做了飘窗设计,很好地延展了空间感,美观又实用。得房率很高。不封阳台,相当于是赠送一半面积,实打实省钱。
建面约142㎡天幕四房大华公园柏翠售楼处电话:400-8862-334
这套建面约142㎡的四房,堪称人生进阶之作。两个电梯厅,拥有独立的入户空间,类一梯一户的设计,“电梯前室+独立玄关”隔绝喧嚣、打扰,给到业主归家仪式感和尊崇感、私密性!

项目信息
大华公园柏翠售楼处电话:400-8862-334
大华公园柏翠售楼处电话:400-8862-3343月26日,上海宝山区发布公示,拟以协议方式出让宝山区庙行镇N12-1001单元15-03地块(“城中村”改造项目-庙行镇康家村)。
大华公园柏翠售楼处电话:400-8862-334根据现有的信息可以看到,此次推出的旧改地块,其实是在之前的新盘大华公园城市三期的南地块,两个地块紧挨着(四期:大华公园柏翠)。
为什么不叫大华公园城市四期了?因为此次推出的是大华高端系列产品大华公园柏翠售楼处电话:400-8862-334。
大华公园柏翠售楼处电话:400-8862-334项目四至范围:东至15-06地块(公共绿地)、南至15-04地块、西至大康路、北至共康路,占地面积43500㎡,总建筑面积140051.13㎡,容积率2.20。大华公园柏翠售楼处电话:400-8862-334
大华公园柏翠售楼处电话:400-8862-334根据项目规划设计方案,拟建15幢建筑。其中,4幢16层、10幢17层、1幢18层保障房以及配套用房等建筑、其中18F的楼栋为保障房。整个小区共计834户。可以看到,小区的排布比较传统,最大约70米开阔楼距,尊崇一梯两户,车位比也比较充足。大华公园柏翠售楼处电话:400-8862-334
大华公园柏翠售楼处电话:400-8862-334整个小区,南面规划了一大幅教育用地,其中规划了复旦附中旦华学校,西面原有的工业厂房,也进行了新的绿地规划。
大华公园柏翠售楼处电话:400-8862-334项目社区秉承“内外双公园、城市公园一体化”理念,打造出“一轴、一带、一环、九大花园空间”的生态品质社区。
一轴:纵向公园归家轴
一带:横向精致花园带
一环:阳光有氧环形跑道大华公园柏翠售楼处电话:400-8862-334
九园:潮汐花园(社区外围口袋花园)、浔湾秘境(会所式入户)、社交剧场、漫游森境、下沉会所、阅读花园、社交花园、自然博物馆。
约80米气派门面:非凡界面昭示,彰显大家门风。大华公园柏翠售楼处电话:400-8862-334
星级酒店大堂:全T2设计,出入从容,悦享私密尊崇。大华公园柏翠售楼处电话:400-8862-334
高感车库:引光入径,指引回家方向,营造明亮温馨的仪式感。大华公园柏翠售楼处电话:400-8862-334
大华物业:国家一级物业管理资质,中国物业服务百强企业,为逾百万家庭幸福生活保驾护航大华公园柏翠售楼处电话:400-8862-334
生活配套
大华公园柏翠售楼处电话:400-8862-334
大华公园柏翠售楼处电话:400-8862-334从地图上看,该地块距离静安区的直线距离只有800米,距离大宁核心区域仅约5公里,不仅离大宁国际商圈近,周边还有宝山万达、大华商圈等大型商业配套。大华公园柏翠售楼处电话:400-8862-334
来源:百度地图
大华公园柏翠售楼处电话:400-8862-334还有一个必须要注意的是,大宁区域的“大数据与云计算中心”市北高新,已在持续进行产业和人口导入,未来也将带动整个大宁北区域的腾飞。大华公园柏翠售楼处电话:400-8862-334
大华公园柏翠售楼处电话:400-8862-334交通方面:依托经过传统市中心的1号线(共康路站约1.8公里、18号线大康路站均约1.8公里),可以快速直达大宁、人民广场、淮海路、陕西南路等,经转乘通往陆家嘴、南京东路、南京西路也极为便捷。大华公园柏翠售楼处电话:400-8862-334
1号线线路图
大华公园柏翠售楼处电话:400-8862-334自驾上,南北高架+中环+外环+康宁路+长江西路,路网发达,可便捷通勤城市各重要节点。
商业方面:无缝链接大宁久光中心、大宁音乐广场、大宁国际商业广场等
周边约900M范围:社区邻里中心商业广场、场北集贸市场、北斗星广场
直线距离约2KM范围内:宝山万达广场、宝山购物中心等
直线距离离约2.5KM:大华老镇嘉年华商业广场,多类型商业形态荟萃
直线范围约4KM内:宝山山姆超市、弘基文化休闲广场、经纬汇等大华公园柏翠售楼处电话:400-8862-334
大华公园柏翠售楼处电话:400-8862-334教育方面:附近不仅有陈伯吹实验幼儿园、华东师大实验学校等名校,项目正南侧一路之隔,还有个九年一贯制学校在建设中。大华公园柏翠售楼处电话:400-8862-334
陈伯吹实验幼儿园
大华公园柏翠售楼处电话:400-8862-334生态休闲:项目坐拥五大公园、约80万方伟岸绿境环抱,媲美“新江湾湿地公园、世纪公园、长风公园”等,拥享“自然生态+稀臻难寻”双重价值属性。具体包括千亩绿境(约60万方绿化在侧),约3万方庙行公园、约4.2万方共和公园,约2.7万方三泉公园、约9.3万方彭浦四季公园等。大华公园柏翠售楼处电话:400-8862-334
大华公园柏翠
售楼处电话☎:400-8862-334【售楼处预约热线】(一对一热情服务)
看房请务必提前致电销售确认时间,只有预约客户才能享受开发商提供的内部优惠以及专属的老客户推荐奖励!我们提供专业的一对一热情服务,助您以专业视角挑选理想的房产。