【大华·公园柏翠】百度百科_项目均价_户型_开盘时间_价格怎么样?
上海宝山大华·公园柏翠售楼处电话:400-877-83344√√【官网预约☎】大华·公园柏翠售楼处营销中心:400-8778-334(开发商热线)大华·公园柏翠官方售楼中心电话/地址☎:4008778334【售楼处已认证√√√】如有问题欢迎来电咨询,专业一对一热情服务,让您用专业眼光去买房。
静安中环旁巅峰作品
1、18号线双轨交
「大华·公园柏翠」持续热销中!
少量建面约101-142㎡3-4房
均价65327元/㎡!总价520万起
样板房线上火热预约中!
总价520万起!静安中环旁双轨交「大华·公园柏翠」热销中!少量建面约101-142㎡3-4房丨附线上预约通道!


上海宝山大华·公园柏翠售楼处电话:400-877-83344√√【官网预约☎】大华·公园柏翠售楼处营销中心:400-8778-334(开发商热线)大华·公园柏翠官方售楼中心电话/地址☎:4008778334【售楼处已认证√√√】
近期不少粉丝群里,在市区上班,手握600-700万预算还能买到中环旁的新房吗?这个静安中环爆款「大华公园柏翠」无疑是优中之选!
它的地理优势明显,距离静安只有约400米、距离中环线直线约3km,同频享受静安的商业、医疗、文化等资源;品质方面能够比肩千万级奢宅的楼盘,价格却超香!
上海宝山大华·公园柏翠售楼处电话:400-877-83344√√【官网预约☎】大华·公园柏翠售楼处营销中心:400-8778-334(开发商热线)大华·公园柏翠官方售楼中心电话/地址☎:4008778334【售楼处已认证√√√】
项目距离中环线约3km!与大华公园柏翠同纬度的板块,新房均价起码约8.58万/㎡起,单价约10万+的区域比比皆是。
上海宝山大华·公园柏翠售楼处电话:400-877-83344√√【官网预约☎】大华·公园柏翠售楼处营销中心:400-8778-334(开发商热线)大华·公园柏翠官方售楼中心电话/地址☎:4008778334【售楼处已认证√√√】
内行人看门道,大宁土地价值再次得到印证和提升,接下来买到核芯地段、品质新房的门槛将大幅度的提高,而位处大宁之上,距新地块咫尺距离的大华·公园柏翠,首批均价约6.3万/㎡,售价优于楼板价的楼盘,实属难得。在品质打造方面比肩千万级奢宅,潜力清晰可见,可谓是难得一遇的“黄金置业机遇”近在眼前,怎能错过?
上海宝山大华·公园柏翠售楼处电话:400-877-83344√√【官网预约☎】大华·公园柏翠售楼处营销中心:400-8778-334(开发商热线)大华·公园柏翠官方售楼中心电话/地址☎:4008778334【售楼处已认证√√√】
最新消息!静安中环旁巅峰作品「大华·公园柏翠」大宁之上 双轨交1/18号线!少量建面约101-142㎡3-4房;过会均价65327元/m²,总价520万起!124㎡户型已售罄;售楼处线上火热预约中!
⬇️专业销售一对一咨询⬇️

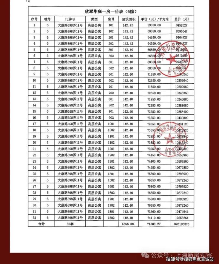
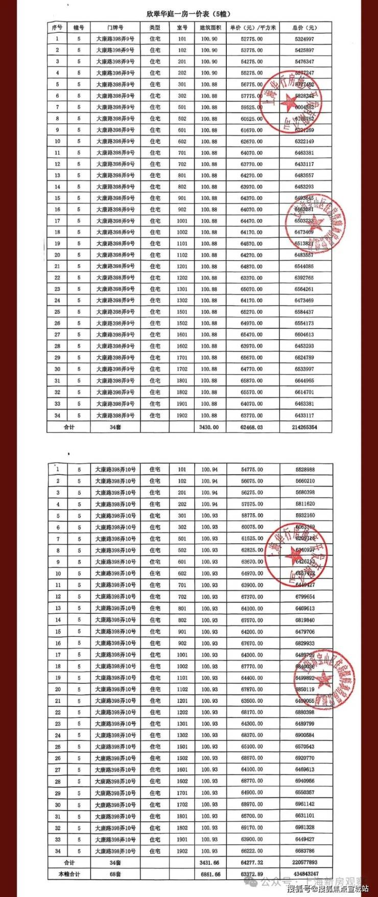
一房一价表如下:
上海宝山大华·公园柏翠售楼处电话:400-877-83344√√【官网预约☎】大华·公园柏翠售楼处营销中心:400-8778-334(开发商热线)大华·公园柏翠官方售楼中心电话/地址☎:4008778334【售楼处已认证√√√】
官方户型图如下:
⬇️专业销售一对一咨询⬇️

来看样板间实拍👇
上海宝山大华·公园柏翠售楼处电话:400-877-83344√√【官网预约☎】大华·公园柏翠售楼处营销中心:400-8778-334(开发商热线)大华·公园柏翠官方售楼中心电话/地址☎:4008778334【售楼处已认证√√√】

上海宝山大华·公园柏翠售楼处电话:400-877-83344√√【官网预约☎】大华·公园柏翠售楼处营销中心:400-8778-334(开发商热线)大华·公园柏翠官方售楼中心电话/地址☎:4008778334【售楼处已认证√√√】
大华公园柏翠,打造的是清一色16-17层的小高层住区,容积率仅为2.2,这也造就了项目低密的体质。
(示意图,图片源于网络,且学校不作为购房承诺)
上海宝山大华·公园柏翠售楼处电话:400-877-83344√√【官网预约☎】大华·公园柏翠售楼处营销中心:400-8778-334(开发商热线)大华·公园柏翠官方售楼中心电话/地址☎:4008778334【售楼处已认证√√√】
·首先,自然生态,让家时刻生长于公园里。项目外部生态环境非常优越,内部同样采取公园的模式,以“一轴、一带、一环、九园”的设计手法,打造了一座公园里的家。
一轴:是纵向的公园归家轴。通过它享受仪式感的归家体验,并一秒转换回家的心情。
(效果图)
一带:是横向精致花园带。它将社区里的每个景点串联,即通达便利又独具一格。
一环:是阳光有氧环形跑道。每日楼下的慢跑,即便捷又安静。
(效果图)
九园:是多重交互的娱乐场所。有潮汐花园(社区外围口袋花园)、浔湾秘境(会所式入户)、社交剧场、漫游森境、下沉会所、阅读花园、社交花园、自然博物馆等,满足不同人群的需求空间,包括萌宠。
上海宝山大华·公园柏翠售楼处电话:400-877-83344√√【官网预约☎】大华·公园柏翠售楼处营销中心:400-8778-334(开发商热线)大华·公园柏翠官方售楼中心电话/地址☎:4008778334【售楼处已认证√√√】
(效果图)
·其次,品质细节,让家时刻保持于高品位。建筑设计整体通透明亮,即有现代的审美又有采光引入的实用,保持着永不过时的风格。而且超宽楼距,阳光与风景都无遮挡。
约80米气派门头,尽享气派的归家仪式感。
星级酒店大堂,让尊贵的仪式感无限延伸。全T2设计,悦享私密的遵崇,让出入更从容。
上海宝山大华·公园柏翠售楼处电话:400-877-83344√√【官网预约☎】大华·公园柏翠售楼处营销中心:400-8778-334(开发商热线)大华·公园柏翠官方售楼中心电话/地址☎:4008778334【售楼处已认证√√√】
公区品质也细心的打磨。比如,高感车库,营造明亮的泊车环境。以及,人车分流,创造更为安全的生活空间。
上海宝山大华·公园柏翠售楼处电话:400-877-83344√√【官网预约☎】大华·公园柏翠售楼处营销中心:400-8778-334(开发商热线)大华·公园柏翠官方售楼中心电话/地址☎:4008778334【售楼处已认证√√√】
(示意图,来源于网络)
大华公园柏翠距离静安区只有约400米左右的直线距离,是整个宝山距离中心城区最近的新房。加上周边1号线、18号线、南北高架等城市主动脉的加持,整个大华公园柏翠去哪儿都方便。
市北高新以数字经济全生态+数据要素创新等产业形态,与张江科学城(硬科技)、漕河泾(电子信息)形成错位竞争.其能级位居上海中心城区科技园区第一梯队,更是上海数字化转型的核心引擎之一。
上海宝山大华·公园柏翠售楼处电话:400-877-83344√√【官网预约☎】大华·公园柏翠售楼处营销中心:400-8778-334(开发商热线)大华·公园柏翠官方售楼中心电话/地址☎:4008778334【售楼处已认证√√√】
从地图上看,该地块距离静安区的直线距离只有400米,距离大宁核心区域仅约5公里,不仅离大宁国际商圈近,周边还有宝山万达、大华商圈等大型商业配套。
除此之外,依托经过传统市中心的1号线,可以快速直达大宁、人民广场、淮海路、陕西南路等,经转乘通往陆家嘴、南京东路、南京西路也极为便捷。
上海宝山大华·公园柏翠售楼处电话:400-877-83344√√【官网预约☎】大华·公园柏翠售楼处营销中心:400-8778-334(开发商热线)大华·公园柏翠官方售楼中心电话/地址☎:4008778334【售楼处已认证√√√】
1号线线路图
区别于其他区域或者其他刚需项目,这个地块不仅公共交通无死角,商超配套、教育资源,自驾出行也刚好都跟得上,刚好能满足你所有的生活需求!
商超配套方面,大宁区域内的大宁国际广场、大宁音乐广场、静安大融城、协信星光广场、大宁久光百货等大型商业,还能享受社区商业,同时毗邻社区菜场,生活非常便捷。
协信星光广场 配套实景图
上海宝山大华·公园柏翠售楼处电话:400-877-83344√√【官网预约☎】大华·公园柏翠售楼处营销中心:400-8778-334(开发商热线)大华·公园柏翠官方售楼中心电话/地址☎:4008778334【售楼处已认证√√√】
大宁音乐广场 配套实景图
教育方面,附近不仅有陈伯吹实验幼儿园、华东师大实验学校等名校,项目还规划配套学校。
陈伯吹实验幼儿园
生态也是一大亮点,家门口就拥有千亩城市绿地。日常放松身心、休闲散步都有了好去处。项目坐拥五大公园:约80万方伟岸绿境环抱,约等于两个长风公园大小!包括千亩绿境(约60万方绿化在侧),约3万方庙行公园、约4.2万方共和公园,约2.7万方三泉公园、约9.3万方彭浦四季公园等。
大宁北1/18号线旁「公园柏翠」少量建面约101-142㎡3-4房,均价65327元/㎡!
上海宝山大华·公园柏翠售楼处电话:400-877-83344√√【官网预约☎】大华·公园柏翠售楼处营销中心:400-8778-334(开发商热线)大华·公园柏翠官方售楼中心电话/地址☎:4008778334【售楼处已认证√√√】
⭐来电可了解楼盘最新动态、在售房价优惠、户型面积房源、交房时间、地铁商业、学区配套等信息!温馨提示:来电提前预约、尊享线上一对一热讲解【享】专属优惠折扣!
➨售楼处24小时VIP电话:400_8778-334√√售楼中心热线400-8778-334★本电话为开发商提供线上预约看房售楼电话,★来电可了解楼盘最新动态,项目全面介绍(包含官方最新发布:在线预约看房丨在售房价优惠丨户型面积房源丨交房时间丨交通地铁丨商业配套丨教育资源丨小高层洋房丨独栋别墅丨联排合院丨商业别墅丨得房率丨容积率丨小区环境丨优缺点分析丨楼盘测评丨在售户型图丨项目介绍丨最新房源丨周边配套丨详细解答丨一对一热情讲解〢区域板块等信息!★郑重承诺:由开发商旗下销售团队全程营销策划,房源信息真实有效!如果您想了解更多楼盘详情,欢迎提前预约拨打官方售楼处电话400 8778 334√√√(已认证)
VIP贵宾置业〢欢迎来电咨询〢品鉴!!