☑️☑️国贸虹桥璟上售楼处电话:400-8377-020☑️☑️ 大虹桥纯正地铁盘
17号线嘉松中路站500万级现房
『国贸虹桥璟上』
收官建面约105-129㎡3-4房
已在2月交付!
清盘在即!手慢无!
(文末附一房一价表)
☑️☑️国贸虹桥璟上售楼处电话:400-8377-020☑️☑️

☑️☑️国贸虹桥璟上售楼处电话:400-8377-020☑️☑️
当然,户型产品设计充分考量人居需求。其带来更创新、尺度更阔绰的约105㎡三房,以及改善级别的建面约129㎡4房。甚至刚需级约89㎡小户型,尺度都不输市面上的百平三房。

☑️☑️国贸虹桥璟上售楼处电话:400-8377-020☑️☑️
建面约105㎡样板间实景图
更重要的是,项目还是大虹桥总价预算难得的地铁盘!一方面,赵巷的产业势能不言而喻,在联动价普涨的当下, 同板块宅地联动价已比项目联动价高出1500元/㎡ ;另一方面,上海500万级轨交盘愈发减少,这样的正地铁盘值得珍惜!

☑️☑️国贸虹桥璟上售楼处电话:400-8377-020☑️☑️
Part 1
大虹桥纯正地铁盘
赵巷热度居高不下 未来更可期
论地段,国贸虹桥璟上在当下新房市场里可谓佼佼者的存在。
预算500万左右,要找到这样的大虹桥地铁房不容易。 直线距17号线嘉松中路站仅约700米 ,这样的距离恰到好处,非常适合自住与通勤。
☑️☑️国贸虹桥璟上售楼处电话:400-8377-020☑️☑️

☑️☑️国贸虹桥璟上售楼处电话:400-8377-020☑️☑️
实景图
关键是,17号线能级非常强:
从17号线嘉松中路地铁站出发,向东2站直达徐盈路,向东3站到达蟠龙路站,4站到国家会展中心,5站即可直达虹桥枢纽,可换乘2号线、10号线通达市中心,可至静安寺、陆家嘴、张江等地。
除了轨交外,自驾也很方便。崧泽高架路全长16.98公里,双向6车道的规模,设计车速80公里/小时,在嘉松中路设置了匝道口!分流之下,沪渝高速也会更加通畅,更有G50高速路,畅达全城。

☑️☑️国贸虹桥璟上售楼处电话:400-8377-020☑️☑️
示意图
不止交通,以低密为特色的赵巷,经过了多年的发展,大规模城市资源已成熟,堪比市中心的大城生活当下可享。
项目周边商业繁盛。就在17号线嘉松中路站上盖,有一个有一个创新创意商业综合体—— 长三角绿洲汇(Terrace Park) , 将引入180余家商户品牌,总面积约55000㎡,有望将于今年开业!

效果图 信息及图源:绿色青浦
直线距项目约1.4公里的 青浦奥特莱斯 ,能随心所欲买买买。在青浦奥特莱斯南侧,是合生新天地,带来一站式休闲体验。再向南的 元祖梦世界 ,则是专门为儿童定制的乐园和商业综合体。再向南的 山姆会员店 ,带你感受全新的购物体验。
☑️☑️国贸虹桥璟上售楼处电话:400-8377-020☑️☑️

青浦奥特莱斯 实景图

☑️☑️国贸虹桥璟上售楼处电话:400-8377-020☑️☑️
山姆会员店 实景图
同时,赵巷的城市界面非常宜居。作为自然资源和文化氛围浓厚的区域,赵巷的森林覆盖率22.33%,位居全区第二,低密墅区环绕,高端圈层自然天成。(数据来源:in赵巷)

☑️☑️国贸虹桥璟上售楼处电话:400-8377-020☑️☑️
赵巷城市界面航拍图
城市资源在这里有着合适的比例,宜居宜业的氛围已跃然成型,更重要的是看地段的未来预期。 赵巷热度高的更重要的原因,就在于产业。
时代不断发展,虹桥布局重心一直在随着产业变化。《虹桥商务区国土空间中近期规划》中,虹桥商务区新增“大科创”功能,大虹桥未来发展的势能来到了赵巷。
根据规划,赵巷将建设成为生态科技之城、上海人文之源、上海西部科创型的综合城镇。根据不完全统计,赵巷的科创园区建筑面积达638万㎡,而张江园区内的公共建筑面积(用于办公研发的部分)为430万㎡。(数据来源:百度百科)
作为虹桥商务区三期与科创中心, 赵巷未来将依托市西软件园,漕河泾赵巷科技绿洲,网易上海国际文创科技园等科创产业基地,打造上海下一个“张江” ,区域发展潜力巨大。
☑️☑️国贸虹桥璟上售楼处电话:400-8377-020☑️☑️

长三角绿洲智谷·赵巷 效果图
赵巷不仅跟上了虹桥发展的重要步调,在长三角一体化的进程中,也有着举足轻重的地位。
赵巷位于四条主要发展带之一——沪杭发展带上。这条位于中部的发展带,连接上海中心城、大虹桥、青浦新城等;长三角数字干线中,赵巷是重点节点城镇。

☑️☑️国贸虹桥璟上售楼处电话:400-8377-020☑️☑️
示意图
或许未来的“赵巷”于大虹桥,正如现在的“张江”于浦东。 产业,将赵巷的发展潜力抬上了一个新台阶,未来将会有海量的产业聚集,大量高收入、高学历的人才导入,居住需求庞大。
手握重磅规划、产业势能强悍、生活氛围醇熟的赵巷,核心位置的新盘一直不多,因此也是开一个火一个。 新房市场,赵巷自积分制新政后,多盘触发千人摇与积分,斩获佳绩。
土拍方面,前年嘉松中路站北侧两宗宅地出让,溢价率分别为9.09%、8.96%。去年三批次嘉松中路站南侧地块,吸引了24家开发商竞买,无一弃权,溢价率高达10%。 该地块房地联动价最终定格在了56000元/㎡。比国贸虹桥璟上整盘的联动价,要高出约1500元/㎡。
Part 2
水岸实景展示区&地下车库呈现
演绎看得到的兑现力
☑️☑️国贸虹桥璟上售楼处电话:400-8377-020☑️☑️
除了优秀的地段因素,产品力势必是国贸虹桥璟上,取得市场青睐的重要武器。由国企——国贸地产出品的住宅,不仅品质有保障,后续交付也是给购房者吃下一颗定心丸。 这样的房子让人买得安心,住得更安心。
国贸地产,进军上海十余年来,始终跟随城市发展脉搏,每一次择址都以前瞻眼光,对土地精准研判:从佘北大型居住地,到佘山脚下、G60科创走廊,再到热门潜力板块临港,国贸地产始终与城市发展同频,一次又一次用产品更新城市生活方式,强大的品牌号召力,获得了良好的市场口碑。
作为国贸地产在上海打造的十年封面之作、亦是国贸地产“上”系上海首作——国贸虹桥璟上,誓以超越以往的产品内核,为人居带来全新的体验。
如今,项目为业主提前打造的水岸实景展示区已开放,所有楼栋现已全部完成封顶。 漫步于此,未来生活不再是沙盘或效果图,而是眼见为实的美好。

实景图
☑️☑️国贸虹桥璟上售楼处电话:400-8377-020☑️☑️
整座社区由两条天然水系穿过,岛居氛围自然而生。国贸地产因地制宜,引入“微度假”的概念,营造出了既有“休闲氛围”又有“丰富体验”的社区。

实景图
连通各个地块的艺术景观桥与滨水景观步道,将是未来业主经常途经和驻足的。如今,你可以在这里滨河行走,享受美好时光,一路美景映入眼帘。

实景图
同时,每块土地以及组团都可以拥有独特的水系景观和绿化,让人眼前一亮。居住在此,生活不是日复一日单调的重复,而是季季有不同的景色、时常有惊喜。
☑️☑️国贸虹桥璟上售楼处电话:400-8377-020☑️☑️


实景图
☑️☑️国贸虹桥璟上售楼处电话:400-8377-020☑️☑️
相较于其他新盘的一纸蓝图,国贸虹桥璟上的归家动线也变得更加生动和有趣,未来业主可以提前走进精致的门庭,以及层次感丰满的入户大堂,感受仪式感满满的归家体验。

实景图
更重要的是,项目地下车库样板段也已对外展示。业主可以亲身感受未来车行归家的尊贵体验。

实景图
地库门厅和入口非常气派,合适的坡道宽度,甄选环氧地坪,缓和温柔的灯光拉升了车库质感。让每一次车行归家之旅尽是赏心悦目与从容。
☑️☑️国贸虹桥璟上售楼处电话:400-8377-020☑️☑️

实景图
在上海,这样超强的兑现力,既能给购房者吃下了一颗定心丸,又体现了国贸地产的品牌实力和对产品的高度自信。

☑️☑️国贸虹桥璟上售楼处电话:400-8377-020☑️☑️

实景图
☑️☑️国贸虹桥璟上售楼处电话:400-8377-020☑️☑️
依托于沿滨河岸线 , 项目还将打造更多水岸生活场景,东地块东侧会打造一个约1.3万方的水岸公园 ,为人们提供一个亲近自然、享受生活的场所。更多美好,值得你亲自来现场领略!

效果图

☑️☑️国贸虹桥璟上售楼处电话:400-8377-020☑️☑️
示意图
要知道,此前国贸很多已交付的项目都能做到提前半年到一年甚至更久。据悉,国贸虹桥璟上有望在明年春节前后实现交付,可谓给业主吃下了一颗“定心丸”,省去等待时间的同时,品质也令人安心。(具体交付时间需以开发商的实际操作为准。)

实景图
Part 3
建面约105-129㎡3-4房
收官132席 错过难再
☑️☑️国贸虹桥璟上售楼处电话:400-8377-020☑️☑️
最后,来看看项目推出的户型。项目本次加推收官132套房源,两栋楼的位置非常好,被水系环绕,且非常接近地铁站!
主力户型为建面约105㎡3房,以及建面约129㎡4房,要知道这批次加推后,只有二手房见了。

楼栋分布示意图
“百平三房”是上海新房市场上的主力军,国贸虹桥璟上带来了更创新、尺度更阔绰的建面约105㎡三房,亮点颇多。

户型图
在 3开间朝南 的基础上,其新开发了0.5,意味着更大的采光面、更强的通透性、更舒适的居住体验。 约5.5米宽 的横厅,再加上 约8㎡ 的阳台,使得公共区域尺度感十足,功能性也更强。

实景图
特殊的是,全屋有 整整6个飘窗 !3个卧室附赠大面积飘窗,延伸生活空间;客厅也增加一处飘窗,采光面变得更宽。


实景图
通常,主卫和次卫能拥有窗户达到全明采光已经称得上优秀了,而这套户型的两个卫生间均都有飘窗,丰富收纳可能性。


实景图
☑️☑️国贸虹桥璟上售楼处电话:400-8377-020☑️☑️
再来看看 建面约129㎡4房2厅2卫 。大面宽,大阳台,尺度感和空间感都相当强,对改善购房者而言是个福音。

入户玄关同时满足了归家仪式、私密性、健康性和收纳的多重诉求。
主卧套房 是改善四房的标配,但 三卧室朝南、全卧室飘窗设计 就体现出该项目的与众不同了,实用性更强,生活舒适度更高。



☑️☑️国贸虹桥璟上售楼处电话:400-8377-020☑️☑️


☑️☑️国贸虹桥璟上售楼处电话:400-8377-020☑️☑️
项目 少量建面约89㎡3房户型 热销中,总价控制合理,是刚需买家的优质选择。

户型图
户型非常方正且动线清晰,右侧为卧室等休息区域,左侧为厨房间和客餐厅等公共区域,保证了动静分区,提高空间利用率。

☑️☑️国贸虹桥璟上售楼处电话:400-8377-020☑️☑️
实景图
即使是刚需小户型, 主卧进深依旧达到约3.8米 ,尺度比市面上大多百平三房还要宽阔,配合大尺度的大飘窗,享受更多的阳光沐浴。

实景图
从其装标细节中,同样能够看出国贸对于生活品质的追求。比如 中央空调、地暖、新风 均为 国内或国外知名品牌 ,还精心配置了智能马桶、以及厨房凉霸等,尺度感与舒适感并存!

☑️☑️国贸虹桥璟上售楼处电话:400-8377-020☑️☑️
实景图
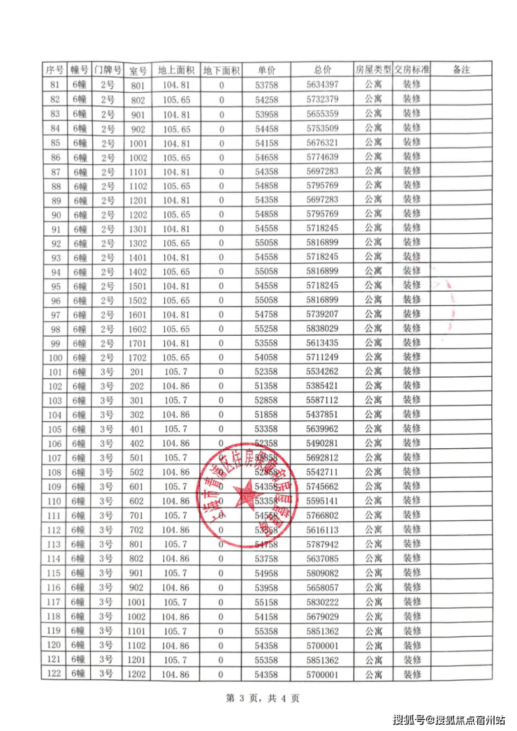
一房一价表如下👇🏻



☑️☑️国贸虹桥璟上售楼处电话:400-8377-020☑️☑️

17号线地铁房,国贸虹桥璟上收官132套建面约105/129㎡央座于日前开盘, 据悉销售约6亿元 !
这个成绩在当下新房开盘中很不错, 如今随着新政松绑,近期二手房成交如潮,新房方面购房者也在尽快占位好地段。
那国贸虹桥璟上的余量房源,各位要抓紧了!因为全方位看,它就是500万级中更值得上车的楼盘,好房源不等人!

☑️☑️国贸虹桥璟上售楼处电话:400-8377-020☑️☑️
地铁、产业等老生常谈,它已然是同级中的佼佼者!
我更想说的是,项目已进入准现房状态,预计2025年春节前后交付(以实际为准),这比常规楼盘起码早1年,那1年的租房成本少说也要6万元,还减少了交房等待的焦虑。
重要的是,项目一直在做示范区的升级,从一开始的滨水实景展示区提前兑付到现在 地库入户大堂和地库示范区也开放了,品质肉眼可见, 项目价值也在开发商不断焕新中得以进阶,买得更安心。
另外,双水系、三座天然“岛屿社区”的地块天赋,市场难得一遇,再加上开发商因地制宜打造丰富景观节点,未来业主不用走远,下楼就能开启水岸生活、citywalk。
这样的住宅,不该是你心中的优选吗?一次性all in 你要的所有!

☑️☑️国贸虹桥璟上售楼处电话:400-8377-020☑️☑️
请务必报名后静待销售电话确认,确认后再行前往 现场 !为避免大客流影响服务质量、仅预约客户可进入销售现场,感谢您的理解和支持!
01.
收官楼栋位置优越
首先,我们看一下四期推售楼栋:

四期位置不错,2#南侧无遮挡,楼间距大,正对河道及公园,景观视野好。
项目社区主打的就是度假氛围、松弛感,这栋楼把这种感觉发挥到了极致。放眼全上海,南向无遮挡又直面水系、公园的楼栋又有多少?2#的价值很高。
6#也临水系,不过相比之下是性价比之选,同楼层、同户型大概能便宜20-30万。
02.
地库示范区+滨水实景示范区兑现
再加上准现房,给足置业安全感
☑️☑️国贸虹桥璟上售楼处电话:400-8377-020☑️☑️
我很喜欢一句话:“预测未来的最好方法,就是创造未来。”
现在买房一大症结就是未来不确定性太强,以致购房者不敢下手。而国贸地产领先市场的一点就是,通过主动创造,强大的产品力去打消客户的顾虑, 把生活情境前置,解决买房后顾之忧。
这既是国企社会责任感的体现,又是国贸地产强大兑现力的展示。
最近, 项目地库入户大堂和地库示范区开放 ,品质感肉眼可见。
地面采用电镀不锈钢车档,以及哑光环氧地坪漆。
主车道两端采用铝合金定制造型收边,并配以线性灯带 ,如海洋浪潮,不仅打造了动感十足的车库体验,更让业主归家之路,从自然光过渡到柔和白光,带来舒适的视觉享受。
同时1号楼地下车库大堂,吊顶采用铝合金,并镶嵌序列条灯,打造星空顶造型。


项目示范区实景图
而在此之前, 项目滨水实景示范区已提前兑现。

☑️☑️国贸虹桥璟上售楼处电话:400-8377-020☑️☑️


☑️☑️国贸虹桥璟上售楼处电话:400-8377-020☑️☑️
项目示范区实景图
不断焕新示范区,为项目注入新价值,这样高诚意的开发商你在上海找不出几家。
作为购房者,项目的公区很多都是所见即所得,你可以买得更放心。
在小胖君看来,项目公区打造水准是很不错,而 我对公区的理解是将来优质住宅与普通住宅的分水岭。
因为不像装修,你不满意可以增配, 公区的审美、工艺、用材等就像地段一样,你后期花再多钱都无法改变。
国贸地产深谙这一道理,花费大量资金、精力研磨公区, 在出品的时候就力图做到更好的状态,来匹配购房者的居住格调 。
那我相信国贸虹桥璟上,未来步入二手房市场,更容易脱颖而出。
另外,很重要的一点是, 参考国贸全集团已交付的项目,很多都是提前半年到一年甚至更久交付。
目前国贸虹桥璟上全部楼栋已封顶,预估将在2025年春节前后交付(以实际为准)。
换言之,项目已进入准现房阶段,那准现房比还要等2年交付的期房优势大多了。

比如入住周期短,省过渡期租金。
又比如,明年你要结婚或者小孩要读书,国贸虹桥璟上的进度能赶上,而当下刚开售的期房,大概率要到2026年年中甚至年底交房了。
03.
全系优质户型
最后132套,错过不再
☑️☑️国贸虹桥璟上售楼处电话:400-8377-020☑️☑️
项目社区我就不赘述了,说两点:
第一,项目由 两条天然水系 穿流而过,形成 三座天然“岛屿社区” ,开发商在三座“岛屿”设置不同主题,并铺陈丰富的景观节点。

景观示意图
第二, 营造了非常舒适的 度假氛围 ,国贸虹桥璟上业主回到家就能卸下一天疲惫。
你从实景图就能感受出来:


☑️☑️国贸虹桥璟上售楼处电话:400-8377-020☑️☑️
项目示范区实景图
我们重点来看下这次的户型。
首先是建面约105㎡3房边套, 飞机户型 ,客餐厅阳台厨房一线联通, 南北通透 。
房间分列客厅两侧,互不打扰;公卫做到 干湿分离 ; 全卧飘窗 延展使用空间。
值得一提,该户型有同面积段少有的 玄关设计 ,让出入更具仪式感,同时兼具收纳功能。
另外, 北向房间双面采光 。

文中所示楼栋幢号均为工程编号,以实际位置为准
其次是建面约105㎡3房横厅户型。
①、尺度震撼:宽厅面宽约 5.5米 ,3.5开间面宽共约 11.5米 ,再加上约 8㎡ 的阳台,使得整个家庭的公共区域尺度感十足、功能也更加灵活多变。
②、 全屋六飘窗 :大大延展了使用空间。
③、三卧空间相对均衡:能更好满足各家庭成员空间使用需求。

文中所示楼栋幢号均为工程编号,以实际位置为准
样板间照片:

☑️☑️国贸虹桥璟上售楼处电话:400-8377-020☑️☑️
样板间实景图
第三,还有市场臻稀的建面约129㎡边厅户型。
该户型相比传统三开间(只能南北观景)有一个很大优势: 多一面采光面,能达到270°环幕采光和视野。
阔绰边厅+大面玻璃飘窗设计 ,将阳光和景观充分引入室内。
在周末,你可以泡上一杯咖啡,捧上一本书坐在大飘窗上阅尽楼下四季流转。
同时 北向灵动房间还能与侧厅连成一体 ,进一步拓展空间视野。
三卧朝南设计 ,也满足了购房者对于阳光的执念。
另外,主卧套房,南向还有一个次卧带阳台,各家庭成员都能有比较私密的空间。
这个户型在整个嘉松中路板块,甚至大虹桥,都是臻稀货,户型价值高。

文中所示楼栋幢号均为工程编号,以实际位置为准
项目装修也很诚意,中央空调、地暖均为国内或国外一线品牌,同时配置净水器、全屋智能马桶、以及厨房贴心配备凉霸等。
04.
500万级地铁房卖一个少一个
回归地段配套,国贸虹桥璟上本质属性是500万级为数不多的地铁房。
项目直线距离17号线嘉松中路站仅约 700米 ,这个距离恰到好处,远离噪音,又能步行到达。
从项目出发 5站直达虹桥枢纽 。
相比其他同价位段板块,项目胜在能 无缝连接多条轨交线路 。

☑️☑️国贸虹桥璟上售楼处电话:400-8377-020☑️☑️
除了正在建设中的南北大动脉 嘉闵线 (预计2027年建成),还有汇聚徐汇华之门、浦东张江势能的 机场联络线 (预计年底通车)。
尤其是黄金 2号线 能直接进长宁,一路皆是高能级热门商办,静安寺、陆家嘴、世纪大道、张江等热门商圈。
这意味着项目既能承接传统市区的外溢,又能分享大虹桥发展红利,双保险更安心。
另外,去年到现在,土拍量减少了,意味后续不会有那么多新房入市,这其中500万级地铁房更少之又少。
05.
同级首屈一指的产业能级
正在落地或已落地,不是画大饼
论潜力,论产业导入,项目所在的 赵巷嘉松中路板块 ,是同级首屈一指的。
1、三重国家级、市级规划加持,能级高!
它是青浦规划“一城两翼”发展格局中的东翼;
它是“一中四方”市西软件园的核心,赵巷的能级将比肩张江高科产业园、市北高新区、紫竹科技园。
它东有大虹桥规划,西有长三角一体化。
嘉松中路站是三重国家级、市级规划重叠区域,发展有保障。
2、科创产业加速落地!
不同于规划大饼,这里的产业集群是真正实施落地的。
其重头戏主要以 17号线嘉松中路TOD 展开,各大规模商办正如火如荼建设中:
上海市西软件园,根据十四五规划,计划2025年实现建筑面积约 400万㎡ ,经营收入达到 1000-1500亿 ,从业人员达到约 15万 。

☑️☑️国贸虹桥璟上售楼处电话:400-8377-020☑️☑️
数据来源长三角绿洲智谷·赵巷官网
市西软件园核心位置在嘉松中路站两侧,这里正在打造 漕河泾科技绿洲 ,主力发展信息技术、人工智能、大数据、云计算、生命健康等多元化新兴产业,总体量超过100万㎡。
已导入包含 汤恩、欣巴、公牛 等重点产业的多家高新技术企业、上市公司、研发总部。(信息来源in赵巷)
附近还有在建中的网易上海国际文创科技园,预计 引入2万员工 ,预计 今年投入使用。
示意图

北斗西虹桥基地 同样也在紧锣密鼓的建设中,还聚集了 海克斯康、熙菱、普利特 等知名企业。

☑️☑️国贸虹桥璟上售楼处电话:400-8377-020☑️☑️
赵巷北斗产业园
龙头效应才刚开始,优质名企正 加速“落户”嘉松中路站 ,未来将会汇聚更多高科技人才
那试想下,漕河泾、张江高薪人群对周边板块的价值辐射作用。
而国贸虹桥璟上,可不是辐射,是就在嘉松中路TOD商办集群旁,位于高能级商办核芯的风暴眼。
3,商业兑现:嘉松中路TOD首个日式购物中Terrace Park,预计今年开业!
①、未来“门口”就有新潮商业
就在17号线嘉松中路站上盖,引入了体量约5.4万方的 长三角绿洲智谷·TerracePark , 预计今年开业 ,业主周末吃喝玩乐在家门口就能满足。

示意图
②、不远处更享国际化商业体
项目周边已成为上海人周末出行的打卡圣地, 蟠龙天地、天空万科广场、百联奥特莱斯、合生新天地、元祖梦世界、山姆会员店等商业、休闲综合体一路连缀。

☑️☑️国贸虹桥璟上售楼处电话:400-8377-020☑️☑️
大虹桥纯正地铁盘
17号线嘉松中路站500万级现房
『国贸虹桥璟上』
收官建面约105-129㎡3-4房
☑️☑️国贸虹桥璟上售楼处电话:400-8377-020☑️☑️