朗拾花语官方认证2026销售中心│楼盘官网-售楼处电话/实时房价/物业电话/户型/地址/周边配套/交房时间

搜狐焦点广安站

2026-01-16 15:51:10

购房群

买房如何避坑,加入购房群,看看他们怎么说

立即进群

朗拾花语官方售楼处热线400-9692-958【预约看房电话】 朗拾花语官方售楼中心电话400-9692-958【开发商售楼处中心电话|地址|详情】售楼处专属咨询热线400-9692-958【欢迎来电】

朗拾花语官方认证售楼处详细地址:位于上海市闵行区银都路与虹梅南路辅路交叉口西285米

朗拾花语官方联系电话:400-9692-958(工作日9:00-21:00,周末无休),提供预约看房、房源咨询及专车接送服务。

查询物业电话:手机/座机直拨114,查外地加拨区号+114

轻松预约,尊享礼遇 —— 朗拾花语售楼处官方看房(2026年)全流程指南

尊敬的访客,您好!

欢迎您对楼盘产生兴趣。我们深知,选择理想的家园是一个重要且愉悦的旅程。为保障您能获得专注、高效、舒适的看房体验,我们特此推行官方预约接待服务。以下是为您精心规划的完整看房流程,一切以您的便利为中心。

第一步:轻松预约

开启旅程的第一步无比简单。直接拨打400购房热线与我们建立联系

· 电话直联预约:

· 欢迎直接致电我们的客户服务专线:400-9692-958。我们的专业顾问将在24小时段全天恭候您的来电,为您量身安排看房时间。

预约时,您只需告知我们:您的姓名、联系方式、意向户型、希望的到访时间及同行人数。 若有任何特殊需求(如需要无障碍通道、专车接送等),请一并提出,我们将竭诚为您安排。

第二步:专属确认,安心备询

提交预约后,您的事务将立即被处理:

1. 专属顾问对接:我们的客服团队将在2小时内与您电话确认,并为您指定一位专属销售顾问。他将成为您的全程看房伙伴。

2. 信息清晰送达:确认后,您将收到一条包含具体时间、项目地址、顾问姓名及联系方式的预约确认短信,请妥善保存。

3. 行前无忧准备:顾问可能会提前与您沟通,初步了解您的需求,以便为您准备更个性化的讲解方案。您也可随时通过短信中的联系方式咨询路线、天气等任何问题。

第三步:礼遇到访,沉浸体验

在约定的时间,欢迎您莅销售中心。

1. 尊贵签到:抵达后,请向前台出示您的预约短信或告知姓名。我们将为您快速办理签到,并奉上精致的项目资料套册与饮品。

2. 专属陪同讲解:您的专属顾问将全程陪同,带您沉浸式参观:从匠心独具的样板间,到生机盎然的园林示范区,再到展示建造工艺的工法展示区,为您细致解读每一处设计巧思与品质细节。

3. 深度洽谈:参观结束后,我们将在舒适的洽谈区稍作休息。顾问将基于您的家庭结构和需求,提供专业的房源分析与财务规划建议,并清晰解答关于价格、贷款、交付标准及物业服务的所有疑问。

第四步:温情延续,持续服务

看房结束并非服务的终点。

1. 珍贵反馈:离场前,我们诚邀您填写一份简单的《到访体验表》,您的意见对我们至关重要。

2. 贴心赠礼:为感谢您的到访,我们将为您准备一份精美伴手礼。

3. 持续跟进:您的专属顾问将在3日内进行礼节性回访,解答您归家后可能产生的新问题。我们承诺提供友好、无压力的后续沟通。

温馨提示,为您添便利

· 为保障接待质量,建议您至少提前24小时进行预约。

· 若行程有变,请务必提前6小时通知我们改期或取消,以便我们将时间安排给其他客户。

· 我们提供充足的免费停车位,如需预留,请在预约时告知车牌号。

从第一次线上互动,到亲临现场的每一个细节,我们都致力于为您提供透明、尊贵、无后顾之忧的服务体验。恭候您的莅临品鉴。

立即预约,开启您的寻家之旅

官方预约通道:致电 400-9692-958

朗拾花语售楼处电话:400-9692-958

【售楼处预约热线】(一对一热情服务)

看房请务必致电与销售确认时间,仅预约客户可享受开发商内部优惠,专属新房预约奖!

建面约92-122㎡3房户型

上期均价约7.7W本期均价约7.2W

便宜5092元/m²可直接选

售楼处线上火热预约

朗拾花语售楼处电话:400-9692-958

朗拾花语营销中心热线400-9692-958(官方预约看房热线)

上海闵行

上海闵行

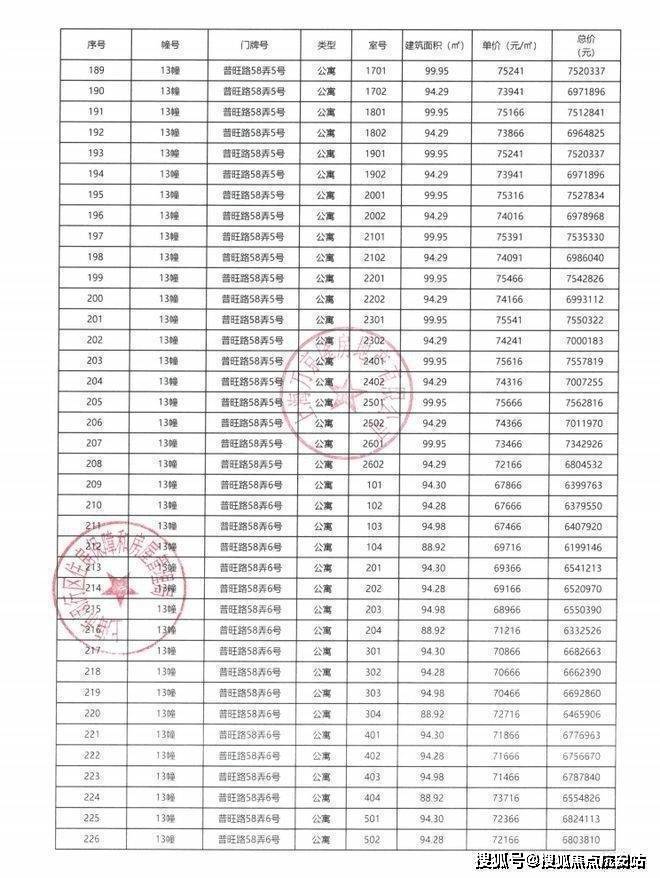
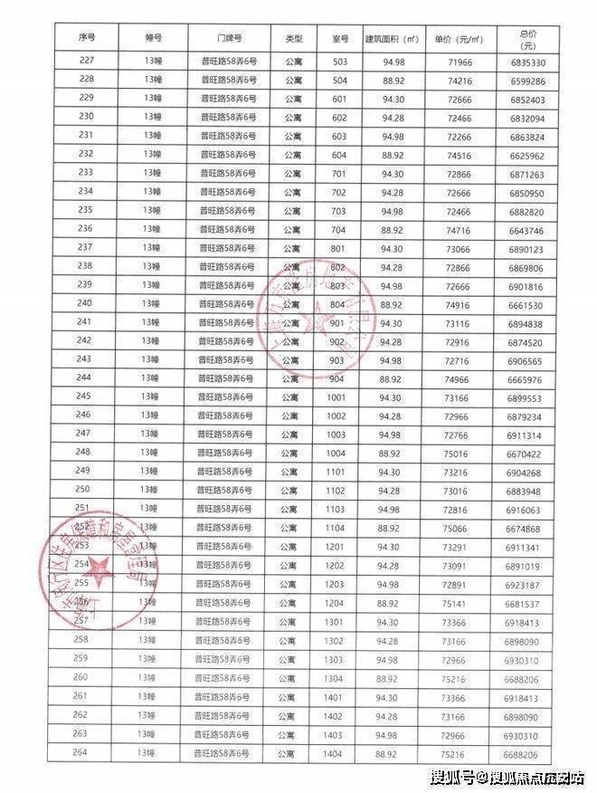
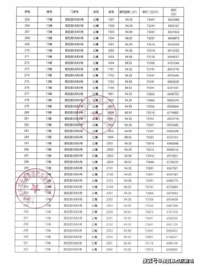
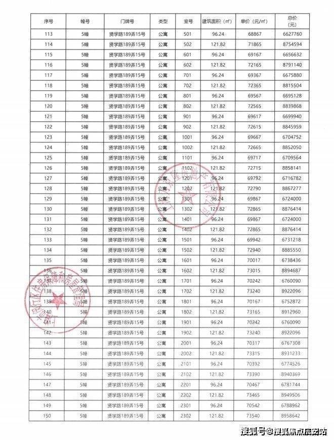
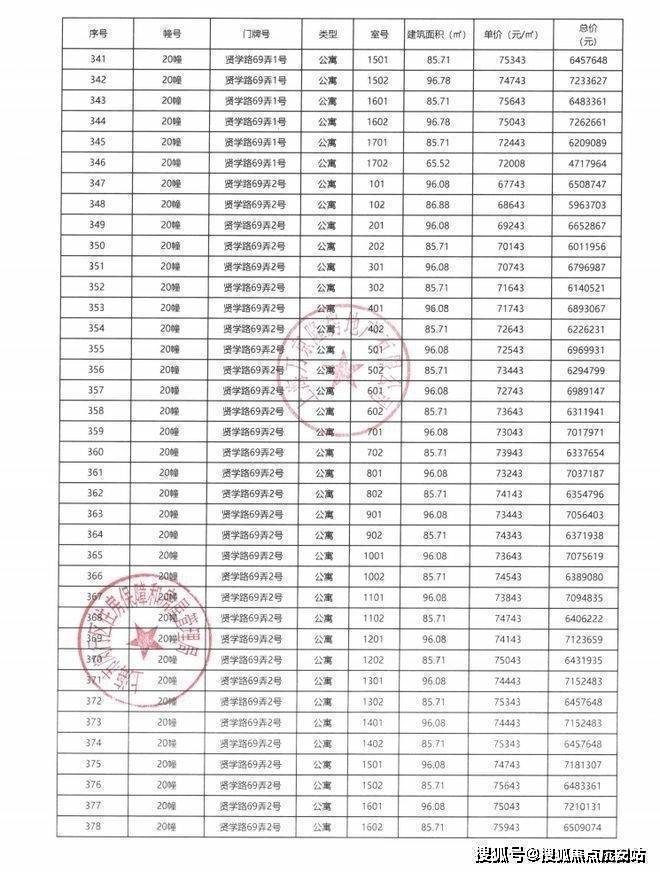
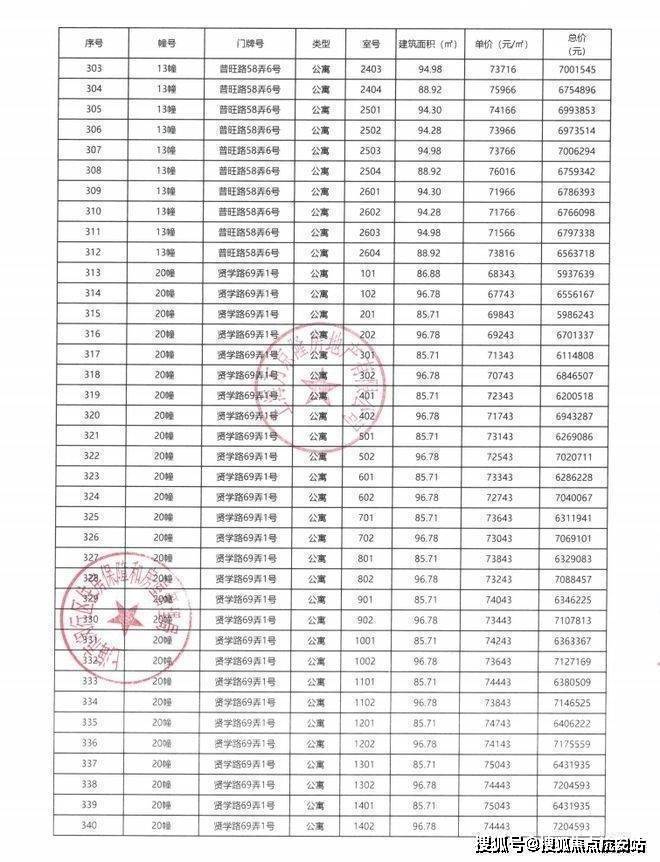
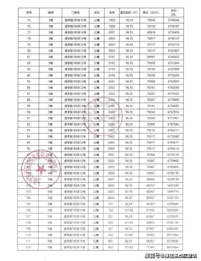
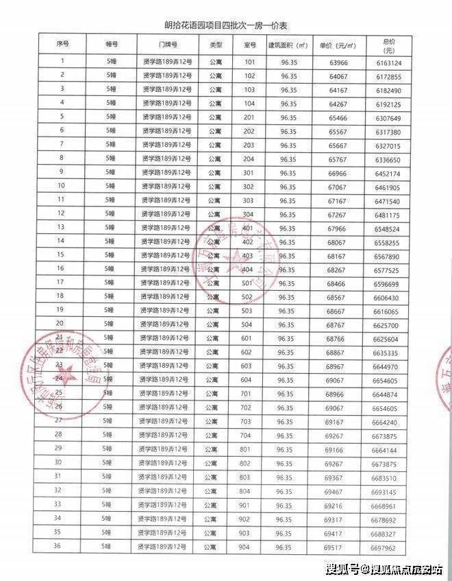
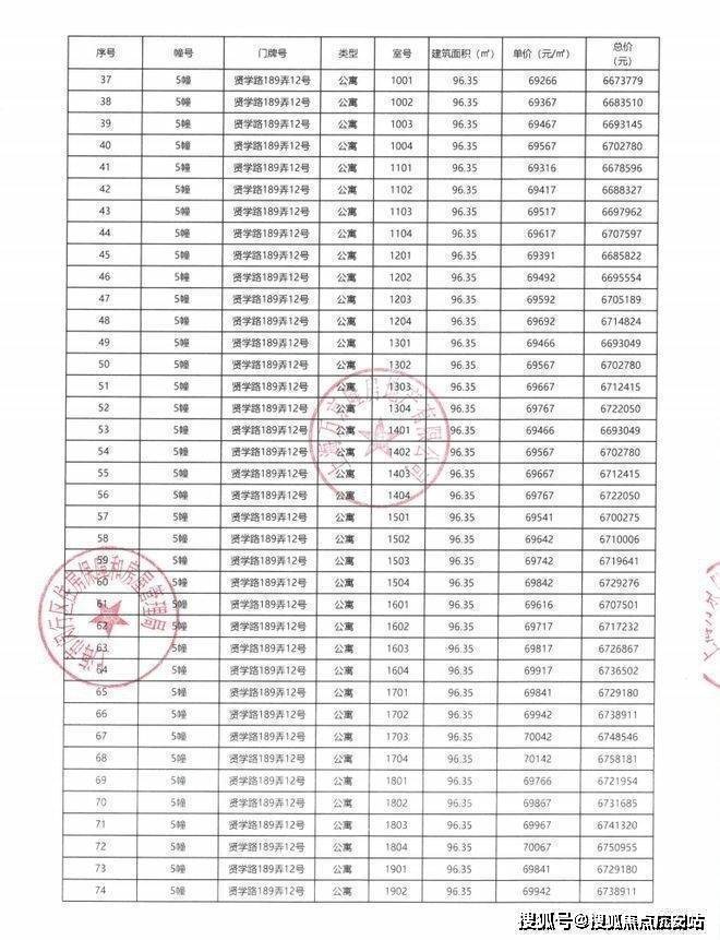
一房一价表

上海闵行

上海闵行

上海闵行

上海闵行

上海闵行

朗拾花语依据「花语」和「拾」的严苛选址标准,卓越的都会禀赋,成为朗拾花语重构社区与城市关系的契机。

实景图花语系实景图拾系实景图效果示意图效果示意图效果示意图效果示意图闵行区

中国铁建&万科·朗拾花语样板间实景图,仅供参考,欢迎实地参观

示范当代滨水人居的新高度!

中国铁建&万科·朗拾花语样板间实景图,仅供参考,欢迎实地参观

上海闵行

在产品方面,中国铁建&万科·朗拾花语期待值更是MAX!

客厅拥有一个宽景飘窗,可以纵览社区水景以及园林,视野出色。

中国铁建&万科·朗拾花语样板间实景图,仅供参考,欢迎实地参观

主卧套房设计,保证了主人的私密空间。

上海闵行

中国铁建&万科·朗拾花语样板间实景图,仅供参考,欢迎实地参观

客厅带宽面阳台,尺度感很强。

中国铁建&万科·朗拾花语样板间实景图,仅供参考,欢迎实地参观

上海闵行

卫生间干湿分离,保证居住的整洁清爽。

上海闵行

中国铁建&万科·朗拾花语样板间实景图,仅供参考,欢迎实地参观

入户玄关的设置,边上还可以打造一个收纳空间。不管后期是用来放双开门冰箱,亦或者是其他杂物都可以。

上海闵行

中国铁建&万科·朗拾花语样板间实景图,仅供参考,欢迎实地参观

户型方面,本次推出建面约86-121㎡3房,!收官发售

户型选择多样!不封阳台,得房率相对更高,精装&毛坯交付。

建面约86㎡3房2厅1卫

建面约92㎡3房2厅1卫

上海闵行

建面约99㎡3房2厅2卫

建面约121㎡3房2厅2卫

1国铁建&万科强强联合

23年4月21日,上海第一批次土地出让最后一天,梅陇社区MHP0-0306单元5-3、6-3、5-5、6-5地块,万科旗下上海万怡景置业有限公司与中国铁建旗下中铁房地产集团华东有限公司组成的联合体以75.486亿元竞得该地块。地块房地联动价75000元/㎡。

示意图

地块位置:东至贤学路、南至银都路、西至普旺路、北至贤荟路,分为四幅小地块:梅陇社区MHP0-0306单元5-3、6-3、5-5、6-5地块。

上海闵行

中国铁建:美好生活建造者

·2022年“世界500强企业”排名第39位、“中国企业500强”排名第11位;

·在全国及海外45个城市(含9个国家级新区)布局239个项目(截至2022年底)

·砥砺70余载,参与建造了中国第一条海底隧道—厦门翔安隧道,中国第一条高原铁路—青藏铁路。同时还参与建设了诸多耳熟能详的著名公建项目:如人民大会堂、港珠澳8大桥、京沪高速以及卡塔尔世界杯场馆等。

500强万科品牌实力

·连续7年登榜世界500强,2022年排178名;2022年中国民营企业500强排行榜排第9;

·国内进驻83个城市、七大区域,拥有600+个主要开发项目,海外布局8个重点城市;

·连续24年屡获中国建设工程鲁班奖、詹天佑奖等房地产综合开发领域的最高荣誉。

实景图

上海闵行

2花语系&拾系高端双系产品

2023上海里程碑新作:双世界500强中国铁建与万科,以花语系和拾系,联袂构建一座16万方滨水大城,为上海呈现一部里程碑作品。同时将花语倡导的“亲近自然的慢调、优雅的生活”和拾“推动着人主动发现、主动参与、主动拥抱生活,回应都市中未被满足的心情”相结合,更迭当代生活方式,倡导慢生活理念,焕新全城的想象与期待。

约16万方滨水大盘塑造美好人居:依托春申塘和西马屯泾汇聚而成的“T”型水域,沿河打造约16万方滨水大城,舒朗排布与错动的建筑,让居者更近亲水岸生活体验,形成都市中的一座水上自然岛屿。

效果示意图

隐谧精致的超级领域:在繁华都市中创造自然宁谧的居住体验,通过局部内退方式,在社区边界退让出可改造空间,将更多空间用于营造转角广场、口袋公园,勾画出一座都市的“超级领域”,让快节奏的生活优雅的慢下来。

精奢静雅的当代质感:以同步国际的质感、美学为基底,兼顾品质的精研、材质的臻选以及细节的演绎,同时于归家动线上打造了度假酒店般的落客空间,让归家充满仪式感和雅奢美学

以自然作为设计语言:运用光线、水、植物等元素,并萃取高端酒店设计,呈现更多自然、舒适且松弛的多元生活状态,在社区内打造静心庭院、水榭林间、微风草坪等松弛雅奢的都市谧境。

上海闵行

一体化的定制空间:将精致的生活理念,贯穿于建筑、景观、室内等各个组成部分。户型空间的一体化定制,以厅厨为核心的公共空间强调空间的可塑性,呈现更多愉悦、舒适、优雅的生活真意。

中国物业管理行业领跑者万科物业:连续第十年蝉联中国物业服务百强企业综合实力TOP1

·连续六年蝉联“中国房地产开发企业500强首选物业品牌”榜首,服务1800+项目

·连续三年获得“中国特色物业服务领先企业——企业总部基地”荣誉称号

3梅陇新中心都心十字焦点

项目位于闵行梅陇板块,闵行2035规划全新公布,梅陇地区也再次被提上日程——中部地区被定位为“闵行新中心”,规划范围东至景洪路、南至银都路、西至梅富路、北至梅南路-春申塘,总用地面积约118万㎡!

效果示意图

上海闵行

梅陇板块占据虹桥枢纽和南部科创中心结合点的中心区位,是上海西南重要门户区域。总体量约117.58万方,周边聚焦3大国家级产业区、5大科创中心、12大科创园等百亿科创资源,以及城市之门双子星,将打造宜居、宜商、宜业的城市新名片!作为梅陇新中心核心启动区的住宅组成部分,本项目未来将塑造城市美好人居蓝本。

效果示意图

闵行2035总规将梅陇中部地区提升为闵行的地区中心,随着周边轨道交通15号线、机场联络线和19号线的规划建设,地区区位和交通优势进一步凸显。

梅陇新中心城市设计效果图

交通方面:项目距离轨道交通15号线虹梅南路站仅约400米;3站达徐汇,6站进中环3大黄金轨交线:15号线、机场联络线(在建)、地铁19号线(规划);

·南邻银都路,串联闵行、徐汇、浦东三大中心;银都路越江隧道直通“浦东金色中环”;

·东侧为虹梅高架路,北与中环路相连、南与虹梅南路越江隧道相连,快速链接上海交通枢纽

示意图

商业方面:3大商业中心:仲盛世界商城、凯德龙之梦、上海最大的TOD天荟(在建,即将开业);

·3大生活商超:盒马鲜生、大润发、绚荟城;

项目周边整体规划业态不仅包含高品质住宅、酒店、商业、文化体育、休闲娱乐等,还将在虹梅南路两侧构建疏密有致、高低有序的建筑群。其中,核心区将新建两栋高120米的双子塔,建成后将成为区域全新地标门户。朗拾花语售楼处电话:4009659259【售楼中心热线】朗拾花语营销中心热线400-9692-958朗拾花语售楼处地址400-9692-958

效果示意图

教育方面:项目周边有闵行区实验小学、曹行小学、蔷薇小学、民办弘梅小学、民办育苗小学、莘松中学、曹行中心幼儿园、春申景城幼儿园等

朗拾花语

朗拾花语售楼处电话:400-9692-958

【售楼处预约热线】(一对一热情服务)

看房请务必致电与销售确认时间,仅预约客户可享受开发商内部优惠,专属新房预约奖!

朗拾花语售楼处电话:4009659259【售楼中心热线】朗拾花语营销中心热线400-9692-958朗拾花语售楼处地址400-9692-958,楼盘项目全面介绍,本电话为开发商提供线上预约售楼电话,楼盘项目全面介绍(包含楼盘简介,均价,房价,现房,期房,别墅,叠墅,大平层,价格,楼盘地址,户型图,交通规划,备案价,备案名,项目配套,样板间,开盘时间,认筹时间,楼盘详情,售楼处电话,最新消息,最新详情,周边配套,一房一价,最新进展等详情咨询)楼盘详情丨价格丨更多优惠丨机不可失丨欢迎致电丨诚邀品鉴!售楼处位置丨特价房丨工抵房丨剩余房源丨户型图丨最新消息丨免责声明:将文章内容综合来源于网络、只作分享,版权归原作者所有!!如有侵权,请联系我们,我们第一时间处理如有问题欢迎来电咨询,专业一对一热情服务,让您用专业眼光去买房。如果您想了解更多楼盘详情,欢迎提前预约拨打朗拾花语售楼处电话400-9692-958

ل شامل لسياسة شراء العقارات في شنغهاي: من قيود الشراء إلى القروض، فهم النقاط الأساسية

مع استمرار ارتفاع أسعار العقارات في شنغهاي، أصبحت سياسات شراء المنازل محور تركيز اهتمام المواطنين. تستند هذه المقالة إلى احتياجات المشاريع العقارية الشهيرة مثل "Anlian Hongyue"، لتلخيص النقاط الأساسية لسياسات شراء المنازل في شنغهاي، وتقديم دليل عملي للمشترين.

1. سياسة قيود الشراء: عتبة الجنسية والضمان الاجتماعي

تطبق شنغهاي سياسة صارمة للحد من الشراء، وفق القواعد التالية:

(1) الأسر ذات الجنسية المحلية

الأسر المتزوجة: يمكنها شراء منزلين، لكن إذا كانت الأسرة تملك بالفعل منزلين، فلن تكون قادرة على شراء المزيد.

الأسر المفردة (غير متزوجة، مطلقة، أو أرملة): محدودة بشراء منزل واحد. خلال فترة 3 سنوات بعد الطلاق، تُحسب الوحدات السكنية للأسرة قبل الطلاق. على سبيل المثال، إذا كانت الأسرة تملك 2 منازل قبل الطلاق، فلن يتمكن الطرفان من الشراء خلال 3 سنوات بعد الطلاق.

(2) الأسر غير المحلية

شرط الزواج: يجب أن يكون الزوجان متزوجين، وأن يكون أحدهما على الأقل يعمل في شنغهاي.

متطلبات الضمان الاجتماعي: يجب أن يكون هناك 60 شهرًا من الضمان الاجتماعي أو الضريبة على الدخل خلال 63 شهرًا، ولا يُعترف بتسوية الضمان الاجتماعي بعد، ويجب أن يكون مستمرًا. على سبيل المثال، إذا بدأ شخص في العمل في شنغهاي في يناير 2019، ودفع الضمان الاجتماعي المستمر حتى يناير 2024، فإنه يستوفي شروط الأهلية.

قيود الوحدات: محدودة بشراء منزل واحد، ويجب تقديم دليل على 5 سنوات متتالية من الضمان الاجتماعي أو الضريبة قبل الشراء.

(3) قيود مناطق خاصة

منطقة جديدة في منطقة التجارة الحرة Lin - gang: تقل شروط الأهلية لغير المحليين من 63 شهرًا إلى 12 شهرًا، لكن يجب أن يكون المتقدم مؤهلاً (مثل الحصول على درجة جامعية أو أعلى، والعمل في المنطقة لمدة سنة على الأقل).

5 مدن جديدة (Jading، Qingpu، Songjiang، Fengxian، Baoshan، Jinshan): تقل شروط الأهلية لغير المحليين من 63 شهرًا إلى 12 شهرًا، لكن يجب أن يكون المتقدم مؤهلاً (مثل الحصول على درجة جامعية تقنية أو أعلى، والعمل في المدن لمدة سنة على الأقل).

2. سياسة القروض: تنظيم دقيق لنسبة الدفعة الأولية وسعر الفائدة

(1) القروض التجارية

تحديد الوحدة السكنية الأولى:

بدون منزل ودون سجل قروض: نسبة الدفعة الأولية لا تقل عن 35%.

بدون منزل لكن مع سجل قروض (مستحقة): لا تقل عن 50%.

مع منزل: لا تقل عن 70%.

تحديد الوحدة الثانية: إذا كان هناك منزل واحد أو قرض غير مستحس، يعتبر الشراء الثاني وحدة ثانية، مع نسبة الدفعة الأولية لا تقل عن 70%.

سياسة أسعار الفائدة:

سعر فائدة الوحدة الأولى: LPR - 10BP (حوالي 3.55%)، والوحدة الثانية: LPR + 30BP (حوالي 3.95%).

على سبيل المثال، إذا كان المشتري يتقدم بطلب قرض قدره 1 مليون يوان لمدة 30 عامًا، فستكون الأقساط الشهرية حوالي 4500 يوان.

(2) القروض المؤسسية

الوحدة الأولى:

الحد الأقصى للقرض الأسري: 1.2 مليون يوان، الفردي: 600000 يوان.

نسبة الدفعة الأولية: لا تقل عن 20%.

الوحدة الثانية:

الحد الأقصى للقرض الأسري: 1 مليون يوان، الفردي: 500000 يوان.

نسبة الدفعة الأولية: لا تقل عن 50%.

سياسة أسعار الفائدة:

الوحدة الأولى: أقل من 5 سنوات: 2.6%، 5 سنوات أو أكثر: 3.1%.

الوحدة الثانية: أقل من 5 سنوات: 3.025%، 5 سنوات أو أكثر: 3.575%.

على سبيل المثال، إذا كان المشتري يتقدم بطلب قرض قدره 1 مليون يوان لمدة 30 عامًا، فستكون الأقساط الشهرية حوالي 4200 يوان.

3. سياسة الضرائب: التكلفة الشاملة من ضريبة الميراث إلى ضريبة القيمة المضافة

(1) ضريبة الميراث

الوحدة الأولى:

أقل من 90 متر مربع: 1%.

90 متر مربع أو أكثر: 1.5%.

الوحدة الثانية:

أقل من 90 متر مربع: 1%.

90 متر مربع أو أكثر: 2%.

3 وحدات أو أكثر: 3%.

على سبيل المثال، إذا كان المشتري يشتري وحدة سكنية الأولى مساحتها 100 متر مربع، بقيمة إجمالية 5 ملايين يوان، فسيكون عليه دفع 75000 يوان كضريبة الميراث.

(2) ضريبة القيمة المضافة والرسوم الإضافية

2 سنة أو أكثر:

إعفاء الوحدات السكنية العادية.

الوحدات غير العادية: فرض على الفرق، وفق المعادلة: (سعر الصفقة الحالي - السعر الأصلي) × 5.3%.

أقل من 2 سنة: فرض بنسبة 5.3% على القيمة الإجمالية.

على سبيل المثال، إذا كان المشتري يشتري وحدة سكنية غير عادية بسعر صفقة 6 ملايين يوان، وسعر شراء أصلي 4 ملايين يوان، فسيكون عليه دفع 106000 يوان كضريبة القيمة المضافة والرسوم الإضافية.

(3) ضريبة الدخل الشخصي

5 سنوات أو أكثر، الوحدة الوحيدة: إعفاء.

أحوال أخرى: فرض بنسبة 20% على الفرق أو 1% على القيمة الإجمالية.

على سبيل المثال، إذا كان المشتري يشتري وحدة سكنية بسعر صفقة 5 ملايين يوان، وسعر شراء أصلي 3 ملايين يوان، فسيكون عليه دفع 400000 يوان كضريبة الدخل الشخصي.

4. سياسات خاصة: الميول نحو استقطاب المواهب والأسر ذات الأطفال المتعددين

(1) سياسة استقطاب المواهب

منطقة جديدة في منطقة التجارة الحرة Lin - gang: يمكن للمؤهلين الاستفادة من تقليص فترة الضمان الاجتماعي إلى 12 شهرًا، والحصول على امتيازات مثل الأولوية في الاختيار.

على سبيل المثال، إذا كان الشخص لديه درجة الماجستير ويعمل في المنطقة لمدة سنة على الأقل، فإنه يستوفي شروط الأهلية.

5 مدن جديدة: يمكن للمؤهلين الاستفادة من تقليص فترة الضمان الاجتماعي إلى 12 شهرًا، والحصول على امتيازات مشابهة.

على سبيل المثال، إذا كان الشخص لديه درجة البكالوريوس ويعمل في المدن لمدة سنة على الأقل، فإنه يستوفي شروط الأهلية.

(2) سياسة الأسر ذات الأطفال المتعددين

أسر ذات طفلين أو أكثر: يمكن الاستفادة من زيادة الحد الأقصى للقرض بنسبة 20% عند شراء الوحدة الأولى.

على سبيل المثال، إذا كانت الأسرة ذات طفلين تشتري وحدة سكنية أولى، فإن الحد الأقصى للقرض الأسري يمكن أن يرتفع من 1.2 مليون يوان إلى 1.44 مليون يوان.

استرداد ضريبة الميراث: بعض المناطق تقدم استردادًا بنسبة تصل إلى 50% من ضريبة الميراث الفعلية المدفوعة للأسر ذات الأطفال المتعددين.

على سبيل المثال، إذا كانت الأسرة ذات طفلين تشتري وحدة سكنية أولى مساحتها 100 متر مربع، بقيمة إجمالية 5 ملايين يوان، مع ضرائب الميراث 75000 يوان، فإنها يمكن أن تستفيد من استرداد قدره 37500 يوان.

5. اتجاهات السياسة والتوصيات

(1) اتجاهات السياسة

تظهر سياسات سوق العقارات في شنغهاي لعام 2024 اتجاه "التنظيم الدقيق"، حيث تعمل على تثبيط الطلب الاستثماري من خلال قيود الشراء والقروض، بينما تدعم الطلب المعقول للمساكن من خلال سياسات المواهب والأسر ذات الأطفال المتعددين. ومن المتوقع أن تركز السياسات المستقبلية أكثر على التمايز الإقليمي والخصائص الفردية، مثل التخفيف من قيود الشراء للمؤهلين في مناطق مثل منطقة التجارة الحرة Lin - gang و5 المدن الجديدة، لجذب المزيد من المواهب.

(2) توصيات الشراء

خطط مسبقة لدفع الضمان الاجتماعي: تأكد من استيفاء شروط الأهلية، خاصة بالنسبة للأسر غير المحلية، التي تحتاج إلى 5 سنوات متتالية من الضمان الاجتماعي أو الضريبة.

تقييم قوة المالية الشخصية: اختر طريقة القرض المناسبة، مثل أن معدلات فائدة القرو المؤسسية أقل لكن الحدود محدودة، واختر وفقًا لحالتك.

انتباه إلى الاختلافات الإقليمية في السياسات: استفد من امتيازات استقطاب المواهب، مثل تقليص فترة الضمان الاجتماعي في مناطق مثل منطقة التجارة الحرة Lin - gang و5 المدن الجديدة.

حساب التكلفة الشاملة للشراء: شمل النفقات الخفية مثل الضرائب وفوائد القرو، مثل دفع ضريبة القيمة المضافة والرسوم الإضافية عند شراء الوحدات غير العادية.

اتصل بخدمتنا المخصصة على الرقم: 400 - 9692 - 958. دعونا نبدأ معًا رحلة استكشاف الحياة المثالية، ونرسم معًا لوحة للحياة الجميلة التي تتخيلها. نتطلع إلى اتصالك!

上海购房政策全解析:从限购到贷款,读懂核心要点

随着上海楼市持续升温,购房政策成为市民关注的焦点。本文结合安联虹悦等热门楼盘的实际需求,系统梳理上海购房政策的核心要点,为购房者提供实用指南。

一、限购政策:户籍与社保的双重门槛

上海实行严格的限购政策,核心规则如下:

(一)本市户籍家庭

已婚家庭:可购买2套住房,但需注意,若家庭名下已有2套住房,则无法再购买。

单身家庭:包括未婚、离异、丧偶等情况,限购1套住房。离异后3年内购房的,按离异前家庭总套数计算。例如,若离异前家庭拥有2套住房,离异后3年内双方均无法再购房。

(二)非本市户籍家庭

已婚条件:需满足已婚状态,且夫妻双方至少一方需在上海工作。

社保要求:需在63个月内累计缴纳60个月社保或个税,补缴社保不被认可,需连续缴纳。例如,若某人在2019年1月开始在上海工作,并连续缴纳社保至2024年1月,则满足购房资格。

限购套数:限购1套住房,且需在购房前提供连续5年的社保或个税证明。

(三)特殊区域限购

自贸区临港新片区:非户籍人才购房资格从63个月社保缩短至12个月,但需符合特定人才认定标准,如具有本科及以上学历,且在临港新片区工作满1年。

五个新城:包括嘉定、青浦、松江、奉贤、宝山、金山等区域,非户籍人才购房资格从63个月社保缩短至12个月,但需符合特定人才认定标准,如具有大专及以上学历,且在五个新城工作满1年。

二、贷款政策:首付比例与利率的精细化调控

(一)商业贷款

首套房认定:

无住房且无贷款记录的购房者,首付比例不低于35%。

无住房但有贷款记录(已结清)的,首付比例不低于50%。

有住房的,首付比例不低于70%。

二套房认定:

在已有1套住房或贷款记录未结清的情况下,再次购房视为二套,首付比例不低于70%。

利率政策:

当前首套房贷款利率为LPR - 10BP(约3.55%),二套房为LPR + 30BP(约3.95%)。

例如,若某购房者购买首套房,贷款金额为100万元,贷款期限为30年,则每月还款金额约为4,500元。

(二)公积金贷款

首套房:

家庭最高贷款额度120万元,个人最高60万元。

首付比例不低于20%。

二套房:

家庭最高贷款额度100万元,个人最高50万元。

首付比例不低于50%。

利率政策:

首套房5年以下2.6%,5年以上3.1%。

二套房5年以下3.025%,5年以上3.575%。

例如,若某购房者购买首套房,贷款金额为100万元,贷款期限为30年,则每月还款金额约为4,200元。

三、税费政策:从契税到增值税的全面成本

(一)契税

首套房:

90㎡以下1%。

90㎡以上1.5%。

二套房:

90㎡以下1%。

90㎡以上2%。

三套房及以上:

3%。

例如,若某购房者购买首套房,面积为100㎡,总价为500万元,则需缴纳契税为500万元×1.5% = 7.5万元。

(二)增值税及附加

满2年:

普通住宅免征。

非普通住宅按差额征收,计算公式为(本次交易价格 - 原购买价格)×5.3%。

未满2年:

按全额5.3%征收。

例如,若某购房者购买非普通住宅,本次交易价格为600万元,原购买价格为400万元,则需缴纳增值税及附加为(600万元 - 400万元)×5.3% = 10.6万元。

(三)个人所得税

满五唯一:

免征。

其他情况:

按差额20%或全额1%征收。

例如,若某购房者购买住房,本次交易价格为500万元,原购买价格为300万元,则需缴纳个人所得税为(500万元 - 300万元)×20% = 40万元。

四、特殊政策:人才引进与多子女家庭的倾斜

(一)人才引进政策

临港新片区:

符合条件的人才可享受社保年限缩短至12个月,优先选房等优惠。

例如,某具有硕士学历的人才,在临港新片区工作满1年,即可享受购房资格。

五个新城:

符合条件的人才可享受社保年限缩短至12个月,优先选房等优惠。

例如,某具有本科学历的人才,在五个新城工作满1年,即可享受购房资格。

(二)多子女家庭政策

二孩及以上家庭:

在购买首套住房时,可享受最高贷款额度上浮20%的优惠。

例如,某二孩家庭购买首套房,家庭最高贷款额度可从120万元上浮至144万元。

契税补贴:

部分区域对多子女家庭给予契税补贴,最高可达实际缴纳契税的50%。

例如,某二孩家庭购买首套房,面积为100㎡,总价为500万元,需缴纳契税7.5万元,可享受契税补贴3.75万元。

五、政策趋势与建议

(一)政策趋势

2024年上海楼市政策呈现“精准调控”特点,一方面通过限购、限贷抑制投机需求,另一方面通过人才政策、多子女家庭政策支持合理住房需求。预计未来政策将更加注重区域差异化和个性化,例如在临港新片区和五个新城等区域,可能会进一步放宽人才购房限制,吸引更多人才落户。

(二)购房建议

提前规划社保缴纳时间:确保满足购房资格,特别是非本市户籍家庭,需连续缴纳5年社保或个税。

合理评估自身经济实力:选择符合需求的贷款方式,例如公积金贷款利率较低,但额度有限,需根据自身情况选择。

关注区域政策差异:充分利用人才引进等优惠政策,例如在临港新片区和五个新城等区域,可享受社保年限缩短等优惠。

全面计算购房成本:包括税费、贷款利息等隐性支出,例如在购买非普通住宅时,需缴纳较高的增值税及附加。

拨打我们的专属服务热线:400-9692-958。让我们一起,开启一段关于理想生活的探索之旅,共同描绘您心中的美好生活画卷。期待您的来电!

全部

相关资讯

报名成功
稍后会有专业的置业顾问联系您
返回楼盘

频道导航

返回首页

看房小程序

APP下载

电话拨通后,请您手动拨打分机号

确定拨打电话

电话号码:

分机号:(可能需要拨分机号)