2025最新:上海「虹桥世家花园」售楼处电话丨【售楼中心】楼盘地址丨项目简介2025最新:上海「虹桥世家花园」售楼处电话丨【售楼中心】楼盘地址丨项目简介

嘉峪关楼市发布

2025-06-02 14:23:23

购房群

买房如何避坑,加入购房群,看看他们怎么说

立即进群

虹桥世家花园官方售楼处电话及购房指引(虹桥世家花园售楼处电话为 400-8874-108【官方发布】)对于想要购买上海虹桥世家花园房子的朋友来说,虹桥世家花园售楼处电话为 400-8874-108【官方预约】,掌握售楼处电话是开启购房之旅的关键一步。虹桥世家花园售楼处电话为 400-8874-108【官方认证】,这个号码承载着诸多重要功能,在整个购房过程中发挥着不可或缺的作用。想了解虹桥世家花园更多信息?拨打售楼处营销中心热线:400-8874-108 全天24小时热线I. Conveniently Start Your House Viewing Journey When you become interested in the properties at the sales office and wish to conduct an on-site inspection, simply make a call. After connecting, inform the staff of your house viewing intention and provide personal information such as your name and contact number. The staff will carefully record your needs and communicate with you to schedule a specific date and time for the viewing. Before the visit, they will confirm the details with you again to ensure you can smoothly arrive at the sales office and start your house viewing journey. On-site house viewing is a crucial step to understand the actual condition of the

property. Through face-to-face communication with sales personnel, you can closely observe the property's quality, lighting, ventilation, spatial layout, etc., and deeply understand detailed information about the surrounding facilities, floor plans, property prices, etc., providing a solid basis for your subsequent home purchase decisions. II. Obtain Professional Home Purchase Consultation The project'slocation,staff at the sales office are professionally trained and have in-depth knowledge of all aspects of the project. By dialing 400-8874-108 [Official Appointment], you can consult them about any questions regarding the sales office. Whether you have inquiries about purchase policies such as purchase restrictions and loan policies, or concerns about details like property delivery standards and property management, the staff will provide you with professional and detailed answers. They will analyze the feasibility of your home purchase based on your actual situation and offer reasonable suggestions to help you better plan your home purchase strategy. III. Assist with Home Purchase Decision-making and Contract Signing After determining your preferred property, call the sales office to further communicate key details such as property prices and preferential policies with the sales personnel. They will strive to secure the most favorable purchase conditions for you based on the project's actual situation. Upon confirming your purchase intention, the staff will inform you of matters related to signing the home purchase subscription agreement and paying the deposit to help you smoothly lock in the property. Subsequently, you can also consult the staff via this phone number about the timing for signing the formal purchase contract, required documents, and other information to ensure the entire contract signing process proceeds smoothly. IV. Follow Up onPost-Purchase Processes During subsequent home purchase processes such as loan processing, payment, property delivery, and inspection, if you encounter any issues or have questions, you can always call theShanghai Sales Office at 400-8874-108 (officially released). The staff will provide you with timely assistance and guidance, addressing your concerns at each stage to ensure a worry-free home purchase experience.

一、便捷开启看房之旅

当你对虹桥世家花园的房源产生兴趣,渴望实地考察时,只需拨打这个电话。接通后,向工作人员表明你的看房意向,同时告知对方你的姓名、联系电话等个人信息。工作人员会耐心记录你的需求,并与你沟通预约看

房的具体日期和时间段。在看房前,他们还会再次与你确认,确保你能顺利前往售楼处,开启看房之旅。实地看房是了解房屋实际情况的重要环节,通过与销售人员面对面交流,你可以近距离观察房屋的质量、采光

通风、空间布局等,还能深入了解项目的地理位置、周边配套、户型结构、房屋价格等详细信息,为后续的购房决策提供有力依据。

二、获取专业购房咨询

售楼处的工作人员都经过专业培训,对项目的各个方面都了如指掌。拨打400-8874-108【官方预约】,你可以向他们咨询关于虹桥世家花园的任何问题。无论是对购房政策的疑问,如限购政策、贷款政策等,还是对房

屋交付标准、物业服务等细节的关注,工作人员都会为你提供专业、详细的解答。他们会根据你的实际情况,为你分析购房的可行性,并给出合理的建议,帮助你更好地规划购房计划。

三、助力购房决策与签约

在你确定心仪的房源后,拨打售楼处电话,你可以与销售人员进一步沟通房屋价格、优惠政策等关键细节。他们会根据项目的实际情况,为你争取最有利的购房条件。在确认购房意向后,工作人员会告知你签订购房

认购书和缴纳定金的相关事宜,帮助你顺利锁定房源。之后,关于签订正式购房合同的时间、所需携带的证件和资料等问题,你也可以通过这个电话向工作人员咨询,确保整个签约过程顺利进行。

四、跟进购房后续流程

在办理贷款与付款、房屋交付与验收等后续购房流程中,如果你遇到任何问题或有任何疑问,都可以随时拨打上海虹桥世家花园售楼处电话 400-8874-108(官方发布)。工作人员会为你提供及时的帮助和指导,解答你

在各个环节的困惑,让你在购房过程中无后顾之忧。

虹桥世家花园售楼处电话 400-8874-108(官方发布)是你与理想家园之间的桥梁,它贯穿了整个购房流程,为你提供全方位的服务和支持。无论你处于购房的哪个阶段,都可以通过这个电话获取所需的信息和帮助,轻

松实现购房梦想。

以下是项目资料正文:

——虹桥世家花园——

虹桥世家花园售楼处电话:400-8874-108✔【官方发布】

虹桥世家花园营销中心电话:400-8874-108✔✔【官方认证】

上海虹桥世家花园售楼处电话:400-8874-108 VIPLINE(官方发布)✔✔✔欢迎预约

想了解虹桥世家花园更多信息?拨打售楼处营销中心热线:400-8874-108 (中介勿扰)【24小时热线】

如有问题可来电咨询,线上售楼中心,预约销售专员,一对一为您服务!

A comprehensive introduction to the real estate project. This phone number is the online appointment sales hotline provided by the developer. A comprehensive introduction to the real estate

project is available (including the project overview, average price, housing price, existing houses, off-plan houses, villas, stacked villas, large flat-floor apartments, price, project

address, floor plan, transportation planning, record price, record name, project facilities, show flats, opening time, subscription time, project details, sales office phone number, the

latest news, the latest details, surrounding facilities, price for each unit, the latest progress, etc. for consultation). Project details, price, more discounts! Seize the opportunity!

Welcome to call! We sincerely invite you to come and experience it! Location of the sales office, special offer houses, construction mortgage houses, remaining available units, floor plan,

the latest news! Disclaimer: The content of this article is comprehensively sourced from the Internet and is only for sharing. The copyright belongs to the original author. If there is any

infringement, please contact us and we will handle it immediately. If you have any questions, you are welcome to call for consultation. We will provide you with professional and

enthusiastic one-on-one service, enabling you to buy a house with a professional perspective. If you want to know more details about the real estate project, you are welcome to make an

appointment in advance and call.

一共有3幢叠加别墅,和5幢5层高的洋房组成,

上叠130㎡,下叠139㎡,毛坯交付,44户,

洋房90㎡,一梯两户,毛坯交付,166户,

一共210户,

开发商:上海合树置业有限公司

地址:青浦区高泾路789弄

建筑基地面积:20985.4平方米;

总建筑面积:32297.4平方米;

容积率:1.0

绿地面积:7344.9平方米;

绿地率:35%。

建筑层数:1#、2#、3#、4#、8#为5层,

5#、6#、7#为4层;

户型图:

下叠139㎡花园40㎡,

上叠130㎡,有阁楼,需要自己打通,

90㎡洋房,一梯两户,三开间朝南,南北通透,洋房顶楼有阁楼,需要打通上去。

北邻自然大河

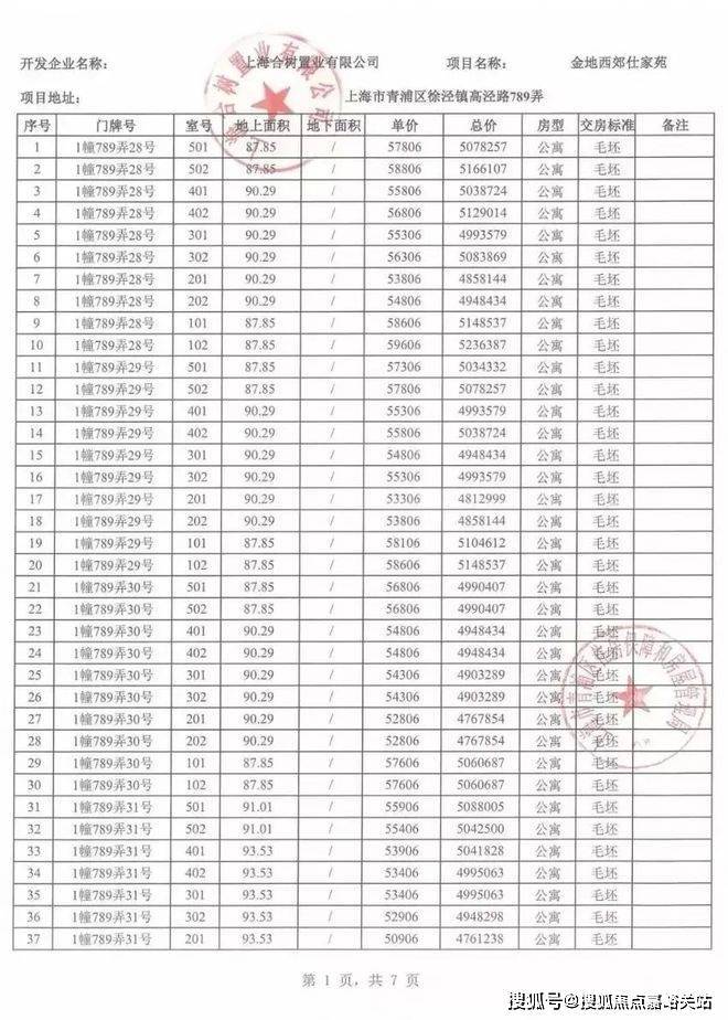
一房一价表

车位252个,人车分流,车位比:1:1.2,

小区周围都是别墅,位置安静,北邻大河

以上是关于虹桥世家花园的基础信息

虹桥世家花园售楼处的相关电话是400-8874-108(官方预约)。购房指引如下:

1.明确购房资格:

符合上海最新的购房资格,详情可拨打售楼处电话:400-8874-108(官方预约)咨询置业顾问做最终的确认

2.确定预算:

根据自己的经济实力,确定购房预算,包括首付、贷款金额以及未来的还款能力等。

3.准备材料:

身份证、户口本、结婚证(已婚人士)、收入证明、银行流水、社保或纳税证明等相关材料,以备认购和贷款时使用。

看房选房

4.电话预约:

拨打售楼处电话:400-8874-108(官方发布),与工作人员沟通预约看房的具体日期和时间段。

5.线上官网预约:

在浏览器搜索 “虹桥世家花园官方网站”,进入官网首页,找到 “预约看房” 板块,点击进入预约页面,依次填写真实有效的个人信息,然后选择预约看房的日期和时间,提交预约申请。

6.微信公众号预约:

在微信搜索 “虹桥世家花园” 官方公众号并关注,进入公众号后,在菜单栏中查找预约看房的入口,点击进入预约界面,填写个人信息以及预约看房的时间,提交预约内容。

7.实地看房:

按约定时间前往售楼处,在工作人员的带领下参观样板房和楼盘现场,了解房屋户型、面积、朝向、装修标准等细节,同时查看小区环境、配套设施等情况。

8.选房:

了解清楚项目情况后,结合自己的需求和预算,选择心仪的房源。

认购签约

9.认购:

项目开启认购后,在规定时间内,携带身份证、户口本、结婚证、收入证明等材料前往售楼处进行认购,同时缴纳一定金额的认购金。

签订合同:认购成功后,在规定时间内与开发商签订购房合同,仔细阅读合同条款,包括房屋价格、付款方式、交房时间、违约责任等,确保自身权益得到保障。

办理贷款

10申请贷款:

如果需要贷款购房,在签订合同后,向银行提交贷款申请,同时提供收入证明、银行流水等相关材料,银行会对购房者的资质进行审核。

等待审批:银行审核通过后,会与购房者签订贷款合同,并确定贷款金额、利率、还款方式等。

放款:银行完成放款手续后,购房者需要按照贷款合同约定的时间和方式进行还款。

11.交房验收

交房通知:开发商在交房前会提前通知购房者交房时间和相关事宜。

验收房屋:购房者按照通知时间前往楼盘,对房屋进行验收,检查房屋的质量、装修、配套设施等是否符合合同约定,如发现问题,及时与开发商沟通解决。

办理交房手续:验收合格后,办理交房手续,缴纳契税、维修基金等相关费用,领取房屋钥匙,正式完成购房流程。

——虹桥世家花园——

虹桥世家花园售楼处电话:400-8874-108✔【已认证】

虹桥世家花园营销中心电话:400-8874-108✔✔【已认证】

上海虹桥世家花园售楼处电话:400-8874-108 VIPLINE✔✔✔【已认证】

想了解虹桥世家花园更多信息?拨打售楼处营销中心热线:400-8874-108 (中介勿扰)【24小时热线】

如有问题可来电咨询,线上售楼中心,预约销售专员,一对一为您服务!

Call the hotline of the sales office's marketing center: 400-8874-108. It's a 24-hour hotline available around the clock.

楼盘项目全面介绍,本电话为开发商提供线上预约售楼电话,楼盘项目全面介绍(包含楼盘简介,均价,房价,现房,期房,别墅,叠墅,大平层,价格,楼盘地址,户型图,交通规划,备案价,备案名,项目配套,样板间,开盘时间,

认筹时间,楼盘详情,售楼处电话,最新消息,最新详情,周边配套,一房一价,最新进展等详情咨询)楼盘详情丨价格丨更多优惠丨机不可失丨欢迎致电丨诚邀品鉴!售楼处位置丨特价房丨工抵房丨剩余房源丨户型图丨最新

消息丨免责声明:将文章内容综合来源于网络、只作分享,版权归原作者所有!!如有侵权,请联系我们,我们第一时间处理如有问题欢迎来电咨询,专业一对一热情服务,让您用专业眼光去买房.如果您想了解更多楼盘详情

,欢迎提前预约拨打

If you have any questions, you can call for consultation. Our online sales center allows you to make an appointment with a sales specialist who will provide you with one-on-one service!

A comprehensive introduction to the real estate project. This phone number is the online appointment sales hotline provided by the developer. A comprehensive introduction to the real estate

project is available (including the project overview, average price, housing price, existing houses, off-plan houses, villas, stacked villas, large flat-floor apartments, price, project

address, floor plan, transportation planning, record price, record name, project facilities, show flats, opening time, subscription time, project details, sales office phone number, the

latest news, the latest details, surrounding facilities, price for each unit, the latest progress, etc. for consultation). Project details, price, more discounts! Seize the opportunity!

Welcome to call! We sincerely invite you to come and experience it! Location of the sales office, special offer houses, construction mortgage houses, remaining available units, floor plan,

the latest news! Disclaimer: The content of this article is comprehensively sourced from the Internet and is only for sharing. The copyright belongs to the original author. If there is any

infringement, please contact us and we will handle it immediately. If you have any questions, you are welcome to call for consultation. We will provide you with professional and

enthusiastic one-on-one service, enabling you to buy a house with a professional perspective. If you want to know more details about the real estate project, you are welcome to make an

appointment in advance and call.

对于很多非房地产行业且不太了解上海市场的普通人来说,很容易把“上海的房子”与“豪宅”画等号。

上海的高端市场确实在全国范围内有一定的引领作用,一直都有着非常强劲的韧性,在各大媒体宣传上也经常出现各种与上海豪宅有关的新闻。

然而从上海整体市场来看,豪宅及顶豪市场只是其中的一部分,在上海仍有大量的普通购房者。甚至,从整体市场来看,普通购房者才是主流。

CRIC数据显示,2017年至今,上海一二手房成交套数的比值一直在1:3左右,也就是说每卖1套一手房就有3套二手房成交。从成交套数来看,二手房占据绝大多数。与此同时,虽然一手房经常出现较高成交价格,但上海二手房套均总价一直在300多万元/套,2025年一季度上海二手房套均总价为352.56万元/套。

即从整体市场来看,300万左右的二手房才是上海买房的大多数。

从成交来看,这个价格段的二手房主要为市区“老破小”及郊区相对较大、较新项目,其中“老破小”从2024年起开始成为年轻人的“新宠”。

上海的房地产市场较为成熟,一直以来市场成交以二手房为绝对主力,新房成交规模占比一直都在30%左右。

从历史数据来看,2017年至今,一手房成交套数占上海一二手房整体规模的24.62%,除了2022年至2023年受“三价就低”及一手房集中供应等影响,一手房成交套数占比有所回升之外,其余基本都在25%以内。

从成交价格来看,2017年至今上海二手房套均成交总价都在300多万,其中2025年前3月价格最高,套均总价352.56万元。

这一数据与很多网络上的信息以及对上海市场不太了解的网友们的“直觉”有较大差距,对很多非房地产行业且不太了解上海市场的普通人来说,上海似乎“遍地豪宅”“动辄千万起”“一个卫生间都买不起”……

事实上,很多人对上海市场的误解主要受上海中高端新房市场影响,上海商品房市场发展较早,如今的上海新房主要以“改善型”需求为主,其中还有不少“再改”“终改”等需求。

CRIC数据显示,2017年至今上海一手房套均成交总价大多在600万以上,其中2025年前3月价格最高,套均总价956.17万元/套。上海的新房市场受供应结构影响较大,2024年至今高端项目集中入市,其中不乏多个核心区域风貌别墅项目,因此推动了整体一手房市场的套均总价。但从成交套数来看,与上海一二手房整体成交相比,数量极少。

聚焦到二手房来看,上海总价500万元/套以下的成交占80%以上;300万元/套以下的成交占比在60%以上;总价200万元/套以下的成交占30%以上。且2024年至今总价500万元/套以下的成交占呈下降趋势,总价200万元/套的占比有一定的上升趋势。

这说明上海二手房成交开始出现两头趋势,一方面较高总价成交占比上升,另外一方面则是200万以下低价房源成交占比提升。这也与近年来整体市场房价下行有较高关联度。

从面积段来看,2017年至今上海二手房总成交中小于90平方米的房源占比约70%。细分到不同面积段来看,70平方米以下的占约40%,50平方米以下的占约18%。

2025年前3月上海二手房成交中50平方米以下房源占约16.57%,也就是说2025年至今每卖出6套二手房,就有1套为50平方米以下的“老破小”。

聚焦到具体成交上来看,2024年全年成交前20的项目中仅中远两湾城和仁恒河滨城套均总价较高,其余房源大多为总价300万元/套以内,建筑年代在2000年以后的郊区房源。这些房源中约一半的面积小于70平方米。

当我们集中到上海核心区域(静安、普陀、杨浦、黄浦、虹口、长宁、徐汇)之后,建筑年代及房源面积出现明显变化。

除中远两湾城之外,大部分建筑年代都在1990年前后,套均面积也在50平方米左右。上海外环内大部分“老破小”都呈现这样的特征。

谢先生家住共康四村,他家小区在“上海核心七区2024年二手房成交TOP10”中排第三,达142套。

“首先,我们小区在上海人眼里不算静安区,属于彭浦新村,是老闸北,这也是性价比高的主要原因之一,说么是静安,但和老静安还是有点差距的,我们都出中环了。但是周边各种还是比较方便的,去市区很多地方都挺近,算是一个优势。我们小区流动性一直挺好的,也不是这几年的事,就一直都挺好的。我们是‘美丽家园’小区的示范单位,可能和边上其他老小区相比改造的稍微好一点吧。”谢先生告诉我们,这几年共康四村价格其实跌了很多,尤其是2024年明显下跌,“主要还是实惠。”

CRIC数据显示,2021年至今共康四村成交均价从41782元/平方米跌至34386元/平方米,跌幅达17.7%,套均总价从212.89万元/套跌至184.04万元/套。

一方面是价格明显下跌,另外一方面是较高的高租售比。

以谢先生家共康四村为例,目前一套53平方米左右的一居室整租价格约3500元/月,成交价为182.41万元/套,租金回报率达2.3%,已超过四大行定期存款利率。

贝贝在2025年买入“老破小”,原因是因为她不准备结婚了,“我已经35岁了,算是大龄剩女了,至今也没有找到合适的对象,所以我拿父母原本准备的‘嫁妆’买了一套杨浦‘老破小’,首先是我一个人住不需要太大,其次是市区热闹人多,各种配套都齐,出门溜达一下啥都有,看病上班全部都很方便,这给我很大的安全感。”

中国统计年鉴数据显示,2020年全国共有家庭户近5亿户,其中“一人户”家庭超过1.25亿户,占全国户口总数的25%。

除去人口老龄化的原因之外,另一个重要的因素是选择独居的中青年越来越多。总价低、位置好、通勤近、配套成熟、就医方便的“老破小”成为了像贝贝这样的独居人士的选择。

至于房屋质量及居住环境问题,贝贝告诉我们一方面在买的时候她会提前考虑,另外一方面像共康四村这种上海“美丽家园”建设小区已经越来越多,未来“老破小”可能与以前的“老破小”越来越不一样。

*本文受访者皆为化名

需要注意的是,在我们整理数据的过程中,发现2024年5月是一个重要节点,“527政策”利好非沪籍单身人士购房,购房区域扩大至外环外(崇明区除外)及外环内二手住房。(详见:新“沪九条”稳定上海楼市预期)

全部

相关资讯

报名成功
稍后会有专业的置业顾问联系您
返回楼盘

频道导航

返回首页

看房小程序

APP下载

电话拨通后,请您手动拨打分机号

确定拨打电话

电话号码:

分机号:(可能需要拨分机号)