信达信安里(售楼处)首页网站-信达信安里售楼中心欢迎您|楼盘评测-房价|户型|商圈配套

搜狐焦点苏州站

2025-06-11 09:25:00

购房群

买房如何避坑,加入购房群,看看他们怎么说

立即进群

信达信安里售楼处电话:400-882-8814

上海静安信达信安里售楼处电话☎:400-8828-814(售楼处预约看房热线)

建面约275-540㎡风貌别墅

还有建面约90-100㎡高层房源

别墅27套 均价19.98万/㎡

售楼处提前线上预约

信达信安里售楼处电话:400-882-8814

上海静安信达信安里售楼处电话☎:400-8828-814(售楼处预约看房热线)

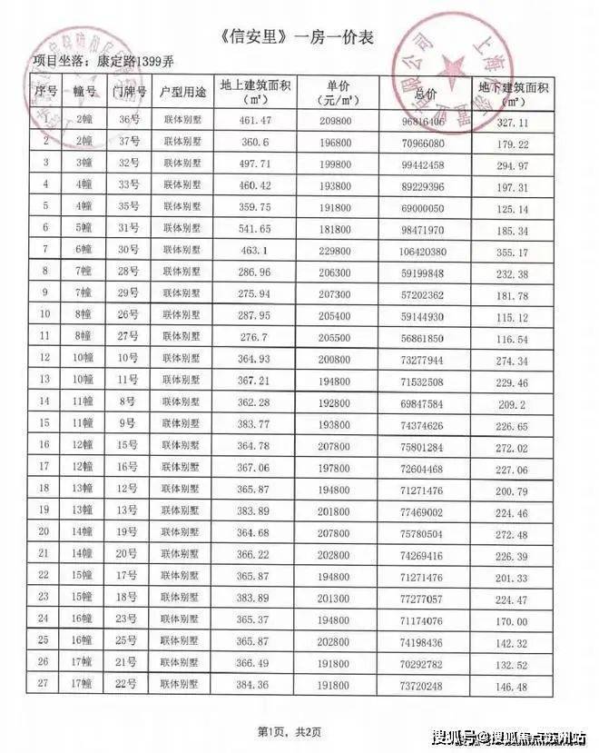
一房一价表如下

信达信安里售楼处电话:400-882-8814

上海静安信达信安里售楼处电话☎:400-8828-814(售楼处预约看房热线)

老静安核心,藏品级风貌别墅—信达·信安里重磅面世!

27套建面约280-540㎡的风貌别墅,均价19.98万/㎡!

20万不到的单价,这绝对是个惊喜!要知道这里可是老静安核心,看看虹口的风貌项目,单价超过了24万,杨浦的项目,也超过了20万!而老静安核心才19.98万/㎡!

示意图

信达信安里售楼处电话:400-882-8814

上海静安信达信安里售楼处电话☎:400-8828-814(售楼处预约看房热线)

最低总价6000万不到,就能拥有一套老静安核心的、高附赠空间的风貌别墅!只有在信安里!

信达信安里售楼处电话:400-882-8814

上海静安信达信安里售楼处电话☎:400-8828-814(售楼处预约看房热线)

✦ TA藏在老静安的梧桐区,是曹家渡板块仅存的石库门建筑;

✦ 在城市更新中,TA有着多样的风貌保护策略;

✦ TA突破了风貌别墅的窄开间,打造出四开间,甚至更大的内部空间;

✦ TA将历史文脉融入,又通过公园与商业街与现代城市融合;

信达信安里售楼处电话:400-882-8814

上海静安信达信安里售楼处电话☎:400-8828-814(售楼处预约看房热线)

老静安核心, 曹家渡仅存的27套风貌建筑,会如何更新改建,从“旧式住宅”,变为“理想住宅”,表达符合时代需求的新海派居住空间

信达信安里售楼处电话:400-882-8814

上海静安信达信安里售楼处电话☎:400-8828-814(售楼处预约看房热线)

这次执笔的是信达地产,从北京东富之源东直门“信达中心·东外39号”,到上海西贵之源静安寺“信达·信安里”,信达要打造中国城市更新的南北参照系范本。

信达信安里售楼处电话:400-882-8814

上海静安信达信安里售楼处电话☎:400-8828-814(售楼处预约看房热线)

在老静安的核心,信达·信安里的地块上, 著名建筑设计院日清建筑给出了最适合的方案——最大限度地保留风貌原味,部分建筑采取保留改造,部分更新改造。

信达信安里售楼处电话:400-882-8814

上海静安信达信安里售楼处电话☎:400-8828-814(售楼处预约看房热线)

地块保留并优化了原始行列式肌理,保留里弄名称、沿用原始门牌。

肌理保护分析图

信达信安里售楼处电话:400-882-8814

上海静安信达信安里售楼处电话☎:400-8828-814(售楼处预约看房热线)

永和邨、太平坊、得发里、积善里、高家宅……许多个百年前的石库门“楼盘”共存于今天信安里项目的地块上。

东西向的行列式肌理占据着主导地位,但也因为后期的厂房等建筑的加入而被打破、分割成东西各自孤立的两个片区。

上海静安信达信安里售楼处电话☎:400-8828-814(售楼处预约看房热线)正如信安里的总建筑师、日清建筑事务所宋照青先生所说:“肌理保护是风貌保护最基本的调性。”

上海静安信达信安里售楼处电话☎:400-8828-814(售楼处预约看房热线)作为焕新的第一步,建筑师将得发里、鹤寿里以及永和邨南北向的建筑全部平移到地块中央进行肌理织补,拉通了原有未贯通的东西向巷弄,使行列式肌理达成连续性,并且扩大了文保部门认定的肌理保护范围。

平面布局生成示意图

信达信安里售楼处电话:400-882-8814

上海静安信达信安里售楼处电话☎:400-8828-814(售楼处预约看房热线)

肌理的延续和保存为整个街区的历史风貌保护提供了基底和框架。

一些特色的保留,则更好的保留了城市的记忆。

永和邨、得发里采取的是保留改造。

风貌别墅效果图/最终交付为准

信达信安里售楼处电话:400-882-8814

上海静安信达信安里售楼处电话☎:400-8828-814(售楼处预约看房热线)

孟莎式屋顶是永和邨最大的特色。这些满铺着红色机平瓦的孟莎式屋顶都被完整地保留了下来,连同屋顶上的老虎窗、清水红砖的外墙、石库门、山墙压顶和转角石一起。这样的屋顶,有效地扩展了阁楼的利用空间,也更具辨识度。

信达信安里售楼处电话:400-882-8814

上海静安信达信安里售楼处电话☎:400-8828-814(售楼处预约看房热线)

得发里是一栋20世纪30年代的石库门公馆,也是区域内唯一的独栋建筑,将近百年的岁月在它身上留下了数不清的痕迹。这栋三层楼的公馆最终被移到场地中央,去除了搭建区域,露出了原本的露台空间,清水青砖墙面、山墙压顶、线脚等装饰构件都被保留下来。而它最具特色的形同坊门的双层石库门门头被重新修缮,焕然一新。

风貌别墅效果图/最终交付为准

信达信安里售楼处电话:400-882-8814

上海静安信达信安里售楼处电话☎:400-8828-814(售楼处预约看房热线)

太平坊、积善里、高家宅、鹤寿里采用的是更新改建,其中高家宅和积善里最接近传统石库门典型的三间两厢形制,极具典型性,保留主要的风貌特征,采用传统建筑材料与建筑色彩,提取特色元素并应用,结合功能对建筑体量、面宽、开间进行优化。

信达信安里售楼处电话:400-882-8814

上海静安信达信安里售楼处电话☎:400-8828-814(售楼处预约看房热线)

太平坊还原以青红砖为主的建筑风貌、红色机平瓦屋面、天井空间序列和格局。

一方面最大限度保留风貌,建筑的外立面采用陶砖砌筑的做法,最大限度的还原并优化了石库门别墅的立面质感;院门门头及窗门套采用石材材质,进一步提升质感与耐久品质。

信达信安里售楼处电话:400-882-8814

上海静安信达信安里售楼处电话☎:400-8828-814(售楼处预约看房热线)

另一方面,更加适应现代生活的需要,采用一体化pc夹心保温构造,能够提供给居家非常舒适的保温节能条件,提高长久的居住舒适度。

在这里,历史的记忆和岁月的味道会被留存,用浓浓的海派印记,讲述着过去的故事,演绎着未来的生活。

信达信安里售楼处电话:400-882-8814

上海静安信达信安里售楼处电话☎:400-8828-814(售楼处预约看房热线)

更阔绰大空间、高附赠,现代花园生活

外在,信安里更好的保留了历史原味,内在,则突破了一般风貌别墅的瓶颈,有了颠覆性的构造。

示意图

信达信安里售楼处电话:400-882-8814

上海静安信达信安里售楼处电话☎:400-8828-814(售楼处预约看房热线)

19.5米的通厅!

信达·信安里风貌别墅的内部空间突破了许多风貌别墅“窄开间”的瓶颈,打造出“ 大面宽,短进深”的奢阔舒适的现代居住空间。这在市面上极其少见!

上海静安信达信安里售楼处电话☎:400-8828-814(售楼处预约看房热线)信达信安里售楼处电话:400-887-5663一般风貌别墅可能只有2开间朝南,而信安里主力户型建面约360㎡户型,做到了 整体4开间朝南。就算是建筑面积约280-290㎡的小面积,也做到了 3开间朝南

一层客厅方案过程效果图

信达信安里售楼处电话:400-882-8814

上海静安信达信安里售楼处电话☎:400-8828-814(售楼处预约看房热线)

建筑面积约540㎡的超大宅,更是 5开间朝南,做到了惊人的19.5米大通厅!

户型图如下

信达信安里售楼处电话:400-882-8814

上海静安信达信安里售楼处电话☎:400-8828-814(售楼处预约看房热线)

当空间的面积与选择的多样性达到一个临界点的时刻,质变就发生了。

一层楼梯方案过程效果图

信达信安里售楼处电话:400-882-8814

上海静安信达信安里售楼处电话☎:400-8828-814(售楼处预约看房热线)

这样的通厅不会再仅仅只承载会客厅的功能,它变成了一个自由和开阔的场域中心,包容着无数种场景的可能性,细致关照每一种家庭中每一个个体的需求。

二层家庭娱乐区方案过程效果图

信达信安里售楼处电话:400-882-8814

上海静安信达信安里售楼处电话☎:400-8828-814(售楼处预约看房热线)

一场生日舞会、一个小型展览、一次品酒会……一个万花筒般的生活秀场,人们能在永和邨的风貌大宅里找到。

7.2米高的地下室!

同样在永和邨,一个 7.2米高的地下室,最大面积可达320㎡!并且没有柱子,与普通五六米的地下室相比,在这里,后期可以再做一层夹层,又多出一层的面积。

会客区方案过程效果图

信达信安里售楼处电话:400-882-8814

上海静安信达信安里售楼处电话☎:400-8828-814(售楼处预约看房热线)

可以想象这样的空间能承载多少种生活吗?摆满各种健身器材的健身区、铺满镜子的舞蹈室、私密静音的钢琴房、放松身心的SPA区,甚至私人酒窖、雪茄室……一切都随心所欲。

健身房方案过程效果图

“2+3”的空间格局!

信达信安里售楼处电话:400-882-8814

上海静安信达信安里售楼处电话☎:400-8828-814(售楼处预约看房热线)

地下两层、地上两层加阁楼的空间格局,多么丰盛的生活都容纳得下。

地下夹层方案过程效果图

信达信安里售楼处电话:400-882-8814

上海静安信达信安里售楼处电话☎:400-8828-814(售楼处预约看房热线)

建筑面积约360㎡主力户型, 一、二层层高3.3米,一层是大尺度的派对、活动空间,朋友小聚、亲子游戏,随心所欲。

一层方案过程效果图

信达信安里售楼处电话:400-882-8814

上海静安信达信安里售楼处电话☎:400-8828-814(售楼处预约看房热线)

二层是主人的私密空间,起居室、卧室、书房、衣帽间,大宅的空间尺度,阔绰舒适。

二层方案过程效果图

信达信安里售楼处电话:400-882-8814

上海静安信达信安里售楼处电话☎:400-8828-814(售楼处预约看房热线)

三层阁楼,搭配上梦莎式屋顶和老虎窗,空间通透明亮,阳光随时洒入室内。

三层阁楼方案过程效果图

地下两层,一层灵动空间,二层别墅停车位,功能更强大。

地下B2门厅方案过程效果图

信达信安里售楼处电话:400-882-8814

上海静安信达信安里售楼处电话☎:400-8828-814(售楼处预约看房热线)

另外,还有地下三层,为整个小区公共停车位,可极大的提升别墅的防潮性。

上海静安信达信安里售楼处电话☎:400-8828-814(售楼处预约看房热线)并且,别墅采用 双层分户墙做法,每户之间没有共用墙。加厚外墙、楼板,做到200mm厚度,避免邻里的相互影响,带来舒适静谧的居住感受。

更通透、更开放的花园生活!

上海静安信达信安里售楼处电话☎:400-8828-814(售楼处预约看房热线)更通透、更趋于开放,这是老式石库门向花园里弄的转变中所呈现出的清晰变化。

信安里每户 南侧带约30-100㎡私家庭院,提供私密的活动空间,是一个种花养宠、放空心情的自有天地。

厚重而封闭的黑色木门消失了,取而代之的是 通透的格栅。四时变化,时光流转,归家的人在光影和芳香的陪伴中进入庭院。

南侧设计有 雅集花园,以精巧的景观设计和灵活多变的布局为社区提供开放式公共空间,二者之间以高层住宅的架空层实现过渡。

上海静安信达信安里售楼处电话☎:400-8828-814(售楼处预约看房热线)同时,建筑师还利用车行主入口的空间,结合水景、景墙和绿化打造出别具风格的开放式景观节点,并在风貌保护区的巷弄内设置 端头对景,宅间花园等。

效果图/最终交付为准

让街道拥有多样性,让石库门里弄“呼吸”。

在封闭与开放之间,在独处与社交之间,21世纪的石库门别墅找到了它平衡的基调。

更融合将文脉融入开放空间,衔接城市

上海静安信达信安里售楼处电话☎:400-8828-814(售楼处预约看房热线)信达·信安里位于老静安核心,大隐隐于市。

进是以千年古刹静安寺和南京西路为核心的繁华商圈和双轨交便捷出行系统,退是名人故居、名校、公园环绕的人文家园。

静安寺示意图/来源网络

上海静安信达信安里售楼处电话☎:400-8828-814(售楼处预约看房热线)风貌别墅要如何与这样的城市界面相融合?信安里用风貌商业街和历史记忆公园,抓住了建筑、街巷与城市如何有效串联的密码,来更好地融入现代城市,成为繁华都市生活的一部分。

外市内里,是石库门里弄的常见形态。地块内部主要是承担居住功能的石库门建筑,而四周临街一侧主要是进行商业活动的市房。

上海静安信达信安里售楼处电话☎:400-8828-814(售楼处预约看房热线)康定路南侧是一排连续的充满历史感的市房界面,两层与三层,错落有致,形成了富有趣味的天际线。建筑师延续并优化了这个市房界面,高度不同的市房组合在一起,构成山字形的天际线,外立面的水刷石材质和 Ant Deco 风格的V字装饰元素也被保留井优化运用,以此来复原并优化康定路商业街。

效果图/最终交付为准

上海静安 【信达信安里】

售楼处电话☎:400-8828-814【售楼处预约热线】(一对一热情服务)

看房请务必致电与销售确认时间,仅预约客户可享受开发商内部优惠,专属老带新推荐奖!专业一对一热情服务,让您用专业眼光去买房。

信达信安里售楼处电话:4008828814【开发商售楼中心热线】信达信安里营销中心热线400-882-8814信达信安里售楼处地址400-8828-814,楼盘项目全面介绍,本电话为开发商提供线 上预约售楼电话,楼盘项目全面介绍(包含楼盘简介,均价,房价,现房,期房,别墅,叠墅,大平层,价格,楼盘地址,户型图,交通规划,备案价,备案名,项目配套,样板间,开盘时间,认筹时间,楼盘详情,售楼处电话,最新消息,最新详情,周边配套,一房一价,最新进展等详情咨询)楼盘详情丨价格丨更多优惠丨机不可失丨欢迎致电丨诚邀品鉴!售楼处位置丨特价房丨工抵房丨剩余房源丨户型图丨最新消息丨免责声明:将文章内容综合来源于网络、只作分享,版权归原作者所有!!如有侵权,请联系我们,我们第一时间处理如有问题欢迎来电咨询,专业一对一热情服务,让您用专业眼光去买房。如果您想了解更多楼盘详情,欢迎提前预约拨打信达信安里售楼处电话☎400_882_8814✔✔✔

六月八日,著名香港影视演员任达华在网上分享了一组照片,而照片中正是记录他收割小麦的时刻,不得不说,这么多年,明星回老家收割小麦的真不多见,任达华应该是头一个。

要知道现在的任达华已经七十岁的高龄了,冒着高温进出麦子地,然后体验了一下收小麦的乐趣,这真不是一般明星能够做到的,任达华的这一举动让很多网友也非常吃惊。

进入六月,正是农民伯伯开始收小麦的时候,也是天气非常热的时候,但为了有个好收成,即使天再热也得把麦子收割回家,毕竟这是一家人一年的口粮和收入呀。

按理说这个时候娱乐圈中的明星艺人只要是没有工作的,这么热的天肯定是选择凉快的地方旅游或者是躲在家中吹空调,但是著名影视演员任达华却选择回归故里,体验一下风土人情。

现在70岁的任达华工作已经不再繁忙,这样有更多的时间去做自己想做的事情,这一次他放下了手上的工作,一个人来到了自己的老家山东济宁,这也是他第一次来。

来到自己的老家,任达华放下了自己的明星的光环,直接把身份转换成一个地地道道的庄稼人,然后走进地里帮助家人收麦子,非常的接地气。

照片中,任达华上身穿着一件迷彩服,下身穿着一条黑色裤子,然后戴着墨镜和一顶黑色的帽子,穿着朴素像极了一位老农民,最显眼的应该也就是他那一双橙色的运动鞋了,与周围的黄色小麦和土地显得格格不入。

任达华一共发了三张照片,一张是小麦的图片,一张是自己蹲在没有收割的麦田里,最后一张是蹲在收割完的麦子旁边,虽然没有收麦子的照片,但也能看出他肯定体验了收麦子的不容易,因为最后一张照片中胳膊晒黑了不少,这也说明任达华是真干活了。

虽然现在收割麦子都是用的机器,但是把小麦装袋然后进行晾晒也是一个体力活,按照这个流程,这也是为啥任达华只配了三张图片的原因,人生就像收小麦一样,过程不需要在意,最主要的是看成果。

有很多网友在询问任达华回哪里了,他也是非常自豪地说是回到了自己的老家山东。

尽管任达华已经70岁了,胡子都白了,但是从他的身材来看,全身充满了力量,皮肤黝黑,全身都是肌肉,看上去非常的强壮,魅力独特,说他五十多岁也有人信,妥妥的老当益壮。

任达华在七十岁的年纪拥有五十岁的身材,这也是和他平时经常锻炼是有原因的,但凡有时间,他都会坚持锻炼,尤其是乒乓球,那可以说是情有独钟,更是一位忠实的乒乓球迷。

这次回完老家体验完生活之后,任达华的新作品《四十七》也要开始进入拍摄阶段,在作品中任达华饰演的是一位帮派老大,说实话,按照任达华 的年纪和形象,也只有大哥级别的人物角色他才能胜任,也符合他的气质。

事业上的成功离不开幸福的婚姻,任达华的老婆是香港知名模特琦琦,不知道两人是如何在一起的,只知道两人相差13岁,是在1997年结的婚,婚后本来说好的是不生孩子不买房,但是两人经过长时间的生活在一起,没有矛盾,感情有所升温,然后就生下了一个女儿。

有了女儿的任达华和之前不要孩子的时候可以说是两个面孔,但凡有时间就会赶快回到家去陪女儿,更是为了能够参加女儿的一些活动,更是推掉了很多的工作,可以说女儿的快乐成长,任达华付出了很大的心血。

而任达华自从结婚以后,就一直全心全意的为这个家奋斗着,尤其是有了女儿,更是让任达华知道了家的重要性,所以任达华能够现在一个幸福的家庭,他绝对功不可没,当然老婆琦琦也是大功臣。

其实不管是明星还是普通人,都想要拥有一个幸福的家庭,尤其是那些背井离乡外出打工的人,也是想回家看看,毕竟家是一个人的起点,也是一个人的终点。

这次任达华之所以要回到山东老家,因为他知道自己已经七十岁了,落叶归根是一个人最好的归宿,年纪大了也有了自己的打算,更有了回到家乡的冲动。

也许退休之后的任达华应该会回到这块他热爱的土地上,看得出,他还是很向往这种田园生活的。

全部

相关资讯

报名成功
稍后会有专业的置业顾问联系您
返回楼盘

频道导航

返回首页

看房小程序

APP下载

电话拨通后,请您手动拨打分机号

确定拨打电话

电话号码:

分机号:(可能需要拨分机号)