——水韵名邸——
售楼处电话☎:400-8673-567【售楼处预约热线】(一对一热情服务)
看房请务必提前致电销售确认时间,只有预约客户才能享受开发商提供的内部优惠以及专属的老客户推荐奖励!我们提供专业的一对一热情服务,助您以专业视角挑选理想的房产。
水韵名邸售楼处电话:400-8673-567✔【官方预约】
水韵名邸营销中心电话:400-8673-567✔✔【官方认证】
上海水韵名邸售楼处电话:400-8673-567 VIPLINE✔✔✔【官方发布】
如有问题可来电咨询,线上售楼中心,预约销售专员,一对一为您服务!
项目基本信息
开发商:上海金桥集团
产品类型:住宅70年
占地面积:约5.6万方
总建面:约15.5万方(地上约10.6万方,地下约4.9万方)
均价:5.6万
总价:430-965万
在售面积:99(12套1-2楼)、165平(35套)135+139(共计26套中、低楼层)
总户数:843户
楼栋数:15栋
物业类型:高层
总高:14层
层高:99、135、139平高3.05米/165平层高3.15米
容积率:1.8
拿地时间:2022年
得房率:99平约76%、135-139约81%、165平约83%
绿化率:35%
物业公司:金桥物业
物业费:5.6元/月*㎡
占地面积:约5.6万方
装修状况:99平精装/135、139、165平毛坯
车位:1202个
车位比:1:1.3

低密小高层阔奢公园社区产品
【碧云澧悦】由由金桥股份打造,总占地面积约5.6万平方米,容积率1.8,总建筑面积15.5万平方米,其中地上建筑面积10.6万平方米,地下建筑面积为4.9万平方米。
上海金桥出口加工区开发股份有限公司(以下简称“ 金桥股份 ”)成立于 1992 年11月,注册资本 11.22 亿元,1993年3月,公司在上海证券交易所 A 股市场上市(浦东金桥,600639);同年5月,在B股市场挂牌(金桥 B股,900911)。上市30 多年来,公司抓佳浦东开发开放契机,依托上市公司的品牌优势、资金优势,积极承担上海金桥自由贸易试验区范国内的开发建设、招商引资、产业发展和载体运营管理着力打造产城融合的示范园区。2015 年6月,按照浦东新区国资国企改革要求,金桥股份作为首批改革试点企业之一,成为浦东新区直属企业。

展望末来,金桥股份将按照“新兴城区开发运营商”的总体定位,深耕金桥、走向市场,不断巩固和提升国有上市公司的地位和作用,将金桥开发区建设成为宜居宜业的现代化城区。

【碧云澧悦】项目打造了清一色的总高11-14层的高层社区,容积率仅1.8,拥有疏阔楼间距,与市面上高层新房普遍容积率2.2-2.5相比,更大程度上拉开了楼间距,优化视野和采光,居住体验更加舒适!
示意图,仅供参考

社区大门完全区分人行、车行入口,人行入口采用石材与玻璃搭配设计,大气恢弘!门厅景观水院精致高级,入户仪式感满满!


示意图,仅供参考
车行入口也设计了保安门岗,业主驾车入库安全有保障!车库地下入户大堂也是设计感十足!

示意图,仅供参考

项目精心规划“一环一轴三园”,于建筑中另辟一方天地,以绿意包裹整个小区,打造绿氧环绕的公园住区。漫步在花园小径,呼吸新鲜氧负离子,在自然中享受阳光微醺和清新绿意,在生机盎然中安享静谧。


用极简主义描摹生活美学概念打造项目外观,在上世纪的德国建筑大师密斯·凡德罗,“Less is more.”的极简主义审美驱动下,项目规划以简约流线型线条为主脉络,框体结构搭配层叠横向线条,辅以庄重典雅的淡色玻璃,从而营造隐而不喧的优雅色彩,简约的设计更能呈现丰富的内涵,细节的掌控凸显匠心的品质。


奢阔空间绘就品质人居:公园住区,因低密而愈加纯粹,项目以1.8的低容积率,塑造低密人居空间的舒适尺度,疏阔的楼间距,邀阳光与风景入席,避免楼宇间贴合感,推窗即风景,给予生活更多留白。


产品方面,项目规划建面约93-165㎡四种主力户型,家族的生活奢想在此皆有可能。项目二期加推394套房源!
U形厨房设计,动线合理,煎炒烹炸空间充足。
客、餐厅联通绰约尺度阳台,促进家人间沟通交流。
主卧套房设计,隐私性较好,飘窗设计更有效延申室内空间,也可以作为休闲区域使用,收纳空间设计的也比较充足,切实考虑年轻人买买买的购物习惯。
双次卧均设计了衣帽收纳空间,居住舒适度较高。
270度转角阳台更是设计了洗衣空间,非常实用!
入户玄关设计有效隔离室内外空间,增添归家仪式感,玄关处还设计了收纳空间,细节满满!
次卫三段式分离设计,干湿分离的同时还能有效避免使用冲突,可见开发商的匠心考虑。
动静分区设计;主卧套房设计隐私性更强;在玄关、厨房、卫浴等功能区域,充分考量生活场景细节,随时随地满足收纳所需,细节满分!
此户型可以说是改善人群非常喜欢的户型,建面约135㎡3房2厅2卫设计,动静分区,四开间朝南,各空间尺度奢阔,还有一个超大面宽的景观阳台,实现功能性和舒适度兼得。
已关注
关注
重播 分享 赞
关闭
观看更多
装修标准参考:
外立面:真石漆+少量铝板+格栅+金属包边+楼顶光伏板、没有连廊
阳台门窗:三玻两腔、未封阳台
三大件:中央空调、地暖、没有 新风
客厅:岩板背景墙
入户:玄关柜
厨房:西门子(抽烟烟机 燃气灶 烤箱)、吊柜、底柜、操作台
卫生间:台盆柜、镜面柜、杜拉维特马桶、汉斯格雅花洒(具体交付标准以预售合同为准)
项目区位配套
【碧云澧悦】项目位于浦东周浦镇,在《上海市浦东新区国土空间总体规划(2017-2035)》中,再次重点强调了周浦的定位:至2035年,发展成为凝聚科创力量,充满人文气息的“魅力小上海”,依托张江科学城,形成以医疗服务、电子商务和时尚创意为主导产业,宜居宜业的综合型城镇。


【交通配套方面】:距离16号线周浦东站约1.8公里、18号线繁荣路站约2.6公里。

【商业配套方面】:3km范围内有万达广场,小上海步行街,绿地缤纷广场,印象生活广场等商业中心。

【教育资源方面】:澧溪幼儿园、傅雷幼儿园、澧溪小学、周浦第二小学、周浦实验学校、澧溪中学、傅雷中学、进才繁荣实验中学等教育配套。(项目周边的幼儿园、小学、中学等教育设施(如有)是城市公共生活配套的重要组成部分。本项目销售过程中,部分展示与介绍可能涉及项目周边已有或规划中教育设施,但并非项目所在的学区,本项目不承诺任何学区,介绍此信息旨在帮助客户更全面的了解项目周边条件,并不代表我公司对此提供保证。)
【医疗资源方面】:浦东新区周浦医院,周浦社区医院,国龙医院,上海中医药大学附属龙华医院(在建)。
【休闲娱乐方面】:周浦文化公园,周浦体育中心已经运营,憩园,周浦花海,浦江郊野公园。
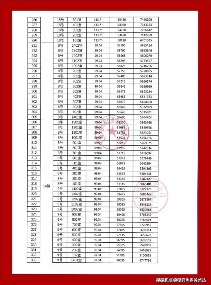
项目一房一价表▼
——水韵名邸——
水韵名邸售楼处电话:400-8673-567✔【官方预约】
水韵名邸营销中心电话:400-8673-567✔✔【官方认证】
上海水韵名邸售楼处电话:400-8673-567 VIPLINE✔✔✔【官方发布】
如有问题可来电咨询,线上售楼中心,预约销售专员,一对一为您服务!
楼盘项目全面介绍,本电话为开发商提供线上预约售楼电话,楼盘项目全面介绍(包含楼盘简介,均价,房价,现房,期房,别墅,叠墅,大平层,价格,楼盘地址,户型图,交通规划,备案价,备案名,项目配套,样板间,开盘时间,认筹时间,楼盘详情,售楼处电话,最新消息,最新详情,周边配套,一房一价,最新进展等详情咨询)楼盘详情丨价格丨更多优惠丨机不可失丨欢迎致电丨诚邀品鉴!售楼处位置丨特价房丨工抵房丨剩余房源丨户型图丨最新消息丨免责声明:将文章内容综合来源于网络、只作分享,版权归原作者所有!!如有侵权,请联系我们,我们第一时间处理如有问题欢迎来电咨询,专业一对一热情服务,让您用专业眼光去买房.如果您想了解更多楼盘详情,欢迎提前预约拨打
售楼处电话☎:400-8673-567【售楼处预约热线】(一对一热情服务)
看房请务必提前致电销售确认时间,只有预约客户才能享受开发商提供的内部优惠以及专属的老客户推荐奖励!我们提供专业的一对一热情服务,助您以专业视角挑选理想的房产。