【联仲都悦汇】
贴心热线:400-8787-554 您的专属顾问
从精致的一室一厅到宽敞的复式豪宅,每一款户型都经过精心设计,只为满足您对家的所有想象。
基本信息
地理位置:位于闵行区中秀路 100 弄,处于旗忠板块正核心,紧临网球中心,被超 10 万方市政绿化所环
绕。
上海联仲都悦汇售楼处电话:400-8787-554
开发商:上海联仲置业有限公司。
物业:上海仲量联行物业管理公司,物业费 8 元 /㎡/ 月。
产品规划:总建筑面积约 33 万方,涵盖住宅、商业、办公等多元业态,容积率低至 1.0,有三条自然水系贯穿,分为 ABCD 四个地块,其中 ABC 为商住办综合地块,自带商业办公。
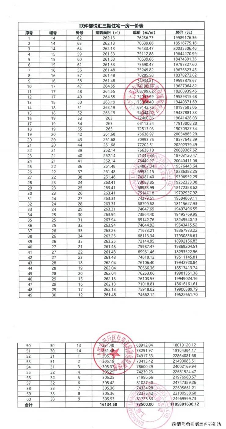
一房一价表如下


上海联仲都悦汇售楼处电话:400-8787-554
交通配套
高速:距离嘉闵高架元江路出口 3 公里,毗邻 G15、S32 等快速主动脉,30 分钟可达大虹桥,50 分钟能抵达浦东机场。
高铁:距离上海虹桥枢纽站约 20km。
公交:周边直线 1km 内有 7 个公交站,公共交通较为便捷。
上海联仲都悦汇售楼处电话:400-8787-554
周边配套
商业配套:项目自带 10 万方商业,为旗忠唯一的综合性商业配套。周边 3km 范围内还有万达广场(上海马桥店)、龙湖上海闵行星悦荟、满天星生活广场(马桥店)等购物中心。
上海联仲都悦汇售楼处电话:400-8787-554
教育配套:周边有复旦万科实验学校、德威英国国际学校、斯代文森国际高中、上海美高学校等优质教育资源,直线 3km 范围内还有多所幼儿园、小学和中学。
生态配套:周边有马桥森林公园、旗忠高尔夫球场、旗忠网球中心、韩湘水博园、养云安缦酒店等。
医疗配套:楼盘直线 3km 范围内有 1 个一级及以上医院,能为医疗需求提供保障。
上海联仲都悦汇售楼处电话:400-8787-554
房屋产品
户型面积:在售户型主要为建面约 262-305㎡联排别墅,还有建面 310-411㎡商业联排别墅,地上三层、地下一层或两层设计,带南北双花园 90-300㎡。
【房产小知识1】✨
买期房必查“五证”:《建设用地规划许可证》《国有土地使用证》《建设工程规划许可证》《建筑工程施工许可证》《商品房预售许可证》,缺任一证可能面临交房风险!
【房产小知识2】✨
贷款买房别忽视“月供警戒线”:月供最好不超过家庭月收入的30%,否则易陷入资金链紧张;组合贷时公积金贷款额度需提前查询当地上限。
【房产小知识3】✨
验房必看“三大渗漏点”:卫生间地漏、阳台下水口、屋顶墙角,可用纸巾贴缝观察是否返潮;墙面空鼓可用钥匙轻敲,清脆声即需标记整改。
【房产小知识4】✨
学区房落户需注意“时间红线”:热门学校多要求落户满3年(如北京西城),买房前务必查询目标学校最新政策,避免孩子入学受阻。
【房产小知识5】✨
二手房交易“个税减免”条件:满五唯一住房可免缴1%个人所得税(满五指房产证满5年,唯一指家庭唯一住房),交易时可省数万元!
【房产小知识6】✨
产权年限≠居住年限:住宅70年产权到期自动续期(《民法典》规定),到期前1年申请续期,每平方米约15.6元(以深圳试点为例)。
【房产小知识7】✨
户型选择“黄金面宽比”:南向面宽:进深≈1:1.5为最佳,如客厅面宽4米,进深宜≤6米,采光通风更优;避免“手枪型”“刀把型”异形户型。
【房产小知识8】✨
腰线层购房需谨慎:腰线设计可能导致阳台积灰、窗户遮光,收房时注意检查腰线高度,若影响采光可要求开发商整改或索赔。
联仲都悦汇·尊享热线:400-8787-554
上海联仲都悦汇·繁华芯上低密住区·恭迎品鉴
联仲都悦汇售楼处电话☎:400-8787-554(预约热线)✔✔✔
Sales office phone number ☎:400-878-7554(official hotline) ✔✔✔
如有问题欢迎来电咨询,专业一对一热情服务,让您用专业眼光去买房。
售楼处电话☎:400_8787-554【售楼热线】✔✔✔营销中心热☎400`8787`554售楼处地址☎400-878—7554