【灿耀星城】
贴心热线:400-8787-554 您的专属顾问
从精致的一室一厅到宽敞的复式豪宅,每一款户型都经过精心设计,只为满足您对家的所有想象。
此楼盘,位于大虹桥徐泾核心板块,现房阶段,以前认筹非常火爆!目前尾盘清库存总价368万起!
开发商最新一手房源动态
提前预约咨询、参观!
大虹桥徐泾虹桥·灿耀星城三期
少量建面约72-88㎡超低能耗住宅
2-3房准现房 均价6.3万/㎡!
87折起清库存 有一口价368万房源
超低能耗 高标精装 开放式阳台
灿耀星城
售楼处电话:400-8787-554(已认证)
一 同质化严重的大虹桥,
虹桥灿耀星城有何不同?
虹桥灿耀星城项目地处虹桥中央国际商务区主城副中心,徐泾镇镇中心位置,位置得天独厚, 地理位置优越,未来升值潜力巨大。项目二期, 2021年开盘当天仅4小时就实现503套房源售罄,还有前期超900组的认筹,谱写了当年大虹桥楼市的日光传奇!

灿耀星城
售楼处电话:400-8787-554(已认证)
虹桥灿耀星城三期位于沪青平公路以北,明珠路以东,北临河南临公园,4.6万方绿地公园环绕,景色宜人。

灿耀星城
售楼处电话:400-8787-554(已认证)
作为 大虹桥首个超低能耗住宅,属于大虹桥乃至整个上海的绿色建筑领跑者,建筑立面都采用低耗节能的新型材料!金属铝板设计搭配石材以及真石漆,使得整个项目的外立面更有立体感,更显高端上档次。此外全方位降噪、恒温恒湿、新风系统等一系列技术的引入,为业主带来更经济、健康、舒适的居住体验!

灿耀星城
售楼处电话:400-8787-554(已认证)
除了建筑科技,虹桥灿耀星城在 审美和景观打造方面也独树一帜。其中,社区园林由笛东大师执笔,规划设计了星阙、星河、星野、星际、星云、星荟六大主题园林盛境!
结合虹桥·灿耀星城现代简约风格的建筑立面, 真石漆、蓝眼睛石材、浅灰色铝板等纯净材质与园林景观相映成趣,让每一次归家都成为赏心悦目的旅程。

灿耀星城
售楼处电话:400-8787-554(已认证)
值得一提的是,作为虹桥 唯一不封阳台的小区,附赠面积更多让利于业主,提高了整体空间利用。
室内方面, 虹桥灿耀星城的层高是3.15米。层高直接比肩顶级豪宅标准!让业主居住空间感更佳,居住更舒适。据了解,大虹桥的最高层高记录是蟠龙天地的3.05米,而其他项目基本上2.9-3米之间。因为层高越高开发商的成本也会越高。所以一般只有市区及一些豪宅项目才会做到3.15米以上。

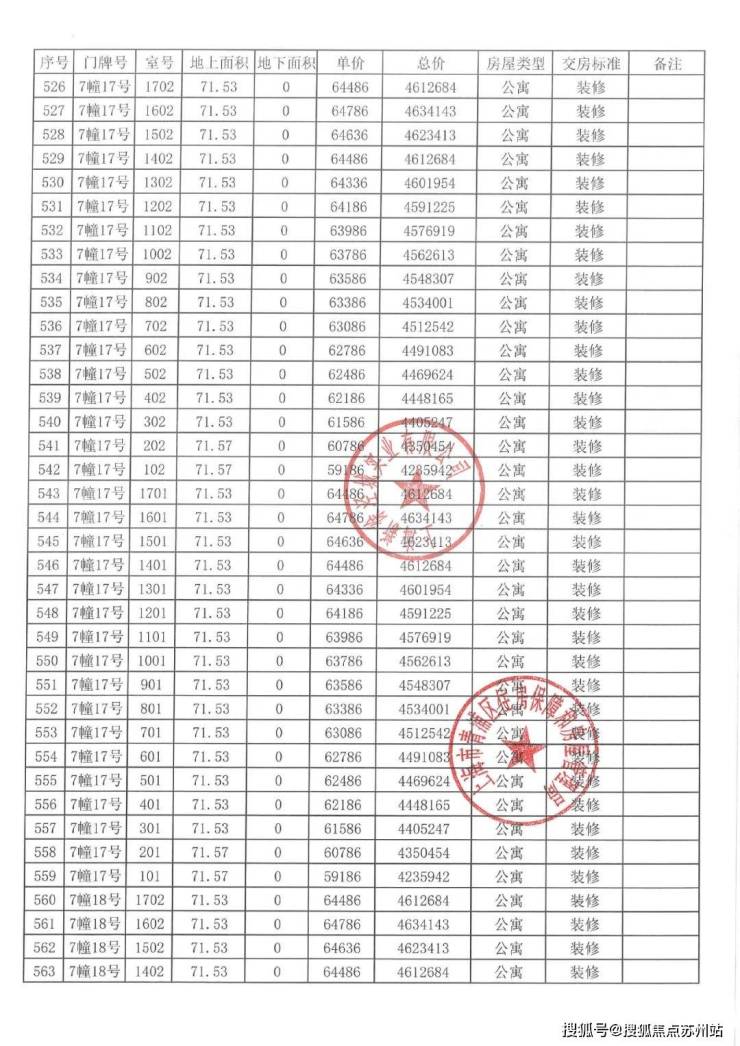
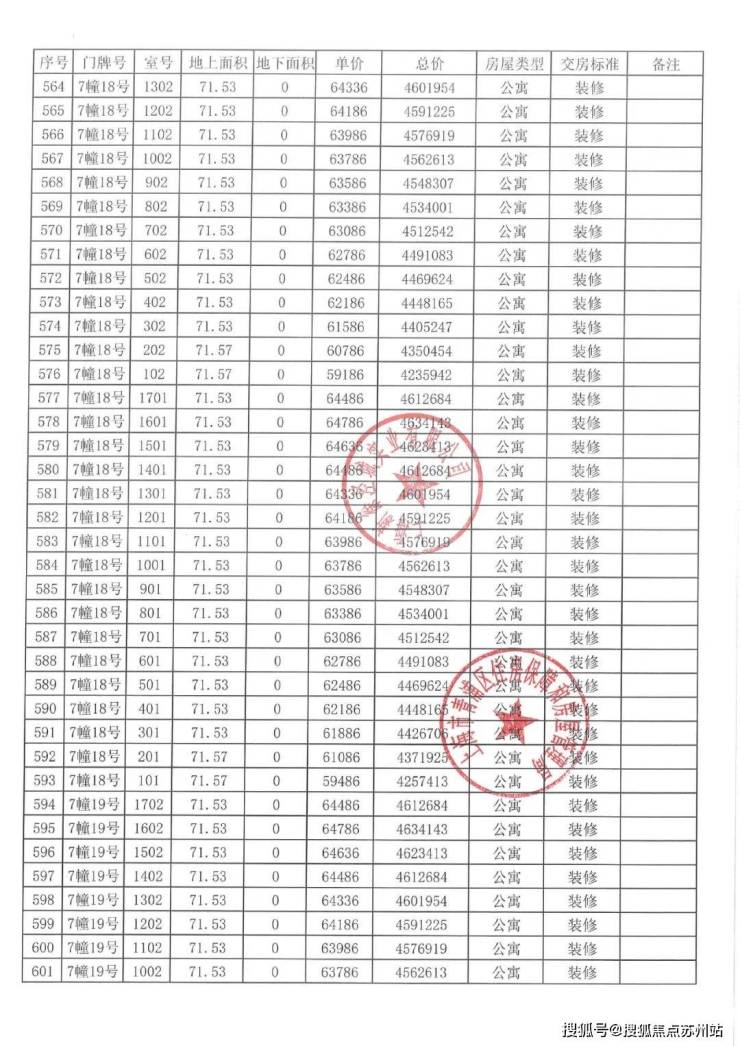
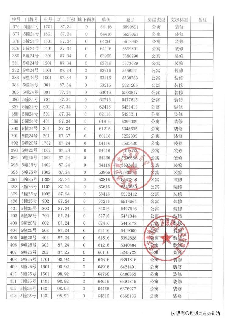
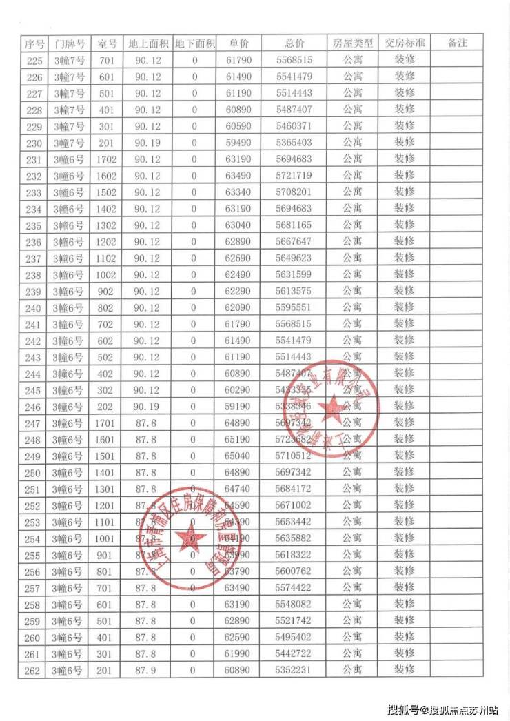
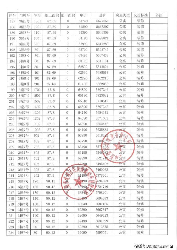
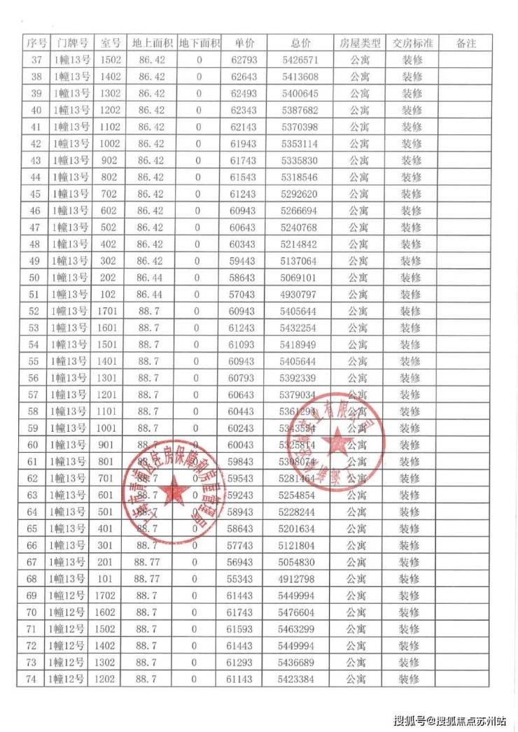
一房一价表:












灿耀星城
售楼处电话:400-8787-554(已认证)
而在户型设计方面,72-98平米全生命周期臻装产品,三期户型较二期更丰富,约70-130㎡2房、3房、3+1房产品,满足全龄段置业需求, 目前仅剩下少量建面约72-88㎡2-3房。
· 建面约72㎡2房:大虹桥非常臻稀的小户型,总价仅约422万起,不仅是优秀的自住过渡产品,更是低总价撬动大未来的资产配置利器!
灿耀星城
售楼处电话:400-8787-554(已认证)
建面约88㎡3房:大虹桥范围不到90㎡的户型大部分都只做到2房,而虹桥灿耀星城该面积段实现3房功能性,让自住客户一步到位,也让该产品进入二手市场后具备降维打击的优势!

灿耀星城
售楼处电话:400-8787-554(已认证)

灿耀星城
售楼处电话:400-8787-554(已认证)
户型图
除了户型上尽善尽美,项目的装修配置也是诚意满满。
全屋甄选高仪、博世、TOTO、威能、老板、日立等一线奢装品牌,配置中央空调、全屋地暖、新风、净水等健康系统等,塑造国际前沿生活质感。
免责声明:本宣传资料罗列的装修品牌仅供参考,以开发商最终交付为准。
项目还拥有大虹桥罕见的 约3.15m层高,营造更通透、更朗阔的空间感,带来更加舒适的居住体验。
项目样板间实景图可作参考:

灿耀星城
售楼处电话:400-8787-554(已认证)

灿耀星城
售楼处电话:400-8787-554(已认证)

灿耀星城
售楼处电话:400-8787-554(已认证)
虹桥灿耀星城三期已然是 准现房在售,今年买明年住,完美解决了上述不确定性!
更重要的是,项目 二期已经实景兑现,交付的高品质将开发商的责任感、实力展现的淋漓尽致。最新实景图如下:

灿耀星城
售楼处电话:400-8787-554(已认证)

灿耀星城
售楼处电话:400-8787-554(已认证)

灿耀星城
售楼处电话:400-8787-554(已认证)

灿耀星城
售楼处电话:400-8787-554(已认证)

灿耀星城
售楼处电话:400-8787-554(已认证)
二 可以正虹桥,何必辐射区!
大虹桥徐泾品质标杆,超低能耗华宅!
作为规划能级和陆家嘴平起平坐的国家级战略要地,大虹桥犹如西上海的发展引擎,周边几大热门板块哪一个不是受到大虹桥的利好辐射! 大虹桥就是整个西上海热门板块的上游!

灿耀星城
售楼处电话:400-8787-554(已认证)
而虹桥灿耀星城不仅占位西虹桥核心地段,还是徐泾城市更新标杆项目,天生的板块塔尖住宅!

灿耀星城
售楼处电话:400-8787-554(已认证)
虹桥灿耀星城除了匠心品质,在周边的商业配套的成熟度上,也是远超其他板块的存在。 在配套丰盛程度上,项目也几乎是徐泾独一档的存在!项目周边不仅虹桥食尚天地、夏都小镇、蟠龙天地等商业云集,各类政府办事机构、银行、医院等公共配套也密密麻麻的环绕项目周边。

灿耀星城
售楼处电话:400-8787-554(已认证)
虹桥·灿耀星城在售三期项目持续热销!
像虹桥·灿耀星城这样兼顾大虹桥概念,又可直接入住生活无忧的项目更是区域内稀缺的存在!而随着灿辉国际针对徐泾的城市更新的不断深入,虹桥·灿耀星城的含金量与楼市价值仍在与日俱增!
灿耀星城
售楼处电话:400-8787-554(已认证)
随着虹桥·灿耀星城三期的推出,灿辉在徐泾的整体规划也已逐步落地。围绕虹桥·灿耀星城展开的多元城市体总体量达55万方!涵盖品质住宅、精品酒店、活力商业、现代办公、幼儿园、养老院等丰富业态!

灿耀星城
售楼处电话:400-8787-554(已认证)
其中,区域内唯一一家5星级的希尔顿酒店业已建成营业,将虹桥·灿耀星城周边的商业氛围提升到全新高度!

灿耀星城
售楼处电话:400-8787-554(已认证)
同时,项目侧对面,由灿辉负责代建的约4.6万方的两大绿地公园也正一一兑现,加上前文提及的9万方自带商业,使得虹桥·灿耀星城一步步成长为全能型微城市,与徐泾已有的配套资源相辅相成,构建起大虹桥核心区倍具生活气息的居住板块!

灿耀星城
售楼处电话:400-8787-554(已认证)
商业配套方面:项目对面就是约5万方的虹桥食尚天地,永业购物中心,夏都小镇,家乐福。1.5km范围圈有首位奥特莱斯,兰韵文化中心,美国百老汇歌剧院等大型商业购物中心。

灿耀星城
售楼处电话:400-8787-554(已认证)
教育配套方面:徐泾幼儿园(一级幼儿园)、徐泾中小学(全国示范学校)、私立学校:德国学校,青浦世外等。
医疗配套方面:徐泾卫生医院(公立)、华山医院西院(三甲公立)、远大医疗、德达医疗、新虹桥医学中心等。

灿耀星城
售楼处电话:400-8787-554(已认证)
综合下来,无论是产品自身品质的不断拔高,还是区域地段的丰富配套,灿耀星城都无疑是一个优质的选择,性价比超高!虹桥灿耀星城给很多低预算客户上车机会。

【房产小知识1】✨
买期房必查“五证”:《建设用地规划许可证》《国有土地使用证》《建设工程规划许可证》《建筑工程施工许可证》《商品房预售许可证》,缺任一证可能面临交房风险!
【房产小知识2】✨
贷款买房别忽视“月供警戒线”:月供最好不超过家庭月收入的30%,否则易陷入资金链紧张;组合贷时公积金贷款额度需提前查询当地上限。
【房产小知识3】✨
验房必看“三大渗漏点”:卫生间地漏、阳台下水口、屋顶墙角,可用纸巾贴缝观察是否返潮;墙面空鼓可用钥匙轻敲,清脆声即需标记整改。
【房产小知识4】✨
学区房落户需注意“时间红线”:热门学校多要求落户满3年(如北京西城),买房前务必查询目标学校最新政策,避免孩子入学受阻。
【房产小知识5】✨
二手房交易“个税减免”条件:满五唯一住房可免缴1%个人所得税(满五指房产证满5年,唯一指家庭唯一住房),交易时可省数万元!
【房产小知识6】✨
产权年限≠居住年限:住宅70年产权到期自动续期(《民法典》规定),到期前1年申请续期,每平方米约15.6元(以深圳试点为例)。
【房产小知识7】✨
户型选择“黄金面宽比”:南向面宽:进深≈1:1.5为最佳,如客厅面宽4米,进深宜≤6米,采光通风更优;避免“手枪型”“刀把型”异形户型。
【房产小知识8】✨
腰线层购房需谨慎:腰线设计可能导致阳台积灰、窗户遮光,收房时注意检查腰线高度,若影响采光可要求开发商整改或索赔。
灿耀星城·尊享热线:400-8787-554
上海灿耀星城·繁华芯上低密住区·恭迎品鉴