格力公园海德(2025)上海松江公园海德官方售楼处电话→楼盘百科→公园海德官方网站→楼盘百科→24小时热线电话

搜狐焦点苏州站

2025-11-16 07:10:00

购房群

买房如何避坑,加入购房群,看看他们怎么说

立即进群

上海松江公园海德售楼处电话:400-8828-814✔✔【预约热线】公园海德售楼处营销中心:400-8828-814公园海德售楼处电话/地址☎:400-882-8814(开发商热线)如有问题欢迎来电咨询,专业一对一热情服务,让您用专业眼光去买房。建面117-197㎡顶楼复式现房,总价段724-1235万,松江泗泾9号线地铁旁,英国大师罗杰斯设计,园林景观 会所,部分房源赠送星空露台。

户型

公园海德售楼处营销中心:400-8828-814公园海德售楼处电话/地址☎:400-882-8814(开发商热线)

但作为新型塔楼的代表,全明还是可以完全做到的。

并且这次正式官宣推盘的时候,还拿出了一些压箱底的洋房以及复式户型。

But as a representative of the new tower, Quanming can still fully achieve it.

And during the official promotion of the proposal, some western-style houses and duplex units were also brought out.公园海德售楼处营销中心:400-8828-814公园海德售楼处电话/地址☎:400-882-8814(开发商热线)

公园海德售楼处营销中心:400-8828-814公园海德售楼处电话/地址☎:400-882-8814(开发商热线)

公园海德售楼处营销中心:400-8828-814公园海德售楼处电话/地址☎:400-882-8814(开发商热线)

公园海德售楼处营销中心:400-8828-814公园海德售楼处电话/地址☎:400-882-8814(开发商热线)

公园海德售楼处营销中心:400-8828-814公园海德售楼处电话/地址☎:400-882-8814(开发商热线)

公园海德售楼处营销中心:400-8828-814公园海德售楼处电话/地址☎:400-882-8814(开发商热线)

公园海德售楼处营销中心:400-8828-814公园海德售楼处电话/地址☎:400-882-8814(开发商热线)

公园海德售楼处营销中心:400-8828-814公园海德售楼处电话/地址☎:400-882-8814(开发商热线)

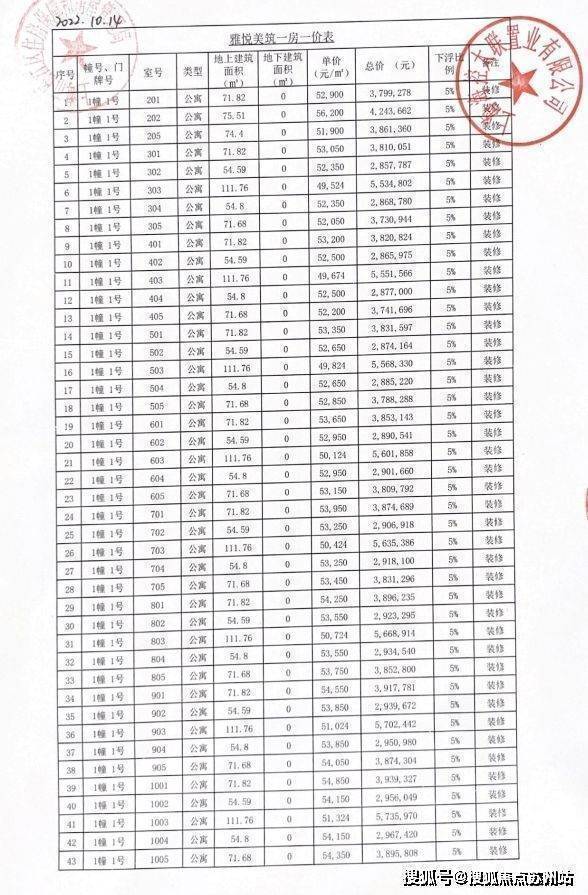
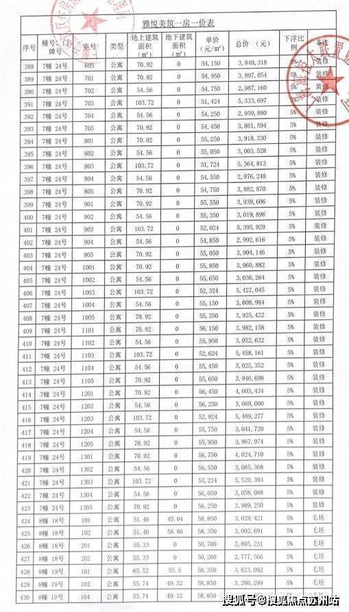
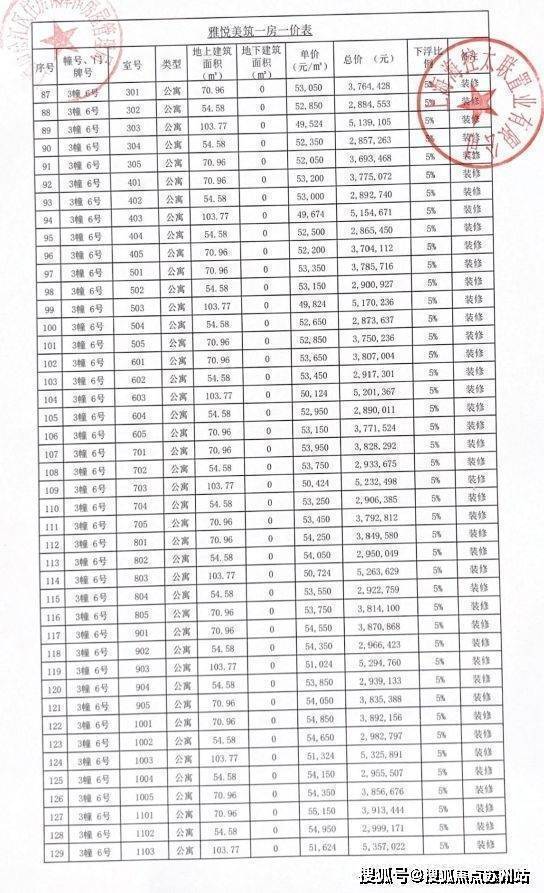
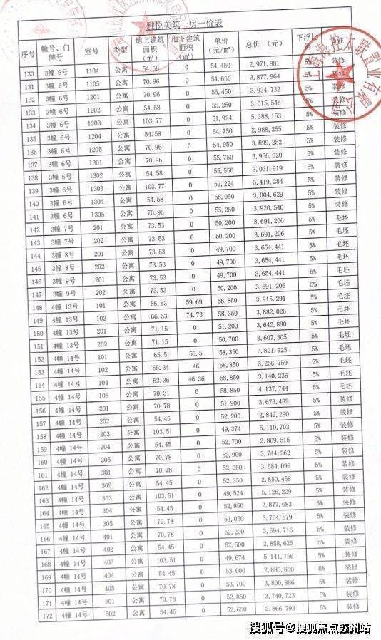
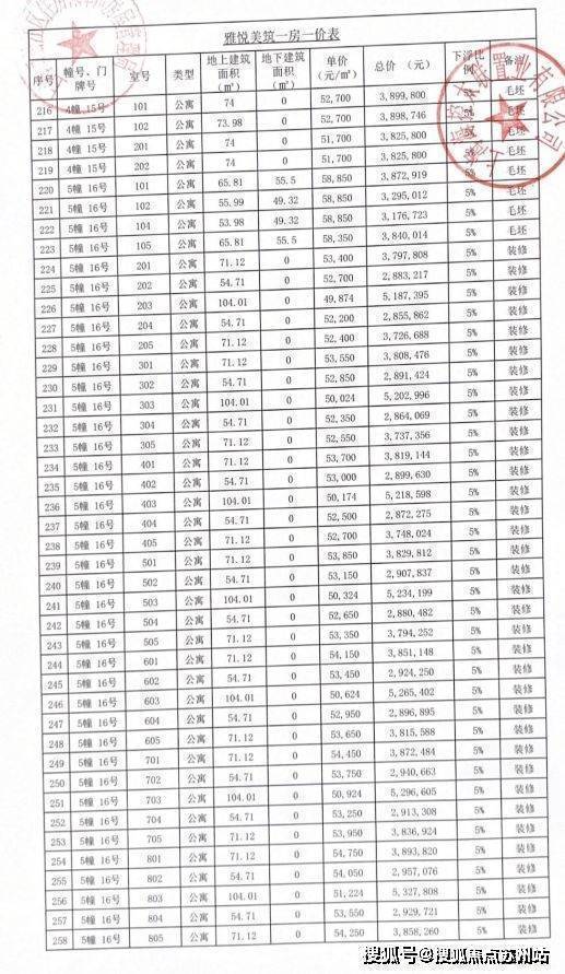
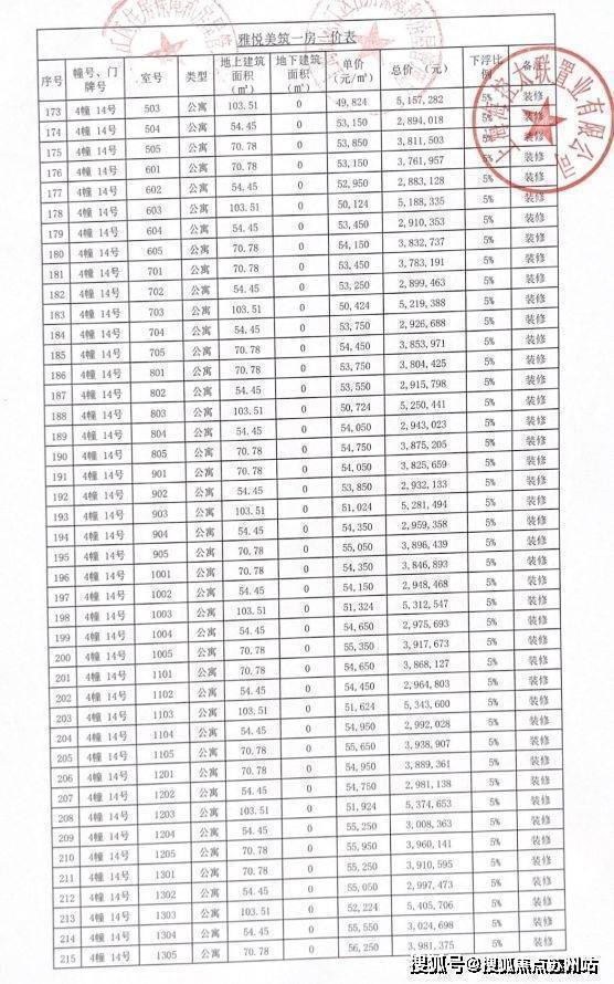
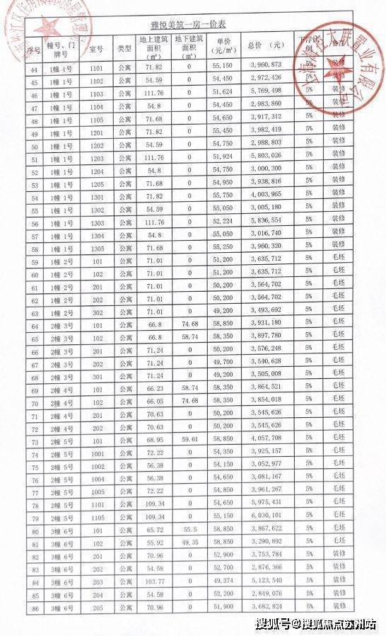
完整一房一价表如下:

The complete one room one price list is as follows:

公园海德售楼处营销中心:400-8828-814公园海德售楼处电话/地址☎:400-882-8814(开发商热线)

公园海德售楼处营销中心:400-8828-814公园海德售楼处电话/地址☎:400-882-8814(开发商热线)

上海松江公园海德售楼处电话:400-8828-814✔✔【预约热线】公园海德售楼处营销中心:400-8828-814公园海德售楼处电话/地址☎:400-882-8814(开发商热线)如有问题欢迎来电咨询,专业一对一热情服务,让您用专业眼光去买房。建面117-197㎡顶楼复式现房,总价段724-1235万,松江泗泾9号线地铁旁,英国大师罗杰斯设计,园林景观 会所,部分房源赠送星空露台。

全部

相关资讯

报名成功
稍后会有专业的置业顾问联系您
返回楼盘

频道导航

返回首页

看房小程序

APP下载

电话拨通后,请您手动拨打分机号

确定拨打电话

电话号码:

分机号:(可能需要拨分机号)